Онлайн книга «Как работает вселенная. Введение в современную космологию»
|
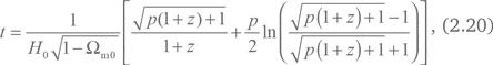
Применив формулы (2.4) и (2.7) к текущей эпохе, мы получаем: B = ρ0r03 = Ωm0 ρc 0 r03 = 3H02Ωm0 r03/8πG. (2.14) Из (2.10) и (2.11) определим ![]() Из уравнения (2.15) мы еще раз убеждаемся, что случай Ωm > 1 соответствует А < 0, т. е. закрытой модели, в которой Вселенная в конечном итоге опять собирается в точку, случай Ωm < 1 соответствует открытой модели с А > 0, а Ωm= 1 соответствует плоской модели с А = 0. Подставляя уравнения (2.14) и (2.15) в уравнение (2.12), мы получаем: ![]() Здесь мы ввели относительный масштабный фактор u = r/r0, который может быть легко преобразован при r < r0 в красное смещение z простым соотношением 1/u = 1 + z. Уравнение (2.16) полностью описывает зависимость H(u) или H(z). В современную эпоху u = 1, и оно выполняется автоматически. Проанализируем зависимость постоянной Хаббла от относительного масштабного фактора или красного смещения z. При Ωm = 1 (плоская модель) имеем H = H0u–3/2, что соответствует монотонному уменьшению Н, стремящемуся к нулю при u → ∞. При Ωm < 1 (открытая модель) постоянная Хаббла также снижается, но медленнее. При Ωm > 1 (закрытая модель) первый член в скобках отрицателен, а второй – положителен. Второй член уменьшается быстрее, чем первый. Таким образом, если бы эта модель допускала большие значения u, то правая часть уравнения (2.16) в конечном итоге стала бы отрицательной, что невозможно. Таким образом, относительный масштабный фактор Вселенной увеличивается до тех пор, пока постоянная Хаббла не становится равной нулю, а после этого уменьшается. Мы можем найти максимальный масштабный фактор, приравняв выражение в квадратных скобках к нулю: umax = rmax/r0 = Ωm0/(Ωm0 – 1). (2.17) Чтобы найти зависимости от времени, нам нужно подставить уравнения (2.14) и (2.15) в уравнение (2.13), которое сводится к ![]() Все, что требуется, чтобы вычислить этот интеграл, – заглянуть в хороший справочник. В простейшем случае плоской модели (Ωm0= 1) мы получаем: ![]() Значение константы интегрирования выбрано таким образом, чтобы момент t = 0 соответствовал Большому взрыву. Для открытой модели (Ωm0 < 1) мы имеем: ![]() где p = Ωm0/(1 – Ωm0) > 0. Для закрытой модели (Ωm0 > 1) мы имеем другое громоздкое выражение ![]() где s = Ωm0/(Ωm0 – 1) > 1. Мы использовали эти формулы для построения рис. 2.2. Теперь построим его еще раз, как рис 2.8, добавив масштабы на осях. Мы используем значение H0 = 68 (км/с)/Мпк, которое, впрочем, влияет только на временной масштаб графика. Мы использовали довольно экстремальные значения Ωm0= 0,5 и Ωm0= 1,5 для открытой и закрытой моделей. ![]() Уравнение (2.21) дает нам промежуток времени от Большого взрыва до момента, когда замкнутая Вселенная достигает своего максимального размера, и равный ему промежуток времени с этого момента до Большого хруста: ![]() Общее время жизни замкнутой Вселенной равно 2ΔT. 2.7.3. Параметр замедления
![]() Некоторые полезные величины могут быть получены без каких-либо дифференциальных уравнений типа (2.12). Параметр замедления в космологии определяется как [35] ![]() Здесь точка над переменной означает ее производную по времени, а две точки – вторую производную по времени. Таким образом,
Мы можем определить эту величину, использовав формулу для ускорения частицы на поверхности сферы ![]() Параметр замедления равен ![]() Здесь Ωm = ρ/ρкрит – параметр плотности материи. Можно убедиться, что расширение действительно замедляется и параметр замедления q равен 0,5 для плоской модели, превышает 0,5 для закрытой модели и находится в интервале от 0 до 0,5 для открытой модели. |
![Иллюстрация к книге — Как работает вселенная. Введение в современную космологию [i_042.jpg] Иллюстрация к книге — Как работает вселенная. Введение в современную космологию [i_042.jpg]](img/book_covers/069/69590/i_042.jpg)
![Иллюстрация к книге — Как работает вселенная. Введение в современную космологию [i_043.jpg] Иллюстрация к книге — Как работает вселенная. Введение в современную космологию [i_043.jpg]](img/book_covers/069/69590/i_043.jpg)
![Иллюстрация к книге — Как работает вселенная. Введение в современную космологию [i_044.jpg] Иллюстрация к книге — Как работает вселенная. Введение в современную космологию [i_044.jpg]](img/book_covers/069/69590/i_044.jpg)
![Иллюстрация к книге — Как работает вселенная. Введение в современную космологию [i_045.jpg] Иллюстрация к книге — Как работает вселенная. Введение в современную космологию [i_045.jpg]](img/book_covers/069/69590/i_045.jpg)
![Иллюстрация к книге — Как работает вселенная. Введение в современную космологию [i_046.jpg] Иллюстрация к книге — Как работает вселенная. Введение в современную космологию [i_046.jpg]](img/book_covers/069/69590/i_046.jpg)
![Иллюстрация к книге — Как работает вселенная. Введение в современную космологию [i_047.jpg] Иллюстрация к книге — Как работает вселенная. Введение в современную космологию [i_047.jpg]](img/book_covers/069/69590/i_047.jpg)
![Иллюстрация к книге — Как работает вселенная. Введение в современную космологию [i_048.jpg] Иллюстрация к книге — Как работает вселенная. Введение в современную космологию [i_048.jpg]](img/book_covers/069/69590/i_048.jpg)
![Иллюстрация к книге — Как работает вселенная. Введение в современную космологию [i_049.jpg] Иллюстрация к книге — Как работает вселенная. Введение в современную космологию [i_049.jpg]](img/book_covers/069/69590/i_049.jpg)
![Иллюстрация к книге — Как работает вселенная. Введение в современную космологию [i_050.jpg] Иллюстрация к книге — Как работает вселенная. Введение в современную космологию [i_050.jpg]](img/book_covers/069/69590/i_050.jpg)
![Иллюстрация к книге — Как работает вселенная. Введение в современную космологию [i_051.jpg] Иллюстрация к книге — Как работает вселенная. Введение в современную космологию [i_051.jpg]](img/book_covers/069/69590/i_051.jpg)
![Иллюстрация к книге — Как работает вселенная. Введение в современную космологию [i_052.jpg] Иллюстрация к книге — Как работает вселенная. Введение в современную космологию [i_052.jpg]](img/book_covers/069/69590/i_052.jpg)
![Иллюстрация к книге — Как работает вселенная. Введение в современную космологию [i_053.jpg] Иллюстрация к книге — Как работает вселенная. Введение в современную космологию [i_053.jpg]](img/book_covers/069/69590/i_053.jpg)
![Иллюстрация к книге — Как работает вселенная. Введение в современную космологию [i_054.jpg] Иллюстрация к книге — Как работает вселенная. Введение в современную космологию [i_054.jpg]](img/book_covers/069/69590/i_054.jpg)
![Иллюстрация к книге — Как работает вселенная. Введение в современную космологию [i_055.jpg] Иллюстрация к книге — Как работает вселенная. Введение в современную космологию [i_055.jpg]](img/book_covers/069/69590/i_055.jpg)