Книга Как работает вселенная. Введение в современную космологию, страница 16 – Сергей Парновский

Авторы: А Б В Г Д Е Ж З И Й К Л М Н О П Р С Т У Ф Х Ч Ш Ы Э Ю Я
Книги: А Б В Г Д Е Ж З И Й К Л М Н О П Р С Т У Ф Х Ц Ч Ш Щ Ы Э Ю Я
Бесплатная онлайн библиотека LoveRead.ec

Онлайн книга «Как работает вселенная. Введение в современную космологию»

📃 Cтраница 16

Прежде чем мы к этому приступим, рассмотрим куда более простую родственную задачу. Где-то в космосе есть сферически симметричная планета с массой М и радиусом R, которая не имеет никакой атмосферы и не вращается, поэтому влиянием этих факторов можно пренебречь. Ее обитатель пинает ногой, щупальцем или псевдоподием футбольный мяч массой m вертикально вверх со скоростью V. Как будет двигаться мяч? Очевидно, что он будет двигаться в радиальном направлении от центра планеты. Улетит ли он в космос или упадет обратно на поверхность планеты (рис. 2.7)?

Как мы можем узнать, что произойдет? Достаточно использовать закон сохранения энергии. Суммарная энергия мяча равна сумме кинетической и потенциальной энергий. Кинетическая энергия в любой момент равна mv2/2, где v – это текущая скорость мяча. Потенциальная энергия гравитационного взаимодействия мяча и планеты равна – GMm/a, где G – гравитационная постоянная, a – текущее расстояние между мячом и центром планеты. Потенциальная энергия отрицательна вблизи планеты и становится равной нулю, если мяч удаляется от планеты на очень большое расстояние. Кинетическая энергия шара всегда неотрицательна. Таким образом, для того чтобы мяч улетел в космос, его полная энергия тоже должна быть неотрицательной. Так как полная энергия сохраняется, это также относится и к его начальной энергии Е, равной

Иллюстрация к книге — Как работает вселенная. Введение в современную космологию [i_034.jpg]
Иллюстрация к книге — Как работает вселенная. Введение в современную космологию [i_035.jpg]

Значение

Иллюстрация к книге — Как работает вселенная. Введение в современную космологию [i_036.jpg]
называется второй космической скоростью. Это минимальная скорость, которую необходимо иметь объекту, например мячу, чтобы выйти за пределы гравитационного притяжения массивного тела. Вторая космическая скорость для Земли составляет около 11,2 км/с. Если начальная скорость мяча меньше v2, он будет падать обратно на планету. Максимальную высоту подъема мяча при V< v2 можно легко получить непосредственно из закона сохранения энергии. При V = v2 скорость мяча будет уменьшаться с увеличением расстояния от планеты, стремясь к нулю на бесконечном удалении от нее. Если V > v2, то его скорость вдали от планеты уменьшится до некоторой положительной предельной величины, равной
Иллюстрация к книге — Как работает вселенная. Введение в современную космологию [i_037.jpg]
Эти три случая соответствуют отрицательной, нулевой и положительной полной механической энергии мяча.

Как ни странно, эти случаи соответствуют также и трем основным сценариям космологического расширения. Вернемся к сфере из пылевидной материи и рассмотрим частицу массы m, которая все время находится на поверхности. В какой-то момент времени ее кинетическая энергия равна mv2/2 = mH2r2/2. Гравитационная потенциальная энергия обеспечивается только взаимодействием с веществом внутри сферы и равна – GMm/r = –4πGρmr2/3. Полная энергия равна

Иллюстрация к книге — Как работает вселенная. Введение в современную космологию [i_038.jpg]

где A = const из закона сохранения энергии. Мы ввели обозначение для критической плотности материи

ρкрит = 3H2/8πG. (2.11)

Обратите внимание, что величина ρкрит зависит от величины постоянной Хаббла H и изменяется во времени. В настоящее время она равна 1,88×10–26 h2 кг/м3, где h = H0/(100 (км/с)/Мпк). Используя величину h, полученную из астрономических наблюдений, можно получить ρкрит = (8,62 ± 0,12)×10−27 кг/м3. Чему это соответствует? Самая разреженная среда, с которой когда-либо сталкивалось человечество, – это межпланетное пространство в Солнечной системе. Его плотность в районе орбиты Земли мала и составляет примерно 10–20 кг/м3 (6 протонов на 1 см3), что более чем в 80 млн раз больше критической плотности.

Разность между плотностью вещества ρ и критической плотностью всегда имеет тот же знак, противоположный знаку константы А. При А > 0 всегда выполняется условие ρ < ρкрит. Энергия частицы (2.10) положительна, и, следовательно, частица может достичь бесконечности. Ее скорость уменьшается, стремясь к положительному предельному значению v = √A. Вселенная вечно расширяется, начиная с Большого взрыва, и без Большого хруста/хрустя. Этот случай соответствует открытой модели Фридмана. При А = 0 имеем ρ = ρкрит и в любой момент вечного расширения частица имеет нулевую энергию и может достигать бесконечности, но с нулевой предельной скоростью. Это плоская модель Фридмана. Если А < 0, то всегда ρ > ρкрит и энергия частицы отрицательна. Она не может достичь бесконечности. Рано или поздно расширение Вселенной останавливается и сменяется сжатием. Это замкнутая модель Фридмана.

Как видим, все три версии космологической модели Фридмана – открытая, закрытая и плоская – можно объяснить столь же легко, как движение камня, брошенного вверх. Чтобы улететь бесконечно далеко, скорость камня должна быть равна второй космической скорости (это соответствует плоской модели) или превышать ее (открытая модель). Камень, брошенный медленнее, сначала летит вверх, а затем начинает падать вниз (закрытая модель). Тем не менее в рамках нерелятивистской космологии мы не можем определить, что замкнутая, плоская и открытая модели имеют соответственно положительную, нулевую и отрицательную пространственную кривизну. Это возможно только с помощью релятивистской космологии, основанной на ОТО.

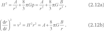
Подставляя уравнение (2.8) в уравнение (2.10), мы получаем уравнение Фридмана для Вселенной, заполненной пылевидной материей, без космологической постоянной и зависимости H(r):

Иллюстрация к книге — Как работает вселенная. Введение в современную космологию [i_039.jpg]

Решив их, мы получаем зависимости r(t) и H(t):

Иллюстрация к книге — Как работает вселенная. Введение в современную космологию [i_040.jpg]

Вместе с зависимостью ρ(t), определяемой формулой (2.8), они завершают описание трех возможных сценариев космологической эволюции в рамках нерелятивистской космологии.

2.7.2. Исследование решений
Иллюстрация к книге — Как работает вселенная. Введение в современную космологию [i_041.jpg]

Рассмотрим смысл и свойства решений Фридмана. Прежде всего перейдем от констант А и В к величинам с более четким физическим смыслом. Выберем опорный момент времени в системе наблюдателя, неподвижного по отношению к окружающей среде. Назовем этот момент текущей эпохой или «сейчас». Снабдим все значения, относящиеся к этому моменту, индексом 0. Мы уже делали это раньше, когда ввели параметр Хаббла H0 – текущее значение зависящей от времени постоянной Хаббла H. Следующей используемой величиной будет так называемый параметр плотности материи Ωm = ρ/ρкрит. Как числитель, так и знаменатель этого отношения зависят от времени согласно формулам (2.8) и (2.11). Следовательно, параметр плотности вещества тоже зависит от времени. Обозначим его текущее значение Ωm0. Нам также понадобится текущее значение радиуса сферы r0, играющее роль текущего значения масштабного фактора.

Вход
Поиск по сайту
Ищем:
Календарь