Книга Теория организации, страница 61 – Валентина Парахина, Елена Шацкая, Татьяна Федоренко

Авторы: А Б В Г Д Е Ж З И Й К Л М Н О П Р С Т У Ф Х Ч Ш Ы Э Ю Я
Книги: А Б В Г Д Е Ж З И Й К Л М Н О П Р С Т У Ф Х Ц Ч Ш Щ Ы Э Ю Я
Бесплатная онлайн библиотека LoveRead.ec

Онлайн книга «Теория организации»

📃 Cтраница 61
Иллюстрация к книге — Теория организации [i_075.jpg]

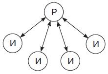
Рис. 10.5. Веерная структура


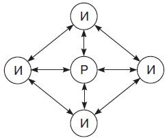
В круговой структуре (рис. 10.6) отсутствует система командных отношений, высокая степень удовлетворенности коммуникациями, активность, но замедленная скорость передачи и точность передачи информации, низкая степень устойчивости. Сеть такого типа является основой замкнутых сетей. В крупной организации она может быть сложной, включающей дополнительные коммуникационные каналы, связывающие всех со всеми. «Круг» характерен для структур с благоприятным морально-психологическим климатом. Он помогает объединять людей, облегчать обмен информацией и идеями, стимулирует творческие процессы.

Иллюстрация к книге — Теория организации [i_076.jpg]

Рис. 10.6. Круговая структура


Многосвязная структура (рис. 10.7) устанавливает связи между всеми участниками коммуникаций друг с другом, характеризуется быстрой скоростью передачи, хорошей точностью, устойчивостью структуры, проявлением командных отношений. Координация обеспечивается с помощью многосвязной коммуникационной сети, в которой имеется центральный субъект, облегчающий и ускоряющий процесс коммуникаций. Однако это не отдающий распоряжения администратор, а общепризнанный лидер, ведущий за собой остальных. В крупных организациях творческие группы могут быть связаны друг с другом, и тогда коммуникационная структура принимает вид сот.

Иллюстрация к книге — Теория организации [i_077.jpg]

Рис. 10.7. Многосвязная структура


Различие коммуникативных сетей базируется на существующей организационной структуре управления, количестве и качестве информации, частоте информационных потоков. Очевидно, что структура сети коммуникаций влияет на точность и недвусмысленность посланий, на функционирование группы, на чувство удовлетворения членов группы, является потенциально важным компонентом в типах взаимодействия внутри организации, в способности группы направлять общие усилия на выполнение определенных задач.

10.6. Повышение эффективности организационной коммуникации

Организационные коммуникации – совокупность информационных каналов, позволяющих передавать сведения интеллектуального и эмоционального содержания внутри организации между ее сотрудниками. Эффективные организационные коммуникации быстрее приводят к индивидуальной удовлетворенности деятельностью группы, позволяют ее членам наиболее полно выразить себя. Качество организационной коммуникации оказывает непосредственное влияние на производственное поведение сотрудников. Значение коммуникации в управлении возрастает по мере увеличения уровня информатизации организаций и ускорения перемен во внешней среде их деятельности.

Эффективность внутриорганизационной коммуникации зависит от множества факторов. Они подразделяются на две группы: индивидуальные и организационные.

Под индивидуальными факторами понимается все то, что связано с сотрудниками организации, их способностью и мотивацией участвовать в информационном обмене.

Исследования показывают, что существует ограниченное количество проблем (коммуникационных барьеров), снижающих эффективность коммуникации на уровне отдельного сотрудника. Есть несколько стратегий, позволяющих достаточно успешно преодолевать коммуникационные барьеры и повышать эффективность коммуникации на уровне сотрудников организации.

Во-первых, организации должны обратить специальное внимание на развитие коммуникационных навыков своих сотрудников. К числу наиболее важных из них относятся: активное слушание и предоставление обратной связи. Смысл активного слушания как приема коммуникации состоит в способности слушателя помочь говорящему сказать именно то, что он намеревался. Обратная связь, делающая процесс коммуникации двусторонним, значительно повышает его эффективность, поскольку дает возможность уточнения полученного послания.

Во-вторых, очень важно обеспечить развитие у сотрудников чисто технических навыков коммуникации: владение электронной почтой, умение пользоваться факсом, писать меморандумы.

В-третьих, руководство должно создавать управленческие системы и формировать культуру, поощряющую открытую коммуникацию в организации.

Под организационными факторами понимается организационная структура, информационная перегруженность, фильтрация и неадекватное техническое оснащение.

Чем больше иерархических уровней в организации, тем сложней передача информации и выше вероятность ее искажения. Также негативно сказывается на эффективности внутриорганизационной коммуникации неравенство в статусе сотрудников, находящихся на различных организационных уровнях, добавляющее к чисто техническому фактору психологические барьеры для обмена информацией.

Информационная перегруженность может возникнуть в том случае, если организация представляет своим сотрудникам больше информации, чем требуется для выполнения производственных функций. Традиционными средствами минимизации эффекта перегруженности является фильтрование информации и определение приоритетов в ее обработке. Фильтрация может стать и серьезным барьером внутриорганизационной коммуникации в том случае, когда информация просеивается и корректируется в интересах отдельных сотрудников, а не целей организации.

На современном этапе развития рыночных отношений наиболее актуальными проблемами организационной коммуникации становятся:

• обоснование сущности и функций организационной коммуникации;

• моделирование организационной коммуникации;

• эффективность организационной коммуникации;

• влияние организационной коммуникации на социально-экономическую эффективность деятельности;

• управление организационной коммуникацией.

Эффективность коммуникационных процессов зависит от многих факторов. Необходимо определить потребность в информации и обеспечить понимание работниками, как будет использоваться информация, правильное направление информационных запросов. Существует два основных подхода к поиску информации:

1) активный – определенный набор данных ищется либо непосредственно, либо опосредованно, например с помощью сотрудника библиотеки (pull – «вытягивание»);

2) пассивный – сотрудник оповещает свое подразделение или организацию в целом, какая ему требуется информация (push – «выталкивание»).

Персонал должен быть осведомлен о наличии информации, т. е. должны быть указатели, каталоги, телефонные справочники, навигаторы и т. д., а также возможность обращения к профессионалам для получения сведений о накопленных в организации знаниях. Содействие в поиске информации обеспечивается введением в организации новых должностей специально для помощи тем, кто занят этим поиском, а также привлечением экспертов для фильтрации информации.

Вход
Поиск по сайту
Ищем:
Календарь