Книга Теория организации, страница 60 – Валентина Парахина, Елена Шацкая, Татьяна Федоренко

Авторы: А Б В Г Д Е Ж З И Й К Л М Н О П Р С Т У Ф Х Ч Ш Ы Э Ю Я
Книги: А Б В Г Д Е Ж З И Й К Л М Н О П Р С Т У Ф Х Ц Ч Ш Щ Ы Э Ю Я
Бесплатная онлайн библиотека LoveRead.ec

Онлайн книга «Теория организации»

📃 Cтраница 60

В организации существуют три основных направления коммуникационных потоков: сверху вниз, снизу вверх и по горизонтали. Каждое из них предполагает взаимодействие сотрудников, находящихся на разных уровнях организационной иерархии [15].

Коммуникация сверху вниз предполагает передачу информации от руководителя подчиненному. Главная цель – предоставление информации о том, что (как, когда, где) должны делать сотрудники организации. Этот вид коммуникации является наиболее распространенным в современных организациях. Коммуникация сверху вниз играет важнейшую роль в управлении организацией. Она непосредственно влияет на мотивацию и способность сотрудников выполнять свои производственные функции и обеспечивать достижение организационных целей. Основными формами коммуникации сверху вниз являются приказы, инструкции, предписания, правила и процедуры. При коммуникации сверху вниз информация проходит через значительное число организационных уровней, поэтому риск ее искажения повышен.

Коммуникация снизу вверх предполагает передачу информации от более низкого к более высокому уровню. Используется для обратной связи подчиненных с руководством с целью проинформировать о результатах работы и текущих проблемах. Она служит средством доведения до сведения руководителей мнения работников. Руководители также полагаются на данную информацию при анализе того, как улучшить сложившееся положение дел.

Горизонтальная коммуникация осуществляется между сотрудниками, находящимися на одном иерархическом уровне: заместителями генерального директора, руководителями отделов человеческих ресурсов и продаж, инженерами конструкторского бюро. Основной целью горизонтальной коммуникации является обмен информацией для координации действий подразделений и сотрудников, т. е. для оптимизации производственного поведения и реализации целей организации. Значение этого вида коммуникации возрастает по мере того, как сокращается количество иерархических уровней в организации.

Основными элементами коммуникации являются:

1) источник – сотрудники со своими идеями, намерениями, информацией и целью коммуникации;

2) кодирование – перевод идей источника в систематический набор символов на язык, выражающий цели источника;

3) передача сигнала – цель источника выражена в форме сигнала, это то, с чем источник собирается эффективно связываться с приемником, а форма, которую сигнал принимает, зависит от используемого канала;

4) канал – передаточный механизм от источника к приемнику (устное обращение друг к другу, телефон, групповые собрания и т. п.);

5) расшифровка-прием – каждый приемник расшифровывает сигнал в свете своего предыдущего опыта и формы рекомендации, чем ближе сигнал к цели, тем более эффективна коммуникация;

6) обратная связь – позволяет руководителю определить, насколько эффективно он осуществляет коммуникацию, а также повысить точность сигналов в будущих коммуникациях. Источник надеется, что его сигнал будет иметь высокую степень точности, а поскольку точность сигнала редко совершенна, желательно обеспечение обратной связи в коммуникационном процессе;

7) помехи и барьеры, нарушающие качество сигнала, – отвлечения, неправильная интерпретация, статусное различие между руководителями и подчиненными, свойство приемника слышать только то, что он хочет услышать и др.

10.5. Коммуникативные сети

В организациях, где занято более двух человек, коммуникационные каналы объединяются в так называемые коммуникативные сети, связывающие элементы управленческой структуры в единое целое, и столь же многоуровневые, как она сама. Они объединяют в себе формальные и неформальные коммуникационные каналы как дублирующие, так и дополняющие друг друга.

Коммуникативная сеть – определенное соединение участников коммуникации с помощью информационных потоков.

Структуры коммуникативных сетей могут быть различными. Наиболее распространенными являются следующие виды сетей: цепочная, звездная, иерархическая, многосвязная, веерная, круговая.

В цепочной структуре (рис. 10.2) решение известно всем субъектам, коммуникации одинаковы для всех, командный стиль отсутствует, присущи высокая скорость передачи и средняя степень организованности. Это наиболее простой вид открытой коммуникационной сети. Она характеризуется тем, что крайние элементы структуры, которые она соединяет, находятся в тупиках, а промежуточные выполняют роль не только посредника коммуникаций, но могут контролировать их.

Иллюстрация к книге — Теория организации [i_072.jpg]

Рис. 10.2. Цепочная структура: Р – руководитель; И – исполнитель


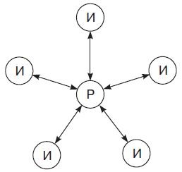
В звездной структуре (рис. 10.3) ярко выражены отношения командования, все связи замыкаются на руководителе, соответственно устойчивость и скорость передачи невысокие. Она позволяет оперативно получать информацию, концентрировать ее в центральном звене и в кратчайшие сроки направлять исполнителям. Командному звену легко поддерживать порядок в управлении, поскольку при коммуникациях отсутствуют посредники и неформальные каналы, что делает невозможным появление различного рода «возмущений».

Иллюстрация к книге — Теория организации [i_073.jpg]

Рис. 10.3. Звездная структура


В сетях типа «звезда» число коммуникационных каналов, сходящихся к центральному элементу, на практике может бесконечно расти и в конце концов превысить возможности отдельного человека их контролировать. Это обстоятельство ставит естественный предел развитию управленческих структур, а следовательно, препятствует расширению самих организаций из-за роста масштабов производства.

Иерархическая структура (рис. 10.4) характеризуется ярко выраженными командными отношениями, промежуточные ступени одновременно являются и подчиненными, и командными, высокой степенью организованности и низкой точностью передачи. Они свойственны для крупных многопрофильных функциональных структур. Суть этих типов сетей и их модификаций, получивших название «палатка и дом», состоит в официальном допущении наряду с вертикальными горизонтальных коммуникационных каналов, посредством которых подчиненные могут напрямую самостоятельно решать многие второстепенные проблемы, что позволяет руководству не отвлекаться на них и сосредоточиться на главном.

Иллюстрация к книге — Теория организации [i_074.jpg]

Рис. 10.4. Иерархическая структура


Веерная структура (рис. 10.5) выражает командные отношения, упорядочена и устойчиво организована, имеет высокую точность и скорость передачи и низкую удовлетворенность участников коммуникационного процесса. В целом открытые коммуникационные структуры присущи бюрократическим организациям, где имеет место жесткое подчинение одних звеньев другим и преобладают формальные связи. Однако в рамках таких организаций могут существовать и гибкие структуры – консультационные и совещательные (комитеты, комиссии, специальные творческие группы), которые основаны преимущественно на неформальных или полуформальных внутренних связях и принципах самоуправления.

Вход
Поиск по сайту
Ищем:
Календарь