Книга Теория организации, страница 49 – Валентина Парахина, Елена Шацкая, Татьяна Федоренко

Авторы: А Б В Г Д Е Ж З И Й К Л М Н О П Р С Т У Ф Х Ч Ш Ы Э Ю Я
Книги: А Б В Г Д Е Ж З И Й К Л М Н О П Р С Т У Ф Х Ц Ч Ш Щ Ы Э Ю Я
Бесплатная онлайн библиотека LoveRead.ec

Онлайн книга «Теория организации»

📃 Cтраница 49

Закон состязательности кадров управления – каждая социально-экономическая система должна иметь четкий механизм оценки и отбора управленческих кадров в соответствии с их реальными способностями.

Действие такого механизма неразрывно связано с конкурсным выбором и выдвижением самой хозяйственной системой наиболее профессионально подготовленных сотрудников на замещение руководящих должностей.

В организационном обеспечении профессионального роста персонала управления необходимо учитывать подходы, существенно влияющие на стимулирование его профессионализма. На повышении профессионализма работников управления положительно сказывается использование двух основных подходов:

1) динамичной карьеры, связанной с вертикальным должностным продвижением, со сменой должностей;

2) статичной карьеры в рамках одного аппарата, одного уровня управления, одной должности – осуществляется путем профессионального роста со сменой функций, более глубокого и качественного овладения профессией, умениями и навыками, повышения профессиональной компетентности.

Возможно соединение этих подходов в развитии профессионализма персонала управления. При этом важно учитывать индивидуальные мотивы различных работников аппарата управления: реализация творческого потенциала, овладение профессиональной компетентностью, завоевание авторитета среди коллег, упрочение своего положения в статусной организационной структуре управления и т. п.

В разработке стратегии роста профессионализма и выдвижения сотрудников с учетом действия закона состязательности кадров управления необходимо определить критерий профессионально-квалификационного уровня на всех этапах движения карьеры для того, чтобы профессиональные требования побуждали человека к овладению своей профессией, укрепляли его перспективу.

Новые информационные технологии, сетевые коммуникации и автоматизация управленческого труда способствуют усилению позитивного действия объективных законов организации и совершенствованию принципов управления.

Специфические законы базируются на эффективном использовании составляющих их законов в области функционирования организаций и людей. В рамках компании имеются две группы законов организации: для руководителя и индивидуума (рис. 8.3) [42]. Отношения между компанией, подчиненными и руководителями в большей степени стандартизированы в виде кодексов, правил и норм.

Иллюстрация к книге — Теория организации [i_062.jpg]

Рис. 8.3. Объекты законов социальной организации


Специфические законы отражают:

• неразрывную связь всех звеньев организации;

• пропорциональность производства и управления;

• переход от администрирования к стратегическому планированию;

• упреждающее управление;

• воздействие технологических новаций на развитие социально-экономических организационных систем;

• требования экономии времени и интеллектуального ресурса персонала.

Специфические законы действуют в конкретных ситуациях и определенных видах деятельности. К специфическим законам организации можно отнести: закон пропорциональности и композиции, закон информированности и упорядоченности, закон единства анализа и синтеза, закон дифференциации и универсализации функций, закон своеобразия, закон социальной гармонии, закон оптимальной загрузки, закон эффективного восприятия и запоминания информации и др.

Информационная среда является объектом управления наряду с персоналом, финансами, производством и т. п. Она подчиняется действию закона информированности-упорядоченности. Под упорядоченностью понимается гармоничное развитие всех элементов организации: системы управления, персонала, подразделений, экономики и т. д., а также наличие между элементами установленного взаимодействия (взаимовлияния).

Закон информированности-упорядоченности любая социальная организация способна к выживанию только в том случае, если она обеспечена полной, достоверной, ценной и насыщенной информацией [42].

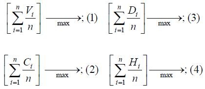
Математическая интерпретация закона имеет следующий вид:

Иллюстрация к книге — Теория организации [i_063.jpg]

где Vi, Di, Ci, Hi – уровни характеристик информации: объем, ценность, достоверность, насыщенность соответственно в i-й области (финансы, экономика, персонал и т. д.).

Основные характеристики управленческой информации были рассмотрены в главе 6. Каждая из приведенных формул обозначает стремление получить информацию с максимальными средними значениями соответствующих характеристик. Так, первая формула показывает необходимость для руководителей собирать максимальное количество информации в каждом направлении деятельности, вторая – наиболее достоверную информацию; третья – наиболее ценную и четвертая – наиболее насыщенную.

Полнота информации определяется возможностями доступа к ресурсам информационного пространства, в котором действует организация, а также состоянием внешних и внутренних коммуникационных связей. В современных условиях любой организации доступны очень большие объемы информации. Несмотря на разветвленную сеть и быстродействие современных информационных систем, процесс поиска нужной информации требует значительных усилий. Кроме того, в условиях рынка и острой конкурентной борьбы часть информации о деятельности организаций переводится в разряд строго конфиденциальной, становясь при этом недоступной не только для членов других организаций, но и для большинства членов своей фирмы.

Достоверность информации – необходимое условие использования полученных данных в деятельности предприятия. Источники информации должны быть надежными и не вызывать сомнений. В ряде случаев в информационные базы данных вводится заведомо ложная информация, чтобы дезинформировать конкурентов или подорвать к ним доверие со стороны клиентов.

Упорядоченность информации подразумевает структурирование или распределение информации по степени ее важности для решения задач управления организацией. Сложной и ответственной задачей в формировании внутренней информационной системы является сбор и систематизация информации, полученной из различных подразделений компании. Рекомендуется разработать единую систему информационных запросов, которая обеспечила бы своевременную и оперативную передачу информации, накопившейся в подразделениях, в центральную базу данных. Основным потребителем информации является система управления организацией. Однако владение большими объемами информации еще не означает, что она будет эффективно использована в деятельности организации.

В наши дни человеку доступны огромные объемы информации, но далеко не все, что он может узнать, доходит до его сознания, а тем более используется в жизни. Из огромного количества информации мы стараемся выбрать те сведения, которые нам нужны или могут понадобиться в дальнейшем. Такой же подход справедлив и для организации. Из общего потока система управления воспринимает и отбирает только ту информацию, которая соответствует поставленным целям и может быть использована в процедурах управления. Поэтому вся доступная информация должна быть упорядочена по целевому признаку.

Вход
Поиск по сайту
Ищем:
Календарь