Онлайн книга «Теория организации»
|
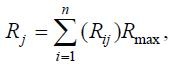
Закон самосохранения служит основой для оценки способности организации к выживанию в изменяющихся условиях существования. Полученная оценка используется для определения времени существования компании и при прогнозировании ее дальнейшего развития. В ходе построения оценки необходимо составить максимально полное описание факторов внутренней и внешней среды, оказывающих влияние на деятельность организации, разбить эти факторы на две группы: позитивные и негативные. Позитивные факторы относятся к ресурсам, повышающим возможности предприятия в борьбе за выживание. Организация способна к выживанию и устойчивому поступательному развитию в том случае, если энергетический потенциал позитивных (созидательных) факторов превышает соответствующий показатель негативных (разрушительных) факторов. Основная сложность составления баланса созидательного и разрушительного потенциала заключается в том, что, оценивая способности организации к самосохранению, необходимо учитывать не только внутренние факторы материализованного характера (наличие денежных средств, технологии работы и т. д.), но и социально-психологические параметры. Из закона самосохранения следует, что прибыль не может быть главной целью организации, потому что прибыль является сугубо внутренней проблемой [50]. Для анализа положения организации предлагается применение показателя «уровня самосохранения» (Сc), определяющегося как разность между потенциалами созидания и разрушения, деленная на суммарный объем ресурсов созидания [20, 43]: ![]() Различают семь уровней самосохранения (табл. 8.1). Таблица 8.1. Уровни самосохранения организации ![]() Окончание ![]() Основная сложность составления баланса созидательного и разрушительного потенциала заключается в определении запаса прочности организации. На изменение уровня самосохранения организации существенно влияют три закона организации: единства анализа и синтеза, развития и самосохранения. Закон единства анализа и синтеза стремится уменьшить потенциал компании и привести ее к первому, второму или третьему уровню. Закон самосохранения удерживает организацию на четвертом или пятом уровне. Закон развития выталкивает фирму на шестой или седьмой уровни. Таким образом, действуя сами по себе, эти законы могут мешать друг другу и создавать дополнительные трудности. Текущее состояние организации зависит от внутренних и внешних факторов. К внутренним факторам относятся: принципы деятельности организации, уровень квалификации персонала, использование ресурсов и технологии, степень сочетания функций и структуры управления и др. К внешним факторам причисляют экономическую и политическую ситуацию, покупательную способность населения, уровень культуры, состояние развития науки и технологии и др. Руководитель, профессионально формирующий внутренние факторы деятельности организации и усиливающий ее устойчивость к внешним воздействиям, существенно повышает созидательный потенциал компании. Для реализации закона самосохранения большое значение (по мнению одного из ведущих теоретиков в области менеджмента М. Портера) имеет следование трем стратегиям поведения фирмы на рынке [6]: 1) достижение лидерства в минимизации издержек производства – фирма может за счет более низких цен на аналогичную продукцию завоевать большую долю рынка. Фирмы, использующие такой тип стратегии, должны добиваться хорошей организации производства и снабжения, высокого уровня профессионализма сотрудников и внедрять передовую технологию; 2) специализация в производстве продукции – фирма должна осуществлять курс на особо специализированное производство и добиваться лидерства в избранном виде продукции. Фирмы, предпочитающие этот тип стратегии, должны иметь развитую структуру научно-исследовательских и опытно-конструкторских работ (НИОКР), а также маркетологов и дизайнеров высокого класса; 3) концентрация усилий фирмы в выбранном рыночном сегменте. В этом случае фирма может объединить две первые стратегии, однако свою деятельность она должна строить прежде всего на анализе потребностей клиентов определенного сегмента рынка, т. е. конкретных клиентов. Основой борьбы за самосохранение является способность организации не только приспосабливаться к внешней среде, но и уметь использовать происходящие в ней изменения в своих интересах. Полный и исчерпывающий анализ внешней среды позволяет руководителям как вновь создаваемых, так и уже существующих компаний предвидеть потенциальные угрозы выживаемости, а также предугадать новые возможности развития. Грамотное прогнозирование помогает разработать модель ситуационного поведения организации и избежать ее гибели. В результате организационных процессов в системах различной природы происходят постоянные изменения; системы находятся в динамическом режиме – развитии. Развитие – это необратимое и направленное изменение материи. Цикл развития вносит элементы новизны в очередной виток создания технических устройств, зарождения жизни, создания научной теории. Механизм развития обусловлен самоорганизацией и механизмом отбора, условия которого не остаются постоянными. В обыденном сознании понятие «развитие» ассоциируется с улучшением состояния системы. Однако направления развития могут быть прямо противоположными. Различают прогрессивное развитие систем – переход от низшего к высшему уровню, от простого к сложному, от менее совершенного к более совершенному и регрессивное – как обратное движение. Прогресс и регресс – это составные части процесса достижения гармонии. Без прогресса нет регресса, а без регресса нет прогресса. Они сопутствуют развитию любой организации. Развитие организаций обусловливают изменения: на рынке спроса и предложения; внешней и внутренней среды; экологии и др. Закон развития – каждая система (социальная или биологическая) стремится достичь наибольшего суммарного потенциала при прохождении всех этапов жизненного цикла [42]. Математическая интерпретация закона развития: ![]() где Rj – потенциал системы на j-ом этапе жизненного цикла; Rij – потенциал системы в i-й области (экономика, техника, политика, финансы) на j-ом этапе; Rmax – запланированные результаты по конкретным видам деятельности. Величина Rmax является величиной субъективной и зависит от представлений руководителей об устойчивости организации. Эта величина выражается в запасах и резервах организации. |
![Иллюстрация к книге — Теория организации [i_057.jpg] Иллюстрация к книге — Теория организации [i_057.jpg]](img/book_covers/067/67194/i_057.jpg)
![Иллюстрация к книге — Теория организации [i_058.jpg] Иллюстрация к книге — Теория организации [i_058.jpg]](img/book_covers/067/67194/i_058.jpg)
![Иллюстрация к книге — Теория организации [i_059.jpg] Иллюстрация к книге — Теория организации [i_059.jpg]](img/book_covers/067/67194/i_059.jpg)
![Иллюстрация к книге — Теория организации [i_060.jpg] Иллюстрация к книге — Теория организации [i_060.jpg]](img/book_covers/067/67194/i_060.jpg)