Книга Управление персоналом: учебное пособие, страница 87 – Владимир Спивак

Авторы: А Б В Г Д Е Ж З И Й К Л М Н О П Р С Т У Ф Х Ч Ш Ы Э Ю Я
Книги: А Б В Г Д Е Ж З И Й К Л М Н О П Р С Т У Ф Х Ц Ч Ш Щ Ы Э Ю Я
Бесплатная онлайн библиотека LoveRead.ec

Онлайн книга «Управление персоналом: учебное пособие»

📃 Cтраница 87

• коэффициент увольнений женщин и представителей меньшинств;

• доля найма представителей меньшинств и женщин;

• доля работающих представителей меньшинств и женщин;

• прогноз потребности в сравнении с сегодняшними потребностями в человеческих ресурсах;

• прогноз потребности в сравнении с реальным наличием человеческих ресурсов;

• средняя стоимость найма в расчете на одного кандидата;

• средняя стоимость найма в расчете на одного нанятого работника;

• укомплектованность организации персоналом разных должностей;

• средняя стоимость тестирования в расчете на одного кандидата;

• доля действительно заполненных оценочных листов от количества требуемых (в процентах);

• доля персонала, отнесенного к категории лучших работников;

• доля обжалованных оценок;

• показатели текучести рабочей силы;

• доля вновь принятых и оставшихся работать;

• доля потери вновь принятых на работу.

Приведем подробный пример количественного анализа. Чтобы помочь вычислить как можно более точную цифру и чтобы компании могли получить исходные данные и соответствующим образом разместить ресурсы для найма и удержания персонала, консалтинговая фирма Kepner-Tregoe, Inc. разработала алгоритм расчета стоимости текучести рабочей силы, включающий следующие шаги:

1. Заработок за год х 0,25 =

2. Льготы за год х 0,30 =

3. Общая сумма расходов от оборота в расчете на одного работника (стр. 1 + стр. 2) =

4. Общее количество уволившихся работников =

5. Общая стоимость текучести кадров (стр. 3 х стр. 4) =

Пояснения к методике:

Необходимо выбрать отдел или вид деятельности, для которого характерна высокая текучесть персонала.

Необходимо использовать реальную цифру или вычислить приблизительное количество людей, которые уволились за последние 12 месяцев; следует написать эту цифру в стр. 4.

Средняя стоимость текучести составляет 25 % от ежегодной зарплаты каждого уволившегося работника (стр. 1) плюс стоимость льгот (стр. 2). Типичные льготы в сумме составляют около 30 % от заработка. Общие расходы в расчете на одного работника (стр. 3) вычисляются как сумма стр. 1 и стр. 2.

14.4. Анализ динамики и уровня производительности труда

Производительность труда определяется объемом продукции (работы), произведенной работником в единицу времени. Объем продукции может быть рассчитан по валовой, товарной, условно чистой продукции и другим показателям. Отработанное время исчисляется в человеко-днях, человеко-часах, в среднесписочной численности работников 1.

Делением объема продукции на число отработанных рабочими человеко-часов или человеко-дней определяется показатель часовой или дневной производительности труда.

Делением же объема продукции, выпущенной за месяц, квартал, год, на соответствующую среднесписочную численность работников промышленно-производственного персонала получаем месячную, квартальную, годовую производительность труда.

Таким образом, уровень производительности труда (ПТ) оценивается путем деления объема продукции (ОП) на единицу отработанного времени (Т) или численность работников (Р):

Иллюстрация к книге — Управление персоналом: учебное пособие [i_096.jpg]

Изменение уровня производительности труда (его динамика) определяется как отношение уровня производительности труда отчетного периода к базовому или плановому. Этот показатель характеризует процент ее роста или снижения в отчетном периоде. Сравнением планового и базового уровней производительности труда исчисляется предусмотренный планом процент ее роста, а сравнением фактического и базового уровней – процент отклонения производительности труда по отношению к уровню прошлого года.

Различают три метода измерения производительности труда: 1) натуральный, 2) стоимостной и 3) трудовой, в зависимости от единиц измерения количества произведенной продукции (соответственно: 1) штуки, тонны, метры и т. п., 2) денежное выражение объема валовой продукции, 3) нормированное рабочее время).

В экономическом анализе часто используются такие показатели, как индекс затрат рабочего времени (трудоемкости) и индекс производительности труда.

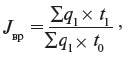
Индекс затрат рабочего времени (Jвр) отражает снижение затрат рабочего времени (трудоемкости) на единицу продукции и рассчитывается по формуле:

Иллюстрация к книге — Управление персоналом: учебное пособие [i_097.jpg]

где

Иллюстрация к книге — Управление персоналом: учебное пособие [i_098.jpg]
– объем продукции, произведенной в отчетном периоде в соответствующих единицах измерения;

t0 и t1 – затраты времени на единицу продукции в базовом и отчетном периодах.


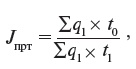
Индекс производительности труда (JПРТ) – это величина, обратная индексу затрат рабочего времени, рассчитываемая по формуле:

Иллюстрация к книге — Управление персоналом: учебное пособие [i_099.jpg]

где

Иллюстрация к книге — Управление персоналом: учебное пособие [i_100.jpg]
– объем продукции, произведенной в отчетном периоде, в соответствующих единицах измерения;

t0 и t1 – затраты рабочего времени соответственно в базовом и отчетном периодах на единицу продукции.

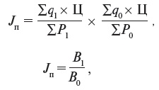
Иллюстрация к книге — Управление персоналом: учебное пособие [i_101.jpg]

Для определения изменения производительности труда широко применяется индекс, основанный на сопоставлении выработки продукции на одного работника в отчетном и базовом периодах, в денежном выражении в сопоставимых ценах:

где q0 и qi – объем продукции в натуральном выражении соответственно в базовом и отчетном периодах;

Ц – сопоставимая цена (норматив чистой продукции) на единицу продукции;

Р0 и Р1 – среднесписочная численность в базовом и отчетном периодах;

В0 и В1 – выработка товарной (валовой) продукции в сопоставимых ценах предприятия на одного работника промышленно-производственного персонала (или рабочего) соответственно в базовом и отчетном периодах.

Вход
Поиск по сайту
Ищем:
Календарь