Онлайн книга «Управление персоналом: учебное пособие»
|
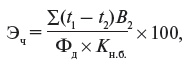
Все результаты, достигнутые организацией, в первую очередь отражают эффективность деятельности персонала, и в частности, работников службы управления персоналом, обеспечивающих качество рабочей силы. Основная цель службы управления персоналом – обеспечение качества персонала, адекватного требованиям внутренней (контекста) и внешней среды организации, используя современные знания, методы и рекомендации по реализации функций, а также весь потенциал работников и команд СУП и менеджмента. Это обобщенные стратегические показатели эффективности СУП и персонала, аналогичные конечным целям организации (стратегическим и тактическим), такие, как рентабельность активов предприятия, производительность (оборачиваемость) активов предприятия, издержки на единицу реализованной продукции (продаж), производительность живого труда, рост объемов продаж, рост доли на рынках и другие, такие, например, как приводят К. Камерон и Р. Куинн в связи с анализом эффективности трансформаций на автозаводе в г. Фримонт: численность персонала, число прогулов (уровень абсентеизма), количество жалоб, в том числе неудовлетворенных, количество забастовок (показатели степени удовлетворенности трудом), объем выпускаемой продукции, качество. Есть и локальные показатели. При определении целесообразности инвестирования в человеческие ресурсы, в том числе в случае разработки и реализации ЦКП по развитию персонала или любой из подпрограмм этой ЦКП, подходят методы расчета эффективности инвестирования капитала, например, срока окупаемости инвестиций, приводимые в книге Л. А. Ждановой «Организация и управление капиталистической промышленной фирмой» [137]: ![]() или по такой формуле: ![]() где К – первоначальные инвестиции; Кр – величина кредита, используемого для инвестиций; П + А – валовые накопления (прибыль и амортизация); АКр – амортизация кредита; i – процент на кредит. Определим в табл. 14.2 структуру затрат и направления расчета экономического эффекта от мероприятий по такой подпрограмме развития персонала, как производственное обучение и повышение квалификации работников. Подробная структура единовременных и текущих затрат на разработку и реализацию ЦКП развития персонала организации может быть определена и рассчитана специалистом по бухгалтерскому учету, экономике организации, ценообразованию. В частности, состав такого рода затрат приводится в учебнике «Управление персоналом организации» [138]. Таблица 14.2 Структура затрат и направления расчета эффекта ![]() В «Справочном пособии по НОТ» Е. Л. Смирнова [139] предлагается рассчитывать целый ряд показателей, отражающих экономию, получаемую организацией за счет мероприятий, направленных на повышение качества персонала и качества трудовой жизни: 1. Относительную экономию (условное высвобождение) численности работающих Эч за счет прироста выработки в результате повышения квалификации работников по следующей формуле: ![]() при ![]() где Чнв – численность рабочих, увеличивших выполнение норм выработки в результате повышения квалификации; Рнв – прирост процента выполнения норм выработки рабочими; Рнв1, Рнв2 – выполнение норм выработки соответственно до и после повышения квалификации, %. 2. Экономию за счет снижения трудоемкости по формуле: ![]() где t1, t2 – трудоемкость единицы продукции, работ до и после внедрения мероприятия, нормо-час; Фд – фонд рабочего времени одного работника до внедрения (эффективный); В2 – годовой объем производства после внедрения; Кнб – коэффициент выполнения норм в базисном году. 3. Экономию (условное высвобождение численности) за счет прироста объема производства: ![]() где ч1 и ч2 – численность работающих до и после внедрения; Р – прирост объема производства в результате внедрения мероприятия, %. 4. Экономию по себестоимости за счет снижения текучести рабочей силы: ![]() где
Рт1 – ущерб от недополучения продукции, когда увольняющиеся работники предупредили о желании уволиться, но «дорабатывают» 2 недели; Рт2 – ущерб от недополучения продукции от новичков; Рт3 – затраты на обучение новичков (целевое или иное обучение); Рт4 – дополнительные расходы, связанные с организацией работ по приему и увольнению по собственному желанию; Ртп – другие расходы, связанные с текучестью; Кт2 – ожидаемый процент текучести рабочей силы после внедрения комплекса мероприятий по НОТ или мероприятий, направленных на снижение текучести, повышение лояльности работников предприятию, улучшение отношения к труду; |
![Иллюстрация к книге — Управление персоналом: учебное пособие [i_080.jpg] Иллюстрация к книге — Управление персоналом: учебное пособие [i_080.jpg]](img/book_covers/066/66699/i_080.jpg)
![Иллюстрация к книге — Управление персоналом: учебное пособие [i_081.jpg] Иллюстрация к книге — Управление персоналом: учебное пособие [i_081.jpg]](img/book_covers/066/66699/i_081.jpg)
![Иллюстрация к книге — Управление персоналом: учебное пособие [i_082.jpg] Иллюстрация к книге — Управление персоналом: учебное пособие [i_082.jpg]](img/book_covers/066/66699/i_082.jpg)
![Иллюстрация к книге — Управление персоналом: учебное пособие [i_083.jpg] Иллюстрация к книге — Управление персоналом: учебное пособие [i_083.jpg]](img/book_covers/066/66699/i_083.jpg)
![Иллюстрация к книге — Управление персоналом: учебное пособие [i_084.jpg] Иллюстрация к книге — Управление персоналом: учебное пособие [i_084.jpg]](img/book_covers/066/66699/i_084.jpg)
![Иллюстрация к книге — Управление персоналом: учебное пособие [i_085.jpg] Иллюстрация к книге — Управление персоналом: учебное пособие [i_085.jpg]](img/book_covers/066/66699/i_085.jpg)
![Иллюстрация к книге — Управление персоналом: учебное пособие [i_086.jpg] Иллюстрация к книге — Управление персоналом: учебное пособие [i_086.jpg]](img/book_covers/066/66699/i_086.jpg)
![Иллюстрация к книге — Управление персоналом: учебное пособие [i_087.jpg] Иллюстрация к книге — Управление персоналом: учебное пособие [i_087.jpg]](img/book_covers/066/66699/i_087.jpg)
![Иллюстрация к книге — Управление персоналом: учебное пособие [i_088.jpg] Иллюстрация к книге — Управление персоналом: учебное пособие [i_088.jpg]](img/book_covers/066/66699/i_088.jpg)