Книга Управление персоналом: учебное пособие, страница 55 – Владимир Спивак

Авторы: А Б В Г Д Е Ж З И Й К Л М Н О П Р С Т У Ф Х Ч Ш Ы Э Ю Я
Книги: А Б В Г Д Е Ж З И Й К Л М Н О П Р С Т У Ф Х Ц Ч Ш Щ Ы Э Ю Я
Бесплатная онлайн библиотека LoveRead.ec

Онлайн книга «Управление персоналом: учебное пособие»

📃 Cтраница 55

L = K1 × l1 + K2 × l2,


где L – комплексная оценка качеств руководителя или специалиста;

К – профессионально-квалификационный уровень работника, зависящий от уровня его образования, опыта работы (стажа) и творческого подхода к работе;

l1 – оценка деловых качеств, требуемых исполнением обязанностей на данной должности, определяемая экспертным путем по набору существенных признаков с учетом их весомости;

К2 – оценка сложности выполняемых функций, учитывающая с помощью балльной системы и удельной значимости такие параметры, как характер работы (содержание труда), разнообразие, комплексность работ, самостоятельность выполнения работ, масштаб и сложность руководства, дополнительные виды ответственности (материальная или моральная);

l2 – оценка непосредственных результатов труда по количеству плановых и внеплановых работ, качеству и срокам выполнения.


Согласно этой подробной методике, оценка осуществляется аттестационной комиссией.

Рассмотрим подход к определению деловых качеств работников, применяемый в указанных методических рекомендациях. Отбор признаков деловых качеств производится с учетом требований квалификационного справочника должностей руководителей, специалистов и служащих, но может быть изменен и дополнен с учетом требований конкретного рабочего места. Каждый признак имеет четыре уровня (степени) проявления и оценивается экспертами и членами аттестационной комиссии в баллах: низкий – 1, средний – 2, выше среднего – 3, высокий – 4. Оценка по каждому из отобранных признаков устанавливается каждым экспертом и заносится в регистрационную форму. Усреднение оценок экспертов может производиться как на стадии выставления баллов, так и после расчета оценки совокупности деловых качеств. В первом случае рассчитывается средняя арифметическая балла по каждому признаку, во втором – средняя арифметическая оценок совокупности деловых качеств, выведенных экспертами.

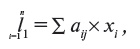
Оценка всей совокупности деловых качеств производится путем суммирования оценок признаков, умноженных на их удельную значимость, и может быть выражена формулой:

Иллюстрация к книге — Управление персоналом: учебное пособие [i_047.jpg]

где i – порядковый номер любого признака деловых качеств;


n – число признаков;


aij – j-й уровень i-го признака у аттестуемого работника (в баллах);


хi – удельная значимость i-го признака в общей оценке деловых качеств (в долях единицы).


При проведении аттестации могут использоваться различного вида регистрирующие документы, использоваться компьютеры, индивидуальные наборы показателей и т. п. Сейчас рамки самостоятельности фирм в проведении аттестации ограничены только трудовым законодательством, поэтому достаточно часто наблюдается волюнтаризм, аттестация используется в качестве прикрытия для освобождения от неугодных сотрудников. Гласность документов по организации аттестации, их глубокая проработка и соответствие законам о труде позволяет сделать аттестацию действенным средством развития коллектива и каждого работника, а не психотравмирующим мероприятием.

Полезным методическим материалом по организации аттестации сотрудников являются «Методические рекомендации по совершенствованию организации заработной платы работников учреждений, организаций и предприятий, находящихся на бюджетном финансировании, на основе применения Единой тарифной сетки оплаты труда» (приложение к постановлению Минтруда России от 11 ноября 1992 г. № 32) и «Основные положения о порядке проведения аттестации служащих учреждений, организаций и предприятий, находящихся на бюджетном финансировании», утвержденных Постановлением Минтруда и Минюста России от 23 октября 1992 г. № 27. Последний документ содержит приложение «Основные подходы к оценке деловых качеств и квалификации работника при установлении разряда оплаты, предусмотренного ЕТС».

На подходы и организацию процесса аттестации работников существенно влияют элементы корпоративной и национальной культуры. В крупных японских фирмах, где воспроизводится дух сотрудничества, причастности, практикуется патернализм со стороны предприятия, система пожизненного найма, особенно ценятся высокая квалификация в сочетании с широким профессионализмом и контекстуальными навыками, способность к сотрудничеству, качество труда. В США с их духом индивидуализма, соперничества, стремлением к личному успеху зачастую выше всего ценится вклад работника в достижение конечного результата (прибыли) фирмы.

Американская практика аттестации исключает типизацию процедур этого процесса, ориентирована на индивидуальные оценки, периодичность тоже разная на разных предприятиях, в среднем – 1 раз в год. Но, к примеру, в период реорганизации фирмы Chrysler ее руководитель Ли Якокка проводил аттестацию ежеквартально.

Для установления оценки используются различные методы: опросные листы с закрытыми или полуоткрытыми вопросами, графические шкалы рейтинга работников, анкеты и сравнительные анкеты, методы наблюдения за работниками, особенно в критических ситуациях, методы классификации, попарного сравнения качеств, метод управления по целям [84]. Последний метод связан с постановкой перед сотрудником конкретных измеряемых и развивающих целей, что делается совместно начальником и работником, и последующей оценкой степени достижения целей.

Методы организации и проведения бесед с работниками в процессе их аттестации подбираются с учетом индивидуальности работника, уровня предварительной оценки его качеств и достижений, рейтинга работника.

7.3. Характеристики и показатели работы трудовых коллективов

Приведем пример разработки характеристик и показателей работы членов бригады:

Показатели, повышающие коэффициент трудового участия (КТУ):

1. Высокий уровень выполнения производственных заданий, применение передовых методов труда, выполнение работ по смежным профессиям, высокая трудовая активность, эффективное использование оборудования, оснастки, обеспечивающих более высокую выработку, – повышается до 0,5.

2. Высокое профессиональное мастерство, выражающееся в в более высоком качестве работ, – повышается до 0,25.

3. Руководство звеном, инициатива и предотвращение возможных простоев рабочих и оборудования, помощь и передача опыта товарищам, эффективное использование рабочего времени – повышается до 0, 25.

Показатели, понижающие КТУ:

1. Невыполнение производственных заданий, слабая интенсивность труда, выражающаяся в отставании от общего ритма бригады, неэффективное использование оборудования, инструмента и оснастки – понижается до 0,5.

Вход
Поиск по сайту
Ищем:
Календарь