Книга Теория ограничений Голдратта. Системный подход к непрерывному совершенствованию, страница 56 – Уильям Детмер

Авторы: А Б В Г Д Е Ж З И Й К Л М Н О П Р С Т У Ф Х Ч Ш Ы Э Ю Я
Книги: А Б В Г Д Е Ж З И Й К Л М Н О П Р С Т У Ф Х Ц Ч Ш Щ Ы Э Ю Я
Бесплатная онлайн библиотека LoveRead.ec

Онлайн книга «Теория ограничений Голдратта. Системный подход к непрерывному совершенствованию»

📃 Cтраница 56

Если ваша задача – составная, т. е. нужно добиться одновременного выполнения нескольких условий, то ДП, вероятнее всего, потребуется для разработки последовательности шагов. То же самое можно сказать и о ситуации, когда изначально вы представления не имеете о том, как подойти к решению стоящей задачи. Однако если задача простая и вы точно знаете, как ее нужно решать, ДП не потребуется.

Препятствия – это всего лишь пугающие образы, которые видишь, когда отводишь взгляд от цели.

Хана Мор
Препятствия

Для того чтобы преодолеть барьер, нужно ясно представлять, что именно встретилось вам на пути (рис. 6.2). Если перед вами стоит комплексная задача или граничные условия изначально не определены, вы можете и не знать всех потенциальных трудностей и проблем. В таких случаях понадобятся консультации людей, разбирающихся в ситуации, чтобы выявить как можно больше возможных преград. ДП подходит как для индивидуальной, так и для групповой работы. И если не удалось найти сразу все препятствия, нестрашно: удобство ДП в том, что в ходе анализа готовой диаграммы вы обнаружите упущенное.

Когда готов список препятствий, можно поразмышлять над способами их преодоления. Действие, которое необходимо предпринять, или условие, выполнение которого обязательно для преодоления барьера, обозначается в диаграмме как промежуточная либо тактическая цель (ПЦ).

Иллюстрация к книге — Теория ограничений Голдратта. Системный подход к непрерывному совершенствованию [_301.jpg]
Действия или условия?

Основная задача и тактические цели в дереве перехода могут выражаться как формулировками конкретных действий, так и описанием некоторых условий. Если задача в ДП изначально была сформулирована как действие, то и промежуточные цели в основном тоже будут выражаться действиями, а если задача была описана как некоторое условие, то и ПЦ, как правило, будут условиями (рис. 6.3).

Иллюстрация к книге — Теория ограничений Голдратта. Системный подход к непрерывному совершенствованию [_302.jpg]

Однако формулировку препятствия всегда нужно строить в виде описания условий, ситуации, не используя при этом модальных глаголов долженствования или необходимости. Так, нужно говорить «У нас нет…» вместо «У нас должно быть…».

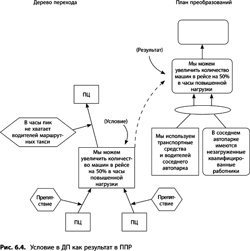
Например, препятствие «На дороге пробка» можно преодолеть действием «Выбрать другую дорогу». А чтобы справиться с затруднением «В часы пик не хватает водителей маршрутных такси», нужно выполнить условие «Мы можем увеличить количество машин в рейсе на 50 % в часы повышенной нагрузки» (рис. 6.4). Не обязательно, чтобы каждая промежуточная цель была выражена действием. Более того, если неясно, как именно достичь промежуточной цели, то она должна быть описана как условие. Конкретные действия под предложенное описание могут быть разработаны позже при завершении плана преобразований (тогда ПЦ-условия из ДП станут результатами в ППР).

Иллюстрация к книге — Теория ограничений Голдратта. Системный подход к непрерывному совершенствованию [_303.jpg]

В классическом дереве перехода ПЦ, располагающиеся в верхней части диаграммы, – это, как правило, условия. А с продвижением вниз появляется больше конкретики. В идеале каждая ветвь в ДП должна оканчиваться конкретным действием или хотя бы условием, которое вы точно знаете, как реализовать.

В принципе, если в готовом ДП большинство тактических целей описаны как условия, а конкретных действий совсем мало, значит, у вас недостаточно знаний и нет четкого понимания первостепенной задачи. В этой ситуации без посторонней помощи не обойтись.

Промежуточные цели

В ходе выполнения главной задачи нам предстоит сделать ряд шагов, пройти несколько этапов, и каждый из них – промежуточная цель.

Альтернативные варианты

Работая над промежуточными целями, вы, скорее всего, обнаружите, что каждое препятствие можно обойти разными способами (рис. 6.5). Т. е. могут появиться одновременно две независимые тактические цели, и достижение любой из них приближает к решению основной задачи. Например, река – препятствие на вашем пути, и перед вами стоит задача перебраться на другой берег. Реку можно пересечь вплавь, на лодке, а можно построить мост – все это разные промежуточные цели. Каждый из этих способов самостоятельно позволяет пройти преграду. Вам предстоит только выбрать один из вариантов ПЦ, руководствуясь четырьмя следующими критериями:

● какой вариант наиболее эффективен;

● какой вариант легче реализовать;

● какой вариант дешевле;

● какой вариант имеет наименьшее количество побочных негативных последствий?


Помните, что при работе с ДП ваша цель не уничтожить возникающее препятствие, а найти способ обойти или нейтрализовать его. Не нужно выпивать реку, чтобы перейти на другой берег, – нужно просто преодолеть водное пространство.

Иллюстрация к книге — Теория ограничений Голдратта. Системный подход к непрерывному совершенствованию [_3041.jpg]
Множественные цели

Иногда для преодоления препятствия требуется одновременно выполнить несколько различных условий или действий (рис. 6.6). Бывает такое достаточно редко и обычно связано с пропуском какого-то препятствия на пути от промежуточной цели к задаче. Если вы столкнулись с подобной ситуацией, перепроверьте линейную логику дерева перехода. Возможно, обнаружится пропущенное препятствие (предшествующее основному или следующее за ним), которое вы до сих пор не принимали во внимание. Тогда необходимость прописывать комплексные тактические цели отпадет, а обычные ПЦ будут изображаться на схеме последовательно.

Иллюстрация к книге — Теория ограничений Голдратта. Системный подход к непрерывному совершенствованию [_3042.jpg]
Хронология событий

При решении сложной проблемы главный и самый трудный вопрос – это «С чего начать?». Ответ находим в ДП. Кроме определения препятствий и способов их преодоления, еще одна важная функция ДП – выстраивание последовательности действий (промежуточных целей) по преодолению препятствий.

К примеру, ваша цель – поступить в вуз. В первую очередь нужно, чтобы вас допустили к вступительным экзаменам (рис. 6.7). Вы должны подать документы в приемную комиссию, предварительно решив, в какой вуз вы хотите поступить. Для этого нужно выяснить, где обучают по выбранной вами специальности. И разумеется, необходимо определиться, кем вы хотите стать и что изучать.

Вход
Поиск по сайту
Ищем:
Календарь