Онлайн книга «Выход из кризиса. Новая парадигма управления людьми, системами и процессами»
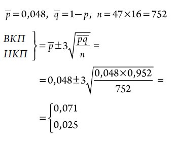
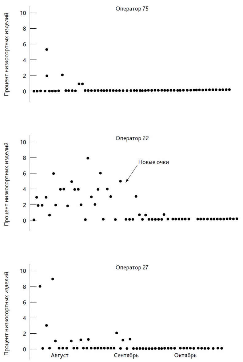
![]() Две точки (два дня) вышли за контрольные пределы. Для первой точки объяснение состояло в том, что ранее участок не подвергался контролю и присутствие наблюдателей лишило операторов спокойствия. Вторая точка выпала из управляемого состояния потому, что нововведение пришлось на понедельник после праздничной недели (4 июля [95]), когда завод не работал (т. е. имел место эффект «утро понедельника», но только в большем масштабе). Шок для менеджмента. Между прочим, вице-президент по управлению был на грани паники, увидев значение 4,8 % для второсортной продукции. Он и не знал, что производит. Он заявил, что компания не могла бы существовать, выпуская 4,8 % продукции ниже первого сорта. Бизнес бы разорился. Он забыл, что завод работает уже 65 лет. ![]() Рис. 45. Карта для процента чулок пониженной сортности. Июнь и июль образуют испытательный период. Преобразования начались в конце июля. Улучшения наступили сразу же, что видно из карты для августа и сентября, и продолжились за пределом диапазона, показанного на карте Единственный учет велся лишь для числа низкосортных чулок на операциях подбора пар и упаковки. От этой точки проследить причины проблем было невозможно. Другими словами, менеджмент не имел понятия, где искать причины. Карты для каждой работницы (рис. 46). Следующим шагом стало обеспечение каждой петельщицы собственной контрольной картой, с тем чтобы она могла из недели в неделю наблюдать собственную производительность. Приведенные ниже комментарии относительно некоторых индивидуальных карт могут представлять интерес для читателя: Оператор 75. Превосходная петельщица. Мастер, ко всеобщей выгоде, внедрил многие методы ее работы в общие процедуры отдела. Оператор 22. Эта петельщица работала в июле намного хуже, чем в июне. Мастер, оценив ее работу, отправил работницу в отдел персонала с предписанием проверить зрение. Оказалось, что предыдущий осмотр проводился восемь лет назад. Окулист обнаружил, что она ослепла на левый глаз, а правый видел на уровне 6/20. Он смог скорректировать зрение на ее правом глазу до уровня 20/20. Качество ее работы сразу же повысилось, а зарплата выросла на 19 центов в час. ![]() Рис. 46. Карты для трех петельщиц Эта история с оператором № 22 заставила менеджмент задуматься о важности введения политики контроля зрения. Они поняли, что такому контролю подвергаются только работницы, проходящих обучение в школе петельщиц при предприятии в течение шести недель. Но если претендентом на вакансию была работница с соответствующим опытом, процедура приема предусматривала лишь выполнение пробной работы, по результатам которой бригадир решал, справится ли она с данной работой. Для постоянных сотрудников обследование не было обязательным. Новая политика состояла в проверке зрения всех петельщиц и в установлении сроков регулярных повторных обследований. Первое обследование показало, что у 12 операторов проблемы со зрением, мешающие им качественно выполнять работу. Оператор 27. Этот оператор показал самые худшие результаты за время испытательного периода. Мастеру даже не пришлось анализировать ее показатели, он просто продемонстрировал ей карту. Ее ответ: «Я работаю здесь пять лет, и впервые услышала, что надо быть поаккуратнее. Я бы могла работать гораздо лучше, если бы это имело значение». Записи, относящиеся к этой работнице в августе и в следующие месяцы, демонстрируют значительное улучшение. Другая петельщица (ее карта не показана), допускающая многочисленные ошибки, выходящие за групповые контрольные пределы, объяснила, что она работает на этой работе пять лет и никто ни разу не объяснил ей смысл данной работы. Она наблюдала за работой остальных и переняла много плохих приемов, все еще не понимая сути работы. Итоговые достижения. Ведение записей стало одним из постоянных улучшений. Уровень дефектности начал снижаться в августе, первом месяце, когда собственно начались изменения, и упал сначала до 2,4 %, затем до 1,4, 1,3, 1,2, 1,1 и, наконец, к февралю опустился до 0,8 % – колоссальное улучшение всего лишь за семь месяцев. Вместо того чтобы выпускать каждую неделю 11 500 пар низкосортных чулок, отдел произвел в феврале меньше 2000. В результате: Возросла доля первосортных чулок. Снизились затраты, увеличилась прибыль. Повысились заработки сотрудников в связи с ростом производительности (между прочим, при меньших усилиях). Потребителям демонстрировались доказательства обеспечения качества – помощь отделу продаж. Резко снизилось число рекламаций. Чистая стоимость программы была близка к нулю. Увеличилось число контролеров, но некоторые виды 100 %-ного контроля были упразднены из-за ненадобности. Карты вела одна секретарша. Дополнительных штатных единиц не потребовалось. Напоминаю читателям, что улучшения были сделаны силами тех же самых людей и не потребовали нового оборудования. Глава 13
Разочарование в некоторых «замечательных» идеях Цель замечательна, но метод безумен. Приписывается отчету меньшинства (республиканского) в Объединенном экономическом комитете, Wall Street Journal, 15 March 1977 Для каждой проблемы существует решение: простое, изящное и неверное. Реклама компании Mobil Oil, 1972 г. (Возможно, заимствовано у Х. Менкена, который сказал: «Для каждого сложного вопроса существует простой ответ, и он неверен».) – Цит. по Business Week, 21 April 1980 Основные принципы, применяемые здесь. Примеры, приведенные в этой книге, свидетельствуют о непонимании людьми четырех основополагающих принципов: Несколько точек в группе должны находиться выше среднего показателя группы. Не все точки будут лежать на средней линии (за исключением редких совпадений). Редко когда состояние статистической управляемости сопровождается вариациями качества и количества, однако скачки точек вверх и вниз удовлетворяют критерию случайности. Другими словами, вариации стабильны. Контролируемая характеристика качества стабильна, постоянна; она воспроизводится час за часом (глава 11). Ответственность за уменьшение вариаций и за более подходящие значение точки настройки почти целиком лежит на менеджменте. |
![Иллюстрация к книге — Выход из кризиса. Новая парадигма управления людьми, системами и процессами [i_070.jpg] Иллюстрация к книге — Выход из кризиса. Новая парадигма управления людьми, системами и процессами [i_070.jpg]](img/book_covers/065/65974/i_070.jpg)
![Иллюстрация к книге — Выход из кризиса. Новая парадигма управления людьми, системами и процессами [i_071.jpg] Иллюстрация к книге — Выход из кризиса. Новая парадигма управления людьми, системами и процессами [i_071.jpg]](img/book_covers/065/65974/i_071.jpg)
![Иллюстрация к книге — Выход из кризиса. Новая парадигма управления людьми, системами и процессами [i_072.jpg] Иллюстрация к книге — Выход из кризиса. Новая парадигма управления людьми, системами и процессами [i_072.jpg]](img/book_covers/065/65974/i_072.jpg)