Онлайн книга «Выход из кризиса. Новая парадигма управления людьми, системами и процессами»
|
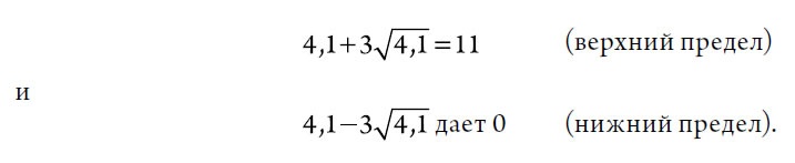
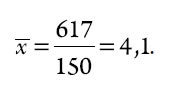
1. Примерно в 25 долл. обойдутся поиски пропавшей упаковки на площадке или определение местонахождения грузовика (находящегося в пути) с целью обнаружения пропажи. 2. В среднем 15 долл. будет стоить отослать водителя обратно к отправителю за недостающей упаковкой. 3. В 10 долл. обойдется отдельное размещение и хранение во время поисков 9 упаковок. 4. Если упаковка не будет найдена, то отправитель может на законном основании подать рекламацию. Перевозчик единолично отвечает за 10-ю упаковку. Ее стоимость может варьироваться от 10 долл. до 1000 долл. или более. Очевидно, что ошибка № 1 может быть дорогостоящей. Любая из 7 ошибок гарантирует в среднем потерю 50 долл. Всего было зарегистрировано 617 ошибок, ущерб составил 31 000 долл. только по одним рекламациям. Умножаем эту цифру на 20, поскольку у нас 20 терминалов, и получаем полные потери от 7 ошибок 620 000 долл. (Здесь не учтены расходы на поиски и управленческие расходы.) ![]() В течение года в компании работало 150 водителей. На рис. 43 показано распределение водителей по числу ошибок, все 7 типов ошибок объединены. ![]() Рис. 43. Распределение водителей по числу ошибок, все 7 типов ошибок объединены Представим механизм случайного распределения ошибок по водителям в виде большой чаши с тщательно перемешанными черными и белыми бусинами. Каждый водитель делает выборку объемом около 1000 или более бусин (число ездок, которые в среднем водитель совершает за год) и высыпает их обратно для перемешивания. Полное число ошибок на рис. 43 равно 617, и у нас 150 водителей. Оценка для среднего числа ошибок на одного водителя имеет следующий вид: ![]() Верхний и нижний контрольные пределы рассчитываются как ![]() Верхний предел означает, что водитель, сделавший больше 11 ошибок за год, не принадлежит системе. Он представляет собой особую причину потерь. Водители делятся на две группы: А. Водители, совершившие больше 11 ошибок. Б. Водители, сделавшие 11 или меньше ошибок. Что мы узнали с помощью этой простой статистической модели? 1. Семь водителей, сделавших более 11 ошибок, ответственны за 112/617, или за 18 %, всех ошибок. 2. Водители, допустившие менее 11 ошибок, демонстрируют потери, вызванные самой системой. Они и составляют систему и ответственны за 82 % ошибок (100 – 18). Проблемы, связанные с людьми, не бывают простыми. Менеджменту следовало подождать с критикой водителей, принадлежащих к группе А, выяснив сначала, не работали ли эти водители на сложных или необычайно длинных маршрутах. Как оказалось, дело так и обстояло. Из этого примера мы можем извлечь важный урок в сфере администрирования. Вышеупомянутая компания посылала каждому водителю, совершившему ошибку, письма-предупреждения. Неважно, допустил ли он одну ошибку за год или это была его 15-я ошибка: содержание письма не менялось. Письмо, посылаемое водителю из группы Б, деморализует: водитель понимает – его винят за ошибки, порожденные системой. Здесь нужно на минутку остановиться и призадуматься: а что думает о менеджменте водитель, уже получивший 15 совершенно одинаковых предупреждений? И что должен думать тот водитель, который за исследуемый период допустил только одну-две ошибки, и тот, кто работал безупречно или провинился один раз за предшествующие шесть месяцев? Он получает письмо того же содержания, что и человек, сделавший 15 ошибок за исследуемый промежуток времени. Какое мнение он составит о менеджменте? Слушатель моего семинара заметил, что в его родном городе полицейский, на которого поступает жалоба, получает одно и то же письмо-предупреждение, независимо от числа обращений с жалобами: единственная она за годы или 10-я за несколько недель. Хороший ли это менеджмент? Я полагаю, что каждый клиент транспортных компаний, зная способ решения своей проблемы, должен поделиться этими знаниями с компанией, чтобы помочь ей уменьшить число ошибок. Ошибки обходятся потребителю дороже, чем перевозчику. Вот мои предложения. Билл, у тебя есть двое ребят, которые постоянно суют нос куда не следует, наблюдая за водителями и делая всякие заметки. Они записывают маршруты, по которым движутся автомобили, следят, сколько времени тратят водители на поиск места для парковки и на перекус. Наверняка эти ребята могут принести пользу на другой работе. Так, некоторые погрузочные площадки находятся под открытым небом. Водитель пытается разобраться в накладной на ветру, под дождем, снегом и при плохом освещении. Пошли этих двух парней к потребителям, пусть они убедят их сделать навес над площадкой, провести реконструкцию освещения. Я полагаю, что отправители могли бы отделять одну партию груза от другой ленточками, или оставлять между ними проходы, или проводить мелом разделительную линию на полу, чтобы водитель не перепутал партии. Я полагаю, что клиентам следовало бы больше заботиться о том, чтобы накладные на отгрузку были заполнены разборчивым почерком. Пример 3. У мелкого производителя обуви были проблемы с бесперебойной работой машины по пошиву, аренда которой стоила весьма дорого. Операторы тратили массу времени на повторную заправку нитей в машину, что было серьезной потерей. Ключевым моментом оказалась общность проблемы для всех машин и всех операторов. Проведенные испытания показали, что причиной проблемы были некачественные нитки, которые владелец мастерской купил, поддавшись соблазну сэкономить. Потери из-за простоя оборудования превысили мнимую выгоду от покупки негодных ниток в сотни раз. Выгодная цена на нитки оказалась дорогостоящей ловушкой. Это пример того, как мы обираем себя, когда соблазняемся низкой ценой, не думая о качестве и производительности. Более качественные нитки устранили проблему. Провести это изменение было под силу лишь менеджменту. Операторы не могли уйти с работы и купить нитки получше, даже если бы догадались, в чем проблема. Они работают внутри системы. Нитки были также ее частью. |
![Иллюстрация к книге — Выход из кризиса. Новая парадигма управления людьми, системами и процессами [i_065.jpg] Иллюстрация к книге — Выход из кризиса. Новая парадигма управления людьми, системами и процессами [i_065.jpg]](img/book_covers/065/65974/i_065.jpg)
![Иллюстрация к книге — Выход из кризиса. Новая парадигма управления людьми, системами и процессами [i_066.jpg] Иллюстрация к книге — Выход из кризиса. Новая парадигма управления людьми, системами и процессами [i_066.jpg]](img/book_covers/065/65974/i_066.jpg)
![Иллюстрация к книге — Выход из кризиса. Новая парадигма управления людьми, системами и процессами [i_067.jpg] Иллюстрация к книге — Выход из кризиса. Новая парадигма управления людьми, системами и процессами [i_067.jpg]](img/book_covers/065/65974/i_067.jpg)
![Иллюстрация к книге — Выход из кризиса. Новая парадигма управления людьми, системами и процессами [i_068.jpg] Иллюстрация к книге — Выход из кризиса. Новая парадигма управления людьми, системами и процессами [i_068.jpg]](img/book_covers/065/65974/i_068.jpg)