Книга Продажа товаров и услуг по методу бережливого производства, страница 50 – Джеймс Вумек, Дэниел Джонс

Авторы: А Б В Г Д Е Ж З И Й К Л М Н О П Р С Т У Ф Х Ч Ш Ы Э Ю Я
Книги: А Б В Г Д Е Ж З И Й К Л М Н О П Р С Т У Ф Х Ц Ч Ш Щ Ы Э Ю Я
Бесплатная онлайн библиотека LoveRead.ec

Онлайн книга «Продажа товаров и услуг по методу бережливого производства»

📃 Cтраница 50

В случае успеха этой инициативы служащие Big Box активно поддержат появление магазинов новых форматов и создание такой системы снабжения, которая способна обслуживать каждый из них, включая новый формат городского магазина, представляющий собой нечто среднее между районным магазином и расположенным на окраине магазином-складом. Это последнее усилие в процессе бережливой трансформации, на которую, по всей видимости, уйдет не менее четырех лет с момента завершения исходного анализа.

Устойчивое бережливое лидерство

Только что мы рассмотрели пример серьезного преобразования, связанного с применением принципов бережливого потребления в компаниях, ориентированных на массовое потребление. Он соответствует процессу кайкаку (революционному этапу) при трансформации производственной системы, о которой мы говорили в «Бережливом производстве», и может принести потребителю и поставщику большое удовлетворение.

Однако в жизни эволюция происходит гораздо чаще, чем революция. А эволюция большинства потоков потребления и обеспечения отличается той грустной особенностью, что быстро сменяется регрессией к исходному уровню эффективности массового потребления. И нетрудно понять, почему: никто не отвечает или не заботится о решении весьма прозаичной, но жизненно важной задачи постоянного поддержания и непрерывного совершенствования всех потоков потребления и обеспечения.

Чтобы переломить эту естественную тенденцию, нам надо ввести еще одну новую должность для тех, кто будет сотрудничать с командами по анализу процессов и по трансформации – это должность менеджера бережливой компании, каждодневно контролирующего все важнейшие потоки потребления и обеспечения. Им мог бы стать линейный руководитель компании, отвечающий за данную продукцию (это решение было бы идеальным), который получал бы помощь по техническим вопросам от отдела совершенствования процессов. Или же им мог бы стать кто-нибудь из этого же отдела, кому можно поручить следить за всеми потоками создания ценности. Его главной задачей будет постоянно прогуливаться вдоль потоков потребления и обеспечения, обнаруживать сдвиги в предпочтениях потребителей, обновлять и вывешивать для ознакомления карту текущего состояния, а также оценивать эффективность и вести соответствующий учет. Периодически ему придется также возглавлять команду по совершенствованию процесса, привлекая к этой работе всех, кто имеет к ней отношение. Задача этой команды – восстановить первоначальный уровень эффективности потока или, что было бы намного лучше, его повысить. Короче говоря, кто-то должен отвечать за то, чтобы у компании был «план для каждого процесса», точно так же, как у менеджеров Toyota есть «план для каждой детали», используемой при сборке автомобилей Toyota {86}, равно как и план для каждого работающего в этой фирме сотрудника.

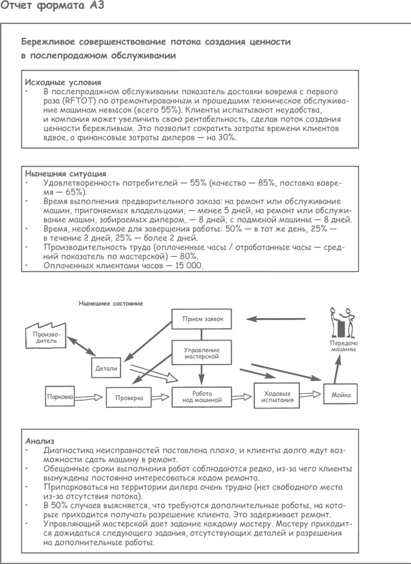
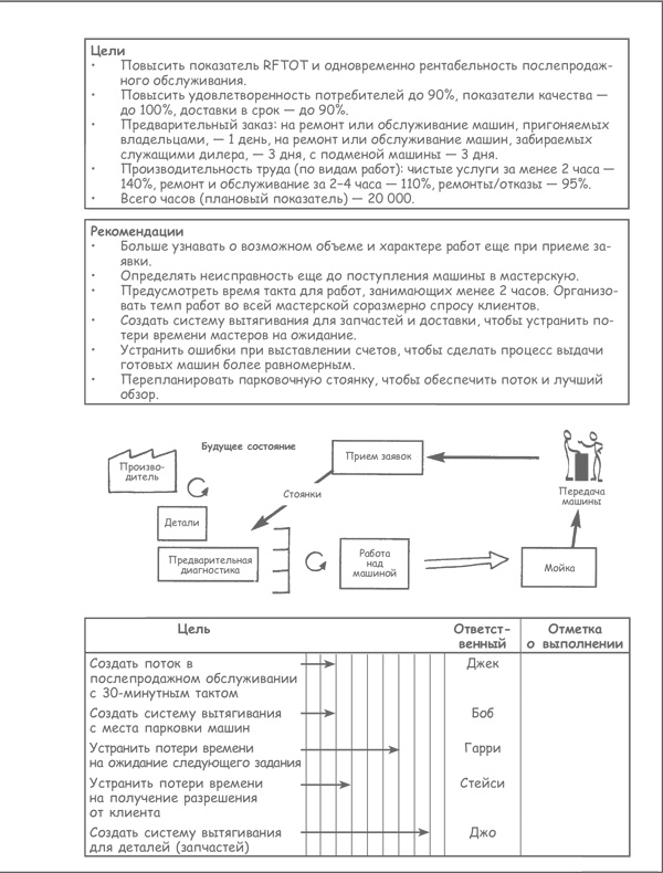
Жизненно важный инструмент достижения этой цели – разработанный в Toyota много лет назад отчет формата А3, в котором команда менеджмента определяет наиважнейшую проблему обеспечения и потребления и на основе предварительной прогулки вдоль потока создания ценности составляет карту его текущего состояния, отражающую вклад каждого участника. Задача состоит в том, чтобы описать проблему, обусловившую нынешнее состояние процесса обеспечения, предполагаемое будущее состояние, которое позволит эту проблему устранить, определить конкретные задания по осуществлению перемен, а также точные сроки начала и завершения. Затем вся эта информация излагается на одной странице бумаги формата А3, которую можно вывесить для показа всем имеющим отношение к процессу.

Ниже вы найдете отчет формата А3, составленный нами для автосервиса, о котором мы говорили в главе 4.

Иллюстрация к книге — Продажа товаров и услуг по методу бережливого производства [i_032.jpg]
Иллюстрация к книге — Продажа товаров и услуг по методу бережливого производства [i_033.jpg]

Конечно, это всего лишь визуальный вариант «планируй, делай, проверяй, воздействуй» {87}, который Toyota слегка модифицировала и превратила в «анализируй, осуществляй, обдумай, корректируй». Однако есть одно существенное отличие: текущее состояние и план улучшений – это не секретные знания специалиста по качеству или по процессам. Напротив, эти знания – общее достояние, потому что они приобретены благодаря коллективному наблюдению за нынешним процессом, и план улучшений разрабатывается и реализуется у всех на виду.

От простых проблем с легкими решениями к сложным проблемам, у которых нет решения

Только что мы рассмотрели роль бережливого менеджера, работа которого состоит в том, чтобы прислушиваться к потребителю, выяснять, в какой ценности он действительно нуждается, и затем создавать новые процессы потребления и обеспечения, позволяющие потребителю получить желаемую ценность. Если проблемы организации просты, трансформация будет легкой. Однако в большинстве случаев требуется запастись упорством и решимостью.

Но кто возглавит преобразования, если сложные потоки создания ценности, позволяющие решить сложные проблемы потребителей, охватывают сразу несколько компаний? В этих случаях управление активами децентрализовано, и их могут использовать для производства и не того, что нужно, и не там, где нужно. И кто откроет совершенно новые возможности для потребителей, вероятно, опробовав новые бизнес-модели, если ни одна из уже существующих на самом деле не решает их проблем? Ответить на этот вопрос мы попытаемся в следующей главе.

Глава 9
Предоставьте мне решение, которое я действительно хочу: роль бережливого предпринимателя

До сих пор мы рассматривали в основном простые проблемы потребителя. Они решаются приобретением одного-двух товаров или получением несложной услуги – спокойным ремонтом автомашины, покупкой подходящей пары обуви в близлежащем магазине в удобное время, приобретением всех необходимых продуктов как раз тогда, когда они действительно нужны.

Но многие проблемы весьма сложные, а их решение требует интеграции нескольких товаров в единую систему. Нередко дело затрудняется, так как предусматривается использование активов, принадлежащих разным компаниям. В результате потребители не имеют возможности получить решения, в которых нуждаются, никто не предлагает им то, о чем они действительно мечтают.

Вход
Поиск по сайту
Ищем:
Календарь