Онлайн книга «Искусство управления IT-проектами»
|
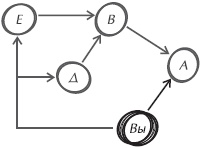
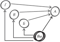
Использование влияния (атака с флангов) Вместо того чтобы убедить А, полагаясь лишь на собственное влияние, заручитесь поддержкой других людей из вашей организации, чтобы они озвучили те же доводы и мнения. Тщательно подберите тех, кто имеет наибольшее влияние на А. Если вы чувствуете слабость собственного влияния, возможно, нужно привлечь на помощь сразу нескольких людей. В военной терминологии это называется атакой с фланга. Вместо удара в лоб, добейтесь преимущества, зайдя на цель со стороны. Тогда А придется считаться не только с вашими доводами, но и с аргументами, поступившими от одной или нескольких других влиятельных личностей. Когда подобные доводы поступят от людей, имеющих равное с А или более высокое положение, отклонить их будет намного сложнее. (Тем не менее будьте осмотрительны, заручаясь мнением людей, которые занимают более высокое положение, чем А, в его отсутствие. Это может быть воспринято как нарушение субординации и попытка подорвать авторитет А. Все зависит от порядков, сложившихся в организации, и от характера самого А.) Дополнительно эти действия могут сочетаться с непосредственным запросом (как показано на рис. 16.6.). Другие возможные варианты включают способы использования требуемого вами влияния. Возможно, в присутствии Б, В и Г не возникнет необходимости или даже вообще не придется вести с А разговор по рассматриваемому вопросу. Поскольку вы пользуетесь их благоприятным мнением, можете переговорить с ними и обратиться к А со следующей фразой: «Я думаю, нам нужно исключить данную функцию. Я поговорил с Б, В и Г, и все они согласны со мной по этому вопросу». Конечно же, следует как можно точнее передать все ими сказанное и всегда стараться уладить вопрос в присутствии этих людей (намеренно возвращаясь к предыдущему разговору). ![]() Рис. 16.6. Атака с флангов Многоступенчатое влияние Когда вы можете вступить в контакт с нужными людьми, опуститесь на одну ступень вниз по цепочке влияния или по иерархической лестнице. Если В – единственный, к кому может прислушаться А, но вы не в состоянии добиться аудиенции В, найдите людей, имеющих наибольшее влияние на В. Затем вступите в контакт с ними и изложите суть своего вопроса. С этой позиции вы можете двинуться дальше, до тех пор, пока ваше влияние не достигнет нужной цели (рис. 16.7). ![]() Рис. 16.7. Многоступенчатое влияние Косвенное влияние В некоторых случаях лучше всего оказать влияние на власть предержащих путем запуска какого-то механизма, оставаясь при этом за сценой. Возможно, А находится двумя и более ступенями выше в вашей организационно-штатной структуре, и он может негативно отреагировать на прямое обращение к нему людей вашего уровня. Или же вы просто не нравитесь А, или он в данный момент на вас за что-то обижен (и вы думаете, что он не сможет отнестись к вам объективно). В подобной ситуации следует заручиться поддержкой другого человека, чтобы он сделал запрос за вас. В этой роли может выступить ваш непосредственный начальник, коллега по команде или работающий на А человек, которому случается оказывать влияние на А в подобных вопросах. Наименее изощренным способом решения задачи является проведение переговоров. Поговорите с В и посмотрите, согласится ли он с вами. Если согласится, спросите, не смог бы он поговорить об этом с А (рис. 16.8). Когда он пойдет к А, он не должен вводить А в заблуждение или лгать: он должен привести доводы, исходя из собственных позиций, поскольку он и в самом деле согласился с вами и с правомерностью вашего запроса. Если затем А потребует переговоров с вами или вы сами чуть позже попросите его аудиенции, ваши доводы будут полновеснее за счет влияния, оказанного В. ![]() Рис. 16.8. Косвенное влияние Совещания На совещаниях создается довольно сложная политическая ситуация. Любой присутствующий может высказаться и задать вопросы, оказывая тем самым такое политическое влияние на дискуссию, которое может осложнить ситуацию. Если предстоит принимать какие-нибудь сложные решения, то до начала совещания нужно обязательно оценить, кто на нем будет присутствовать. Перед совещанием подумайте о том, какие вопросы на нем, скорее всего, будут подняты и какие варианты ответов захочется услышать каждому из присутствующих. Хорошее знание участников позволит дать неплохую оценку ожидаемому развитию событий и самостоятельно ко всему подготовиться. Если такой возможности нет, нужно навести справки. Попросите влиятельных людей, чье присутствие ожидается, поделиться своим мнением до начала совещания. Изучите заранее их отношение к обсуждаемым проблемам и самые важные вопросы, которые могут быть заданы, а затем либо внесите изменения, если это возможно, либо выстройте линию защиты существующего у вас плана. Если вы сами готовите повестку дня, внесите в нее соответствующие изменения. Иногда инициатива собрать совещание может быть единственным средством поднять вопрос применения властных полномочий. Электронная почта для решения сложных и острых проблем вряд ли подойдет. Поводом для совещания может стать определение, что Салли нужно одновременно услышать мнение Боба и Майка, дабы убедиться, что к вашим рекомендациям стоит прислушаться. Эффективное проведение совещаний является своего рода искусством (см. главу 10), но в данный момент нужно уяснить, что чем лучше вы подготовитесь к ответам на возможные вопросы и к предстоящим дебатам, тем легче будет вести совещание без эксцессов и в нужном для вас направлении (рис. 16.9). ![]() Рис. 16.9. На совещании может возникнуть непредсказуемая политическая ситуация Пускай они думают, что это их идея Изредка бывает так, что на почве чьего-то эгоизма вы можете высадить и прорастить свое собственное зерно. Все происходит примерно так: вы полагаете, что напрямую ваш запрос вряд ли пройдет. Поэтому, как только обнаружится проблема, вы затеваете дискуссию и запрашиваете помощь в поиске решения. Собственных ответов на поставленный вопрос вы не предлагаете, а вместо этого задаете вопросы и расставляете вехи, постепенно подводящие присутствующих к нужному для вас результату. Этот прием, как и всякая подтасовка, легко может привести к неприятным последствиям, тут требуются деликатность и мастерство импровизации, которыми обладают далеко не все. И все же я допускаю, что иногда этот номер вполне может пройти, в особенности с теми начальниками, которые любят считать, что они всегда правы. |
![Иллюстрация к книге — Искусство управления IT-проектами [_59.jpg] Иллюстрация к книге — Искусство управления IT-проектами [_59.jpg]](img/book_covers/051/51818/_59.jpg)
![Иллюстрация к книге — Искусство управления IT-проектами [_60.jpg] Иллюстрация к книге — Искусство управления IT-проектами [_60.jpg]](img/book_covers/051/51818/_60.jpg)
![Иллюстрация к книге — Искусство управления IT-проектами [_61.jpg] Иллюстрация к книге — Искусство управления IT-проектами [_61.jpg]](img/book_covers/051/51818/_61.jpg)
![Иллюстрация к книге — Искусство управления IT-проектами [_62.jpg] Иллюстрация к книге — Искусство управления IT-проектами [_62.jpg]](img/book_covers/051/51818/_62.jpg)