Книга Искусство управления IT-проектами, страница 139 – Скотт Беркун

Авторы: А Б В Г Д Е Ж З И Й К Л М Н О П Р С Т У Ф Х Ч Ш Ы Э Ю Я
Книги: А Б В Г Д Е Ж З И Й К Л М Н О П Р С Т У Ф Х Ц Ч Ш Щ Ы Э Ю Я
Бесплатная онлайн библиотека LoveRead.ec

Онлайн книга «Искусство управления IT-проектами»

📃 Cтраница 139

Обладает ли кто-нибудь нужными вам полномочиями? Может быть, запрашиваемые ресурсы просто недоступны. Возможно, все они брошены на решение другой задачи (и не могут быть перераспределены), или же организация вообще не располагает подобными ресурсами. Если вы запрашиваете что-либо, что не вписывается в возможности организации, будьте готовы привести абсолютно неотразимые доводы. Разделите один крупный запрос на ряд мелких и расположите их по приоритетам. Возможно, эти мелкие запросы будут удовлетворены решениями разных людей или последовательно, в течение некоторого времени.

Удавалось ли ранее получать подобную поддержку? Обратитесь к уже имеющемуся опыту в получении подобных полномочий. Что было в предыдущих случаях? Чего удалось добиться, а чего нет? Если опыт ведения подобной политической игры отсутствует, нужно найти кого-нибудь, у кого он есть, и попросить дать дельный совет. В противном случае шансы на успех не будут стопроцентными: кто бы ни обладал искомой властью, он мог уже пообщаться с людьми, которые добиваются того же самого, что и вы, что заранее ставит вас в невыгодное положение.

Насколько удачными были попытки других заручиться такого же рода поддержкой у этого человека? Если никому еще не удавалось убедить руководителя команды изменить методологию разработки продукта, готовьтесь к тому, что вам придется быть первопроходцем. И наоборот, если вы пытаетесь пойти по чьим-то стопам, выясните, как им это удалось, и изучите их опыт.

Насколько сильны ваши доводы? Бывали времена, когда на чашу весов приходилось класть всю свою репутацию. Я был настолько убежден в своей правоте, что использовал всю меру своей ответственности, чтобы убедить людей в значимости своего запроса. А иной раз я не был столь же уверен в важности своего запроса и выстраивал свои доводы под более подходящим углом. Разберитесь со своей позицией и реальным отношением к запрашиваемым ресурсам. Приведите в порядок имеющиеся доводы, расположив их по убедительности, сделайте упор на самые сильные из них.

Какие подходы или приемы общения могут сработать наилучшим образом? Может быть, ворвавшись в чей-то офис и заявив: «Мне надо то-то и то-то», вы скорее добьетесь желаемого результата, чем накатав справку на десяти страницах или подготовив какую-нибудь презентацию? Здесь не существует строгих правил: следует учесть порядки, установившиеся в команде и личности участников событий. Что вы подметили за предыдущий период работы?

Кто еще претендует на получение тех же ресурсов? Иногда совершенно ясно, кто будет претендовать на те же ресурсы. Бюджетные средства всегда ограничены и распределяются вашим начальством между равными вам по положению. Если у вас сложились хорошие взаимоотношения, то можно собраться всем коллегам и обсудить различные мнения и доводы, постаравшись совместными усилиями выбрать лучший для команды вариант (вообще-то вести подобный разговор должен ваш общий руководитель, но если он этого не делает, возьмите все на себя). Если взаимоотношения оставляют желать лучшего, нужно рассчитывать на собственные силы. Подумайте, какими могут быть доводы ваших конкурентов, и как можно объективнее оцените их в сравнении с вашими. И, наконец подумайте, как другие будут воспринимать ваш образ действий. Ими овладеет чувство расстройства? Злости? Они почувствуют, что вы их обскакали? Пресекайте подобные явления на корню. Переговорите, по возможности, со всеми заинтересованными людьми или выставьте свои доводы таким образом, чтобы свести к минимуму негативную реакцию.

Стоит ли вообще ломать копья? Признайтесь себе в том, что нужные ресурсы у вас уже есть. Использование собственного влияния и других приемов политической борьбы будут стоить вам времени, достойного лучшего применения. Поймите, что ваша задача – максимально эффективно использовать имеющиеся ресурсы. Вы можете, к примеру, знать, что существует куда более важный запрос, необходимость в удовлетворении которого появится в ближайшем будущем, и может быть стоит приберечь свою энергию до лучших времен.

Вам может навредить ваша неосведомленность. Всегда нужно понимать, что существуют такие уровни власти и политики, которые не видны с вашей колокольни. Чем крупнее организация, тем актуальнее это утверждение. Выше вас на два или три уровня (при многоуровневой системе управления) может вестись целый ряд сражений и споров вокруг проблем, о которых вы даже не подозреваете. Ваши коллеги, перед которыми поставлены другие цели, используют собственное влияние на тех же обладателей властных полномочий, что и вы. Подумайте, что может твориться выше и вокруг вас, и поищите такие источники информации, которые могут расширить ваш кругозор.

Тактика влияния на власть предержащих

После всесторонней оценки обстановки наступает время действовать. Для подхода к организационной политике и использования в своих целях властных полномочий, принадлежащих другим людям, существуют весьма простые тактические приемы. Описываемая здесь тактика является наипростейшей и наиболее распространенной; затем последуют ссылки и на другие политические методы.

Непосредственный запрос

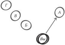
Непосредственный запрос – это самое простое из всех возможных действий: вы обращаетесь к обладателю необходимых вам властных полномочий и высказываете ему свою просьбу. В зависимости от избранного вами подхода и приема общения (вернитесь к предыдущему перечню) вы можете обставить все в форме простого разговора, послать запрос по электронной почте или высказать все на совещании, собранном по этому поводу. Чем формальнее вы подойдете к запросу, тем больше шансов на то, что в его обсуждении будут участвовать другие. Чем меньше будет формализма, тем прямее может быть как разговор, так и сам запрос. На рис. 16.5 буквой А обозначен человек, обладающий необходимой вам властью, а буквами Б, В и Г – другие люди из вашей команды.

Иллюстрация к книге — Искусство управления IT-проектами [_58.jpg]

Рис. 16.5. Непосредственный запрос

Неформальная беседа

Неформальная беседа – это общий вариант непосредственного запроса. Если вы и ваш коллега Б претендуете на одни и те же ресурсы и ведете общее обсуждение данного вопроса, вы просите А встретиться с вами обоими и решить вопрос коллективно. Команда, имеющая четко поставленные цели и хорошо организованное взаимодействие, решает подобные вопросы естественным и неформальным образом. Люди доверяют друг другу, работая над воплощением в жизнь общих проектных планов, и охотно идут на справедливые уступки, даже если при этом приходится поступаться собственной властью или полномочиями. Сильные лидеры и руководители поощряют подобное поведение, поскольку оно сокращает потребности в их вмешательстве. Команда со временем привыкает к решению проблем собственными силами (например, привыкает воспроизводить точку зрения руководителя А даже в его отсутствие) и привлекает А только в том случае, если сложность решения действительно требует участия руководителя.

Реклама
Вход
Поиск по сайту
Ищем:
Календарь