Онлайн книга «Время переменных. Математический анализ в безумном мире»
|
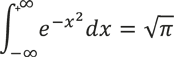
– Средний рост взрослого мужчины в США составляет 178 см, – начал я, – а стандартное отклонение – 9 см. Как много мужчин по нашим ожиданиям могут при этом иметь рост, по крайней мере, 2,14 м? ![]() Как и очень многое в статистике, эта задача основывается на пологом уклоне кривой нормального распределения, также известной как колоколообразная кривая [64]. Ее широко распространенная форма описывает ошибки в измерениях, диффузные частицы, показатели IQ, количество осадков, результаты большого количества подбрасываний монеты, а также, с некоторыми оговорками, рост человека. Итак, начинаем. Шаг 1: 2,14 м – это 214 см. Шаг 2: Это на 36 см больше среднего значения. Шаг 3: Это четыре стандартных отклонения от среднего роста. Шаг 4: Мы обращаемся к таблице в конце учебника и узнаем, что четыре стандартных отклонения соответствуют процентилю… Хм, в действительности таблица обрывается на 3,5 стандартных отклонениях. Упс! Шаг 5: Извинившись, я вытаскиваю ноутбук и запускаю Excel, который может провести нас за край таблицы. Наш ответ – 0,999968. Другими словами, люди ростом 2,14 м встречаются в США с 99,9968 процентиля – приблизительно 1 на 30 000 человек. Мы анализировали этот результат – иначе говоря, спорили об относительных преимуществах Шакила О'Нила [65] по сравнению с Яо Мином [66], – когда меня вдруг осенило, что без всякого плана или предварительного намерения я провел два следующих друг за другом и очень разных урока по одной и той же теме. Видите ли, кривая нормального распределения, которую мы используем, выглядит так: ![]() Это просто сглаженная версия графика функции: она сдвинута и приплюснута, но в душе остается той же самой функцией. Что означает: у нее нет интеграла. И тем не менее мы тут сидим и ее интегрируем. Каждый день. Постоянно. Не обращая никакого внимания на невозможность, вся статистика основывается на интегрировании того, что не может быть проинтегрировано. Каждой части населения (например, тем, чей рост находится в промежутке между 178 см и 188 см) соответствует область под кривой. Природу не волнуют формульные антипроизводные. Таблицы в учебниках, заложенные в Excel формулы, графический калькулятор в рюкзаке Ю Ханга – все эти инструменты позволяют делать хорошие численные приближения. По большей части, это все, что вам нужно. Как подытожил Альберт Эйнштейн, «наши математические затруднения Бога не беспокоят. Он интегрирует эмпирически». ![]() Я стоял у белой доски с маркером в руке. За молнией прозрения, как всегда, последовал медленный, раскатистый гром сожаления. Я хотел распахнуть дверь, которая отделяла кабинет математического анализа от кабинета статистики. Я хотел объяснить, каким дураком я был, покаяться в своем математическом шовинизме. «Абстрактные формулы, – хотел прокричать я, – не обязательно лучше конкретной аппроксимации! Бог интегрирует эмпирически, и эта правда делает нас свободными!» Что удержало меня, кроме того, что этим я поставлю под вопрос свое психическое здоровье или (что примерно то же самое) прерву урок химии мистера Флеминга, это мысль об ухмылке Ю Ханга. «Я же вам говорил! – съязвил бы он. – Калькуляторы умнее математиков!» Не могу сказать за всех представителей моей профессии, но в моем случае я знал, что он был прав. ![]() И снова переместимся во времени, теперь уже в сегодняшний день. Я сижу в моем любимом кафе, потягиваю кофе сильной обжарки и занимаюсь «сбором информации» для книги, которую вы держите в руках (то есть отлыниваю от ее написания), и тут натыкаюсь на интеграл, названный в честь Карла Гаусса, как и многие другие вещи, которых он не открывал: ![]() Кажется, из неберущегося интеграла есть исключение. Если заданная область включает в себя всю цифровую прямую от самого дальнего конца слева до самого дальнего справа, от одного неизмеримого горизонта до его недостижимого зеркального отражения, тогда ответ найти возможно. Это, как ни странно, квадратный корень из π. Скопление причудливых символов (е, π, ∞) немного напоминает мне о тождестве Эйлера eπi + 1 = 0. Таким помешанным на математике ребятам, как я, хочется расцеловать это уравнение от восхищения. Констанс Рид [67] называла его «самой знаменитой формулой в математике»; Тед Чанг [68] описывает «чувство благоговейного восхищения в тот момент, когда прикасаешься к абсолютной истине»; Кит Девлин [69] даже сравнивает уравнение с «сонетом Шекспира, который каким-то образом ухватывает саму сущность любви». ![]() Ничего не могу поделать с собой и задаюсь вопросом: где же восторженные рукоплескания в адрес решения интеграла Гаусса? Я пишу в Twitter: |
![Иллюстрация к книге — Время переменных. Математический анализ в безумном мире [i_393.jpg] Иллюстрация к книге — Время переменных. Математический анализ в безумном мире [i_393.jpg]](img/book_covers/098/98152/i_393.jpg)
![Иллюстрация к книге — Время переменных. Математический анализ в безумном мире [i_394.jpg] Иллюстрация к книге — Время переменных. Математический анализ в безумном мире [i_394.jpg]](img/book_covers/098/98152/i_394.jpg)
![Иллюстрация к книге — Время переменных. Математический анализ в безумном мире [i_395.jpg] Иллюстрация к книге — Время переменных. Математический анализ в безумном мире [i_395.jpg]](img/book_covers/098/98152/i_395.jpg)
![Иллюстрация к книге — Время переменных. Математический анализ в безумном мире [i_396.jpg] Иллюстрация к книге — Время переменных. Математический анализ в безумном мире [i_396.jpg]](img/book_covers/098/98152/i_396.jpg)
![Иллюстрация к книге — Время переменных. Математический анализ в безумном мире [i_397.jpg] Иллюстрация к книге — Время переменных. Математический анализ в безумном мире [i_397.jpg]](img/book_covers/098/98152/i_397.jpg)
![Иллюстрация к книге — Время переменных. Математический анализ в безумном мире [i_398.jpg] Иллюстрация к книге — Время переменных. Математический анализ в безумном мире [i_398.jpg]](img/book_covers/098/98152/i_398.jpg)