Онлайн книга «Невидимая сила. Как работает американская дипломатия»
|
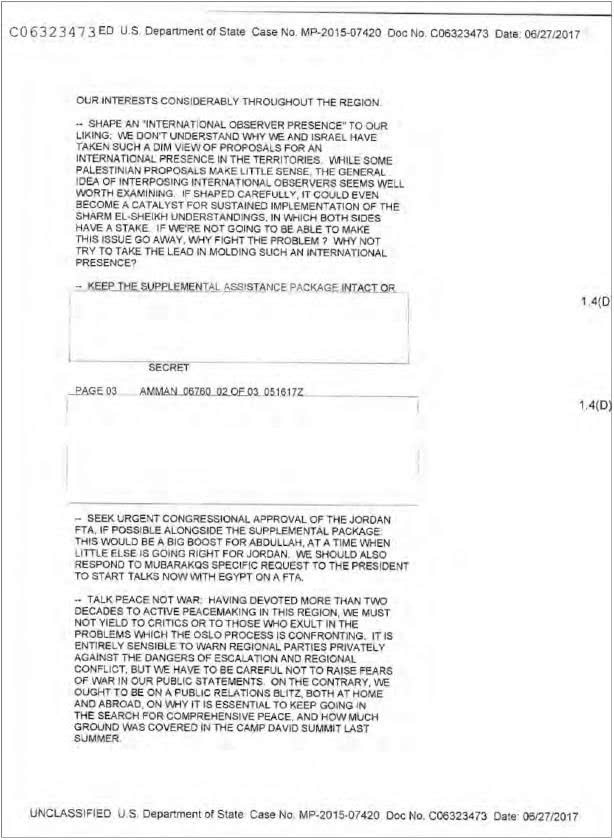
«Разбор обломков кораблекрушения: Чечня и будущее России» (с. 5) ![]() Документ 2. 1995 Москва 883, 11 января 1995 г. «Разбор обломков кораблекрушения: Чечня и будущее России» (с. 6) ![]() Документ 2. 1995 Москва 883, 11 января 1995 г. «Разбор обломков кораблекрушения: Чечня и будущее России» (с. 7) ![]() Документ 2. 1995 Москва 883, 11 января 1995 г. «Разбор обломков кораблекрушения: Чечня и будущее России» (с. 8) ![]() Документ 2. 1995 Москва 883, 11 января 1995 г. «Разбор обломков кораблекрушения: Чечня и будущее России» (с. 9) ![]() Документ 2. 1995 Москва 883, 11 января 1995 г. «Разбор обломков кораблекрушения: Чечня и будущее России» (с. 10) ![]() Документ 2. 1995 Москва 883, 11 января 1995 г. «Разбор обломков кораблекрушения: Чечня и будущее России» (с. 11) ![]() Документ 2. 1995 Москва 883, 11 января 1995 г. «Разбор обломков кораблекрушения: Чечня и будущее России» (с. 12) ![]() Документ 3. 1999 Амман 1059, 7 февраля 1999 г. «Наследие короля Хусейна и будущее Иордании» (с. 1) ![]() Документ 3. 1999 Амман 1059, 7 февраля 1999 г. «Наследие короля Хусейна и будущее Иордании» (с. 2) ![]() Документ 3. 1999 Амман 1059, 7 февраля 1999 г. «Наследие короля Хусейна и будущее Иордании» (с. 3) ![]() Документ 3. 1999 Амман 1059, 7 февраля 1999 г. «Наследие короля Хусейна и будущее Иордании» (с. 4) ![]() Документ 4. 2000 Амман 6760, 5 декабря 2000 г. «Мирный процесс и американская дипломатия: перезагрузка» (с. 1) ![]() Документ 4. 2000 Амман 6760, 5 декабря 2000 г. «Мирный процесс и американская дипломатия: перезагрузка» (с. 2) ![]() Документ 4. 2000 Амман 6760, 5 декабря 2000 г. «Мирный процесс и американская дипломатия: перезагрузка» (с. 3) ![]() Документ 4. 2000 Амман 6760, 5 декабря 2000 г. «Мирный процесс и американская дипломатия: перезагрузка» (с. 4) ![]() Документ 4. 2000 Амман 6760, 5 декабря 2000 г. «Мирный процесс и американская дипломатия: перезагрузка» (с. 5) ![]() Документ 4. 2000 Амман 6760, 5 декабря 2000 г. «Мирный процесс и американская дипломатия: перезагрузка» (с. 6) ![]() Документ 5. Email госсекретарю Кондолизе Райс, 8 февраля 2008 г. «Стратегия для России» (с. 1) ![]() Документ 5. Email госсекретарю Кондолизе Райс, 8 февраля 2008 г. «Стратегия для России» (с. 2) ![]() Документ 5. Email госсекретарю Кондолизе Райс, 8 февраля 2008 г. «Стратегия для России» (с. 3) ![]() Документ 6. Меморандум для госсекретаря Кондолизы Райс, 27 мая 2008 г. «Как вновь завладеть стратегической инициативой в Иране» (с. 1) |
![Иллюстрация к книге — Невидимая сила. Как работает американская дипломатия [i_011.jpg] Иллюстрация к книге — Невидимая сила. Как работает американская дипломатия [i_011.jpg]](img/book_covers/097/97689/i_011.jpg)
![Иллюстрация к книге — Невидимая сила. Как работает американская дипломатия [i_012.jpg] Иллюстрация к книге — Невидимая сила. Как работает американская дипломатия [i_012.jpg]](img/book_covers/097/97689/i_012.jpg)
![Иллюстрация к книге — Невидимая сила. Как работает американская дипломатия [i_013.jpg] Иллюстрация к книге — Невидимая сила. Как работает американская дипломатия [i_013.jpg]](img/book_covers/097/97689/i_013.jpg)
![Иллюстрация к книге — Невидимая сила. Как работает американская дипломатия [i_014.jpg] Иллюстрация к книге — Невидимая сила. Как работает американская дипломатия [i_014.jpg]](img/book_covers/097/97689/i_014.jpg)
![Иллюстрация к книге — Невидимая сила. Как работает американская дипломатия [i_015.jpg] Иллюстрация к книге — Невидимая сила. Как работает американская дипломатия [i_015.jpg]](img/book_covers/097/97689/i_015.jpg)
![Иллюстрация к книге — Невидимая сила. Как работает американская дипломатия [i_016.jpg] Иллюстрация к книге — Невидимая сила. Как работает американская дипломатия [i_016.jpg]](img/book_covers/097/97689/i_016.jpg)
![Иллюстрация к книге — Невидимая сила. Как работает американская дипломатия [i_017.jpg] Иллюстрация к книге — Невидимая сила. Как работает американская дипломатия [i_017.jpg]](img/book_covers/097/97689/i_017.jpg)
![Иллюстрация к книге — Невидимая сила. Как работает американская дипломатия [i_018.jpg] Иллюстрация к книге — Невидимая сила. Как работает американская дипломатия [i_018.jpg]](img/book_covers/097/97689/i_018.jpg)
![Иллюстрация к книге — Невидимая сила. Как работает американская дипломатия [i_019.jpg] Иллюстрация к книге — Невидимая сила. Как работает американская дипломатия [i_019.jpg]](img/book_covers/097/97689/i_019.jpg)
![Иллюстрация к книге — Невидимая сила. Как работает американская дипломатия [i_020.jpg] Иллюстрация к книге — Невидимая сила. Как работает американская дипломатия [i_020.jpg]](img/book_covers/097/97689/i_020.jpg)
![Иллюстрация к книге — Невидимая сила. Как работает американская дипломатия [i_021.jpg] Иллюстрация к книге — Невидимая сила. Как работает американская дипломатия [i_021.jpg]](img/book_covers/097/97689/i_021.jpg)
![Иллюстрация к книге — Невидимая сила. Как работает американская дипломатия [i_022.jpg] Иллюстрация к книге — Невидимая сила. Как работает американская дипломатия [i_022.jpg]](img/book_covers/097/97689/i_022.jpg)
![Иллюстрация к книге — Невидимая сила. Как работает американская дипломатия [i_023.jpg] Иллюстрация к книге — Невидимая сила. Как работает американская дипломатия [i_023.jpg]](img/book_covers/097/97689/i_023.jpg)
![Иллюстрация к книге — Невидимая сила. Как работает американская дипломатия [i_024.jpg] Иллюстрация к книге — Невидимая сила. Как работает американская дипломатия [i_024.jpg]](img/book_covers/097/97689/i_024.jpg)
![Иллюстрация к книге — Невидимая сила. Как работает американская дипломатия [i_025.jpg] Иллюстрация к книге — Невидимая сила. Как работает американская дипломатия [i_025.jpg]](img/book_covers/097/97689/i_025.jpg)
![Иллюстрация к книге — Невидимая сила. Как работает американская дипломатия [i_026.jpg] Иллюстрация к книге — Невидимая сила. Как работает американская дипломатия [i_026.jpg]](img/book_covers/097/97689/i_026.jpg)
![Иллюстрация к книге — Невидимая сила. Как работает американская дипломатия [i_027.jpg] Иллюстрация к книге — Невидимая сила. Как работает американская дипломатия [i_027.jpg]](img/book_covers/097/97689/i_027.jpg)
![Иллюстрация к книге — Невидимая сила. Как работает американская дипломатия [i_028.jpg] Иллюстрация к книге — Невидимая сила. Как работает американская дипломатия [i_028.jpg]](img/book_covers/097/97689/i_028.jpg)
![Иллюстрация к книге — Невидимая сила. Как работает американская дипломатия [i_029.jpg] Иллюстрация к книге — Невидимая сила. Как работает американская дипломатия [i_029.jpg]](img/book_covers/097/97689/i_029.jpg)
![Иллюстрация к книге — Невидимая сила. Как работает американская дипломатия [i_030.jpg] Иллюстрация к книге — Невидимая сила. Как работает американская дипломатия [i_030.jpg]](img/book_covers/097/97689/i_030.jpg)
![Иллюстрация к книге — Невидимая сила. Как работает американская дипломатия [i_031.jpg] Иллюстрация к книге — Невидимая сила. Как работает американская дипломатия [i_031.jpg]](img/book_covers/097/97689/i_031.jpg)