Онлайн книга «Ингредиенты. Странные химические свойства того, что мы едим, пьем и наносим на кожу»
|
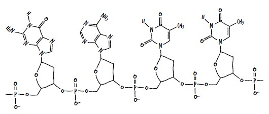
или ПРОЕКТ ВАШЕЙ ЖИЗНИ или СВОБОДЫ ВОЛИ НЕ СУЩЕСТВУЕТ. Как и в случае со всем, что очень активно рекламируется, нам будет полезно оторваться от буклета и посмотреть, что представляет собой ДНК на самом деле. ![]() Вспомните, что линии – это электроны, общие для двух атомов, то есть химические связи. Итак, вы видите, как каждый атом, составляющий ДНК, связан (или не связан) со своими соседями. Знаю, это выглядит запутанно, но есть способ все упростить. Видите повторяющуюся закономерность внизу? Возможно, вы слышали, что это называется основной цепью. Это серия молекул сахара и фосфата: ![]() Так-то лучше. Но мы можем продолжить упрощение. Те штуки, которые присоединяются к сахарам, называются основаниями, и в ДНК их четыре типа: аденин, тимин, гуанин и цитозин. Вы, возможно, знаете их (торжественные фанфары!) как буквы генетического кода, поэтому мы можем сократить их названия до первых букв: А, Т, Г и Ц. Давайте также будем обозначать сахар и фосфаты как С и Ф: ![]() Биологи сводят все к единому потоку букв, и в нашем примере он будет выглядеть как ГАТТАЦЦА. Когда люди говорят, что генетический код состоит из трех миллиардов букв, вот что они имеют в виду: есть три миллиарда букв А, Т, Г и Ц, которые дают клеткам инструкции, как построить себя и вести свою жизнь [86]. Обратите внимание на расположение связей. Фосфаты вступают в реакцию только с сахарами. Буквы связываются только с сахарами, а не с соседними буквами. Ваш геном – это сложная система кодирования, но сам код зависит от того, как взаимодействуют (или нет) различные компоненты друг с другом. Поскольку связи ДНК – это электроны, она не может выполнять свою работу, если эти частицы не находятся в нужных местах. Когда невероятное количество ультрафиолетовых фотонов спустилось с небес на землю и приземлилось на женщину, уснувшую на юге Франции, те из них, которые врезались в электроны ДНК, возбудили некоторые из отрицательно заряженных частиц. (Не забывайте, что возбуждение электронов делает молекулу более склонной к химическим реакциям, как это происходит в случае превитамина D3.) К счастью, в большинстве случаев возбужденные электроны просто возвращаются в спокойное состояние и ДНК остается прежней с химической точки зрения. Это слегка разочаровывает, да? На самом деле это хорошо для здоровья. Даже если вы находитесь на солнце всего несколько минут, вас атакуют миллиарды ультрафиолетовых фотонов в секунду. Если бы большинство или даже некоторые из них оказывали бы постоянное влияние на геном, у нас были бы серьезные проблемы. В очень редких случаях фотон меняет расположение связей в ДНК. Это может выглядеть так: ![]() Видите две буквы Ц? Теперь они слиты вместе, как смещенные позвонки. Вам может показаться, что это не имеет большого значения. В конце концов, в геноме клетки шесть миллиардов других клеток, так какой вред это может причинить? Это может вас убить. В большинстве случаев клетка обнаруживает эту проблему и устраняет ее [87]. Вы продолжаете жить так, будто ничего не произошло. В предыдущей главе мы говорили, что это лучший сценарий. Иногда попытка устранить проблему оказывается безуспешной, и в таком случае клетка совершает самоубийство. Это не лучший, но и не худший сценарий. В самом крайнем случае (такое происходит относительно редко) она неправильно копирует свою ДНК в процессе устранения повреждения или даже деления. Таким образом, последовательность ГАТТАЦЦА может превратиться в ГАТТАТТА. Иными словами, в худшем сценарии может произойти мутация. Появившись, она уже никуда не денется. Тело может обнаружить и исправить слитые буквы Ц, но как только ЦЦ станет, например, ТТ, у организма уже не получится обнаружить и устранить дефект, потому что мутация – это химически здоровая ДНК (хотя в плане информации она таковой не является). Знаю, это кажется странным. В 2012 году газета Morning Sentinel американского города Сентрейлия, сообщила, что Эрик Лайдай, один из членов местной музыкальной группы, принимает наркотики («on drugs»). На самом деле автор статьи хотел сказать, что Эрик играет на барабанах («on drums»). Маленькая опечатка полностью изменила смысл предложения без нарушения правил грамматики и орфографии. Мутации делают то же самое: они изменяют смысл ДНК, не нарушая химические правила. Произошла ли в теле женщины, уснувшей на пляже на шесть часов, мутация? Возможно. Хм-м-м, довольно странно, что в медицинской литературе ничего не сказано о ЕЕ НОВЫХ СУПЕРСИЛАХ. К сожалению, независимо от числа генетических изменений, которые происходят в вашем организме во время лежания под солнцем, вы не начнете светиться ярко-зеленым и не обретете суперспособности. На самом деле большинство мутаций вообще ни к чему не приводят. Только около 1–2 % вашего генома кодирует белки, поэтому, если мутация происходит где-то в другом месте, она, вероятно, будет безвредной. Или, если у вас произойдет изменение в клетке слизистой оболочки кишечника, в этом не будет ничего страшного, потому что она довольно быстро покинет организм вместе с калом. Однако нам известно, что чем больше мутаций происходит в клетке, тем выше вероятность, что она станет злокачественной, поэтому все, что увеличивает естественную частоту таких изменений, включая избыток солнца, является вредным. Давайте сделаем паузу и подведем итоги. Все, о чем мы говорили до сих пор, является частью Моста истины, связывающего солнце с раком кожи. Как и Мост истины, связывающий курение с раком легких, он построен из разных видов кирпичей. Все блоки, о которых мы ранее говорили, являются молекулярными: они показывают, как ультрафиолетовое излучение взаимодействует с молекулами в коже и приводит к раку. Но, как и в случае с курением, такие кирпичи стали использоваться позднее. Сначала Мост истины строился из немолекулярных кирпичей. Давайте рассмотрим несколько из них. |
![Иллюстрация к книге — Ингредиенты. Странные химические свойства того, что мы едим, пьем и наносим на кожу [i_041.jpg] Иллюстрация к книге — Ингредиенты. Странные химические свойства того, что мы едим, пьем и наносим на кожу [i_041.jpg]](img/book_covers/096/96446/i_041.jpg)
![Иллюстрация к книге — Ингредиенты. Странные химические свойства того, что мы едим, пьем и наносим на кожу [i_042.jpg] Иллюстрация к книге — Ингредиенты. Странные химические свойства того, что мы едим, пьем и наносим на кожу [i_042.jpg]](img/book_covers/096/96446/i_042.jpg)
![Иллюстрация к книге — Ингредиенты. Странные химические свойства того, что мы едим, пьем и наносим на кожу [i_043.jpg] Иллюстрация к книге — Ингредиенты. Странные химические свойства того, что мы едим, пьем и наносим на кожу [i_043.jpg]](img/book_covers/096/96446/i_043.jpg)
![Иллюстрация к книге — Ингредиенты. Странные химические свойства того, что мы едим, пьем и наносим на кожу [i_044.jpg] Иллюстрация к книге — Ингредиенты. Странные химические свойства того, что мы едим, пьем и наносим на кожу [i_044.jpg]](img/book_covers/096/96446/i_044.jpg)