Книга Реаниматор культового кино, страница 19 – Дмитрий Мишенин

Авторы: А Б В Г Д Е Ж З И Й К Л М Н О П Р С Т У Ф Х Ч Ш Ы Э Ю Я
Книги: А Б В Г Д Е Ж З И Й К Л М Н О П Р С Т У Ф Х Ц Ч Ш Щ Ы Э Ю Я
Бесплатная онлайн библиотека LoveRead.ec

Онлайн книга «Реаниматор культового кино»

📃 Cтраница 19

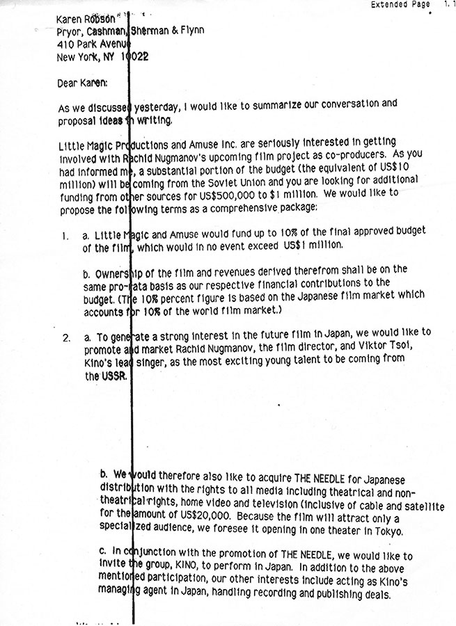
Р.Н.: Факс (копия которого до сих пор хранится у меня и опубликована в интернете) был прислан моему юристу в Нью-Йорке, Карен Робсон, из крупнейшей юридической фирмы на Парк Авеню – Pryor, Cashman, Sherman & Flynn, с которой и велись многосторонние переговоры, помимо меня с Виктором, японской компанией Amuse Inc вместе с их партнером в Америке Little Magic Productions (руководитель Кики Мийяке), Edward Pressman Film Corporation в Лос-Анжелесе и Тони Саффордом, представлявшим тогда New Line Cinema (сейчас он вице-президент кинокомпании «XX Век Фокс»). С руководителями Amuse Inc. я встречался для обсуждения несколько раз, а с Кики и остальными – множество раз. Договор не дошел до подписания по единственной причине – гибели Виктора.

Д.М.: Кики была подругой Кита Ричардса уже тогда? Или еще до этого?

Р.Н.: Да, Кики уже тогда дружила с Китом. Стены ее офиса на 14-й улице были увешаны их совместными, очень милыми, фотографиями.

Дима, еще одна деталь, на которую наткнулся в своих архивах и сразу вспомнил: идея свести меня с Биллом принадлежит не моему юристу Карен Робсон, а Тони Саффорду, директору фестиваля «Сандэнс», который пригласил меня, Виктора и всю нашу банду на фестиваль. Он же тогда был назначен вице-президентом New Line Cinema по закупкам и со-производству, и представлял интересы компании в нашем проекте с Прессманом. Показ «Иглы» в кинотеатре Сан-Франциско для Билла организовала Барбара Катц, ассистент Джорджа Ганда и жена Тони Саффорда.

Д.М.: Поражаюсь твоей уникальной памяти, Рашид.

Р.Н.: Если бы так, Дима. Многие детали стерлись уже, а в них бог, как говаривал великий Мис (ван дер Роэ). Или как пел Майк: «Я забыл больше, чем ты будешь когда-нибудь знать». (Смеется.)

Приложение к Эпизоду II
Иллюстрация к книге — Реаниматор культового кино [i_002.jpg]

Из переписки Д.М. и Р.Н.:

«Дима, вот выправленный перевод блога. Непонятна только самая последняя фраза: «… which he’d picked up for a song in Alma Ata». Буквальный перевод: «… который он подобрал для песни в Алма-Ате». Его я и поставил, но неясно кого (Виктора, Моро или меня) имел в виду Билл, и что за песня? Вероятно, Boris The Spider».


Из персонального блога Билла:


Виктор Цой.

Кто-то задал вопрос о Викторе Цое из группы «Кино». Однажды меня познакомили с Рашидом Нугмановым, молодым казахским режиссером, создателем фильма «Игла» с Виктором Цоем, который был снят в родном городе Рашида Алма-Ате и на Аральском море (точнее то, что было когда-то Аральским морем и стало прообразом мертвой зоны, сквозь которую проходит Кейс в «Распознавании Образов»).

Рашид дал мне одну кассету с «Иглой», а другую – для моего плеера – с записями группы «Кино». Я мгновенно превратился в фаната их музыки и был впечатлен его образом в фильме. Наполовину русский, наполовину кореец, он был невероятно красив и со всей очевидностью относился к боевым искусствам не менее серьезно, чем мы к его музыке. Чрезвычайно харизматичный. Один американский продюсер изъявил свой интерес по поводу совместного советско-американского производства с Цоем в главной роли, и я принялся работать с Рашидом над его сюжетной заявкой. Но когда настало время полностью засесть за работу и ехать в Россию писать сценарий, я был занят своим романом. Не имея такой возможности, но и не желая оставить восхитительно неординарный проект, я завербовал своего друга Джека Вомака. Джек отправился в Россию вместо меня. (Посмотрите его замечательную книгу «Let’s Put The Future Behind Us» («Оставим будущее позади»), чтобы составить представление, что он там обнаружил.) Трагическая смерть Виктора в автомобильной катастрофе (ничего рок-звездного, он не пил и никогда не принимал наркотиков) погубила и сам проект, но к тому времени «Кино» уже стало неотъемлемой частью моих музыкальных пристрастий. Иногда я задумываюсь, куда бы Виктора занесло, останься он жив. Он был невероятно талантлив. Миром художественного сквота в «Распознавании Образов», этой бесконечной вечеринки, элементом особой духовности я обязан воспоминаниям Рашида, музыке «Кино» и опыту Джека.

История Рашида для фильма, который мы так и не сняли, рассказывала о ритуальных войнах банд в Ленинграде параллельного будущего. Я подумал о них, когда увидел первую битву в «Бандах Нью-Йорка». Очень похоже! Вспоминаю Рашида, описывающего крупномасштабные битвы в снежном полночном парке: одна банда вооружена заточенными саперными лопатками, а другая – казацкими саблями. Мы также разрабатывали шестиколесный танк с водяной пушкой, который он подобрал для песни в Алма-Ате.

Иллюстрация к книге — Реаниматор культового кино [i_003.jpg]
Иллюстрация к книге — Реаниматор культового кино [i_004.jpg]

Факс Билла Гибсона.

Иллюстрация к книге — Реаниматор культового кино [i_005.jpg]

Скан титульной страницы сценария «Цитадель смерти» 2 версия

Из воспоминаний Рашида Нугманова: действие происходит в Ленинграде в параллельной реальности. Вся территория СССР охвачена гражданской войной, за исключением «свободного капиталистического города на Неве», где функционирует единственный сохранившийся гражданский аэропорт. Моро проникает в город сквозь кордоны, чтобы улететь из страны, и против своей воли оказывается вовлечен в попытку монархического переворота.

Иллюстрация к книге — Реаниматор культового кино [i_006.jpg]

Скан титульной страницы статьи «Навигатор эпохи машин»

(Illusions, номер 19, зима 1992).

Иллюстрация к книге — Реаниматор культового кино [i_007.jpg]
Иллюстрация к книге — Реаниматор культового кино [i_008.jpg]

Из воспоминаний Рашида Нугманова: первые две страницы «Брода».

Мой старый проект, выросший из романа «Король Брода», который я писал еще до поступления во ВГИК, а потом интерпретировал в виде киносценария. Эти страницы – буквальная расшифровка моего устного рассказа, который записали на кассетник Аркаша Высоцкий и Ажар Аяпова, лучшая подружка Ренаты Литвиновой со сценарного факультета. Имя Моро как раз появилось в «Броде» и потом перекочевало в «Иглу» и другие проекты с Виктором Цоем. Это история одного дня из жизни центральной улицы Алма-Аты первой половины 60-х. «Брод», как называли улицу Калинина, населяли стиляги и хулиганы. Мы следим за назревающим конфликтом двух «контор», который заканчивается массовой дракой. А в сердце истории – романтическая любовь.

Иллюстрация к книге — Реаниматор культового кино [i_009.jpg]
Реклама
Вход
Поиск по сайту
Ищем:
Календарь