Книга Бесконечная сила. Как математический анализ раскрывает тайны вселенной, страница 62 – Стивен Строгац

Авторы: А Б В Г Д Е Ж З И Й К Л М Н О П Р С Т У Ф Х Ч Ш Ы Э Ю Я
Книги: А Б В Г Д Е Ж З И Й К Л М Н О П Р С Т У Ф Х Ц Ч Ш Щ Ы Э Ю Я
Бесплатная онлайн библиотека LoveRead.ec

Онлайн книга «Бесконечная сила. Как математический анализ раскрывает тайны вселенной»

📃 Cтраница 62
Иллюстрация к книге — Бесконечная сила. Как математический анализ раскрывает тайны вселенной [i_112.jpg]

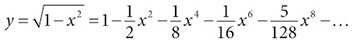
То, откуда взялись все эти диковинные дроби и почему все степени x здесь нечетные числа, было секретным «соусом» Ньютона. Он «приготовил» его с помощью рассуждения, которое можно изложить следующим образом [211]. (Не стесняйтесь пропустить остальную часть абзаца, если вам это рассуждение не особо интересно. А если вас, наоборот, интересуют подробности, ищите их в примечаниях.) Ньютон начал работать с круговым сегментом, используя аналитическую геометрию. Он написал уравнение окружности в виде x2 + y2 = 1, откуда получил для y выражение

Иллюстрация к книге — Бесконечная сила. Как математический анализ раскрывает тайны вселенной [i_113.jpg]
Далее он доказал, что квадратный корень эквивалентен степени 1/2, то есть
Иллюстрация к книге — Бесконечная сила. Как математический анализ раскрывает тайны вселенной [i_114.jpg]
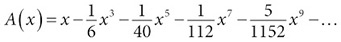
обратите внимание, что 1/2 стоит справа от скобок. Затем, поскольку ни он, ни кто-либо другой не знал, как находить площади сегментов с половинными степенями, то обошел эту проблему (второй творческий шаг) и решил ее для целых степеней. Искать площади для целых степеней было просто; он знал это из книги Валлиса. Таким образом, Ньютон вычислил площади сегментов для степеней 1, 2, 3 и так далее: y = (1 – x2)1, y = (1 – x2)2, y = (1 – x2)3. Он разложил эти выражения с помощью биномиальной теоремы и увидел, что они стали суммами степенных функций, площади для которых он уже свел в таблицу, которую мы видели на странице из его рабочей тетради. Затем он нашел закономерности в площадях сегментов как функций от x. На основании закономерности, замеченной для целых степеней, он угадал ответ (третий творческий шаг) для половинной степени, после чего проверил его различными методами. Ответ для степени 1/2 привел его к формуле для A(x) – удивительному степенному ряду с экстравагантными дробями, показанными выше.

Производная степенного ряда для площади сегмента круга дала ему не менее удивительный ряд для площади самого круга:

Иллюстрация к книге — Бесконечная сила. Как математический анализ раскрывает тайны вселенной [i_115.jpg]

Хотя еще многое предстояло сделать, тем не менее это уже был замечательный результат. Ньютон составил окружность из бесконечного количества более простых частей – более простых с точки зрения интегрирования и дифференцирования. Все составляющие были степенными функциями вида xn, где n – целое число. Для всех отдельных степенных функций было легко посчитать и производные, и интегралы (функции площади). Точно так же численные значения xn можно вычислить с помощью простой арифметики, используя только многократное умножение, а затем снова преобразовать в ряд с помощью всего лишь четырех арифметических действий. Тут не нужно было беспокоиться о квадратных корнях и прочих хлопотных функциях. Если бы Ньютону удалось найти такие степенные ряды для других кривых, а не только для кругов, их можно было бы тоже проинтегрировать безо всяких проблем.

Это поразительно, Исааку Ньютону едва исполнилось 22 года, а он уже нашел путь к святому Граалю анализа. Преобразуя кривые в степенные ряды, он мог систематически находить площади под ними. Обратная задача для степенных функций была парой пустяков, если учесть уже табулированные Ньютоном пары функций. Поэтому так же просто можно было разобраться с любой кривой, если ее можно было выразить в виде суммы степенного ряда. Таков был его алгоритм. И он был невероятно мощным.

Затем он попробовал другую кривую, гиперболу с уравнением y = 1 / (1 + x), и обнаружил, что и ее можно записать в виде степенного ряда

Иллюстрация к книге — Бесконечная сила. Как математический анализ раскрывает тайны вселенной [i_116.jpg]

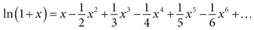
Этот ряд, в свою очередь, привел его к ряду для площади области под гиперболой на отрезке от 0 до x, гиперболического аналога кругового сегмента, изученного им ранее. Этот ряд определяет функцию, которую Ньютон назвал гиперболическим логарифмом, а мы сегодня именуем натуральным логарифмом:

Иллюстрация к книге — Бесконечная сила. Как математический анализ раскрывает тайны вселенной [i_117.jpg]

Логарифмы привлекали Ньютона по двум причинам. Во-первых, они позволяли во много раз ускорять вычисления, во-вторых, были применимы к сложной проблеме в теории музыки, над которой он работал: как разделить октаву на идеально равные музыкальные интервалы, не жертвуя при этом приятной гармонией традиционной шкалы. (На языке теории музыки Ньютон использовал логарифмы, чтобы оценить, насколько точно равномерное разделение октавы может аппроксимировать традиционную систему чистого строя.)

Благодаря чудесам интернета и историкам из проекта Newton вы можете прямо сейчас перенестись в 1665 год и посмотреть на работу молодого Ньютона. Его рабочие записи из колледжа есть в бесплатном доступе по адресу http://cudl.lib.cam.ac.uk/view/MS-ADD-04000/. Загляните через его плечо и найдите страницу 223 (в оригинале 105v), вы увидите, как он сравнивает музыкальные и геометрические прогрессии. Взгляните на нижнюю часть страницы, чтобы понять, как он соединяет свои вычисления с логарифмами. Затем перейдите на страницу 43 (в оригинале 20r) и ознакомьтесь с тем, как он выполняет квадратуру гиперболы и использует свой степенной ряд, чтобы вычислить натуральный логарифм числа 1,1 с пятьюдесятью знаками.

Разве обычный человек станет вычислять логарифмы с точностью до пятидесяти знаков? Казалось, он упивался новообретенной силой, которую ему дали степенные ряды. Позже, размышляя над экстравагантностью своих расчетов, он несколько конфузливо признался: «Стыдно сказать, в какое число мест я тащил тогда эти вычисления, не имея при этом никаких других дел; ибо тогда я действительно получал слишком много удовольствия от таких изобретений» [212].

Вход
Поиск по сайту
Ищем:
Календарь