Книга Бесконечная сила. Как математический анализ раскрывает тайны вселенной, страница 50 – Стивен Строгац

Авторы: А Б В Г Д Е Ж З И Й К Л М Н О П Р С Т У Ф Х Ч Ш Ы Э Ю Я
Книги: А Б В Г Д Е Ж З И Й К Л М Н О П Р С Т У Ф Х Ц Ч Ш Щ Ы Э Ю Я
Бесплатная онлайн библиотека LoveRead.ec

Онлайн книга «Бесконечная сила. Как математический анализ раскрывает тайны вселенной»

📃 Cтраница 50

Однако на первый взгляд неясно, каков наклон параболы в других точках. Фактически он вообще неочевиден. Чтобы разобраться в этом, давайте проведем мысленный эксперимент в духе Эйнштейна и представим, что бы мы увидели, если бы начали смотреть на произвольную точку (x, y) с большим увеличением, словно увеличиваем масштаб при фотографировании, оставляя эту точку в центре кадра. Это похоже на то, как будто мы смотрим на нее в микроскоп и постепенно добиваемся все большего увеличения. По мере увеличения прилегающий к точке кусок параболы будет все сильнее напоминать прямую. В пределе при бесконечно большом увеличении (это означает, что мы смотрим на бесконечно маленький кусочек кривой вокруг интересующей нас точки) данный увеличенный кусочек должен приблизиться к прямой. Тогда эта предельная прямая линия определяется как касательная в данной точке кривой, а угловой коэффициент как производная в этой точке.

Обратите внимание, что здесь мы используем принцип бесконечности – пытаемся упростить сложную кривую, нарезая ее на бесконечно маленькие отрезки. Именно это всегда происходит в анализе. Искривленные формы сложны; прямые формы просты, даже если их бесконечно много и они бесконечно малы. Вычисление производных таким способом – квинтэссенция математического анализа и одно из самых фундаментальных применений принципа бесконечности.

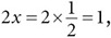
Чтобы провести этот мысленный эксперимент, нам нужно выбрать точку на параболе, в которой мы начнем проводить увеличение. Подойдет любая, но для численного удобства возьмем ту, которая соответствует значению x = 1 / 2. На рисунке выше она выделена. Ее координаты на плоскости таковы: (1/2, 1/4), или в десятичной записи (0,5; 0,25). Почему здесь y = 1 / 4? Мы выбираем точку, чтобы она лежала на параболе, а для всех точек (x, y) параболы должно выполняться соотношение y = x2. Следовательно, в точке x = 1 / 2 значение y должно быть равно

Иллюстрация к книге — Бесконечная сила. Как математический анализ раскрывает тайны вселенной [i_084.jpg]

Теперь мы готовы производить увеличение в интересующей нас точке. Поместим точку (x, y) = (0,5;0,25) в центр поля микроскопа и с помощью компьютерной графики увеличим вокруг нее маленький участок кривой. На следующем рисунке показано первое увеличение.

Иллюстрация к книге — Бесконечная сила. Как математический анализ раскрывает тайны вселенной [i_085.jpg]

При таком увеличении общая форма параболы теряется. Мы видим слегка искривленную дугу. Этот небольшой кусок параболы, лежащий между x = 0,3 и x = 0,7, кажется намного менее искривленным, чем парабола в целом.

Продолжим увеличение, взяв участок от x = 0,49 до x = 0,51. Получившаяся в результате линия выглядит еще более прямой, чем предыдущий отрезок, – едва ли не по-настоящему прямой линией, хотя это все еще маленькая часть параболы.

Иллюстрация к книге — Бесконечная сила. Как математический анализ раскрывает тайны вселенной [i_086.jpg]

Тенденция ясна. По мере увеличения изображения участки параболы будут выглядеть все прямее. Измеряя отношение Δy / Δx для этого почти прямого участка и увеличивая все сильнее и сильнее, мы можем найти предельное значение наклона Δy / Δx, когда Δx стремится к 0. Компьютерная графика настойчиво подсказывает, что наклон (угловой коэффициент) этой почти прямой линии становится все ближе к 1, что соответствует прямой под углом 45°.

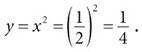
С помощью алгебры мы можем доказать, что предельный наклон в точности равен 1. (В главе 8 мы покажем, как производятся подобные вычисления.) Более того, выполнение такого расчета не только для точки x = 0,5, но и для любой точки x показывает, что предельный наклон – а значит, и угловой коэффициент касательной – равен 2x для любой точки (x, y) параболы. На языке анализа это звучит так:

Производная функции x2 равна 2x.

Как бы ни был велик соблазн доказать это правило для производных, прежде чем двигаться дальше, давайте пока примем его и посмотрим, что оно означает. Прежде всего, оно говорит, что в точке x = 0,5 наклон равен

Иллюстрация к книге — Бесконечная сила. Как математический анализ раскрывает тайны вселенной [i_087.jpg]
что мы и видим на рисунке. Оно также утверждает, что в нижней точке параболы в x = 0 наклон должен равняться 2 × 0 = 0, и мы убедились, что это тоже верно. Наконец, формула 2x говорит, что по мере движения по параболе вправо ее наклон будет возрастать; чем больше увеличивается x, тем больше должен быть наклон (= 2x), а это означает, что парабола должна становиться все круче и круче. Так на самом деле и есть.

Наш эксперимент помогает понять пару важных оговорок. Производная определена только в том случае, если по мере увеличения кривая приближается к какой-то предельной прямой линии. Это не относится к некоторым патологическим кривым. Например, если кривая имеет V-образную форму с острым углом в какой-то точке, то, как ни увеличивай окрестность этой точки, она продолжит выглядеть как угол. Этот угол никогда не исчезнет, независимо от степени увеличения кривой. Прямой линии никогда не получится. Следовательно, V-образная кривая не имеет определенной касательной в этом угле, и поэтому у нее нет тут производной.

Если же кривая выглядит все более прямой при достаточном увеличении, то говорят, что она гладкая В этой книге я исхожу из предположения, что кривые и процессы гладкие, как это делали родоначальники анализа. Однако в современном анализе мы научились справляться и с негладкими кривыми. Неудобства и патологии негладких кривых иногда возникают в областях, где бывают внезапные скачки или иные разрывности в поведении физических систем. Например, когда мы щелкаем выключателем электрической цепи, ток от состояния полного отсутствия внезапно переходит к состоянию наличия. График зависимости тока от времени показал бы резкий, почти вертикальный подъем, который аппроксимируется разрывным скачком в момент включения. Иногда удобнее смоделировать этот резкий переход как истинный разрыв значений функции, и в этом случае ток как функция времени не будет иметь производной в момент щелчка выключателем.

Значительная часть курса анализа в школе или колледже посвящена правилам вычисления производных, подобных установленным нами выше для x2, только для других функций, таких как «производная синуса равна косинусу» или «производная lnx равна 1/x». Однако для наших целей более важно понять идею производной и увидеть, как это абстрактное определение применяется на практике. Для этого давайте обратимся к реальному миру.

Вход
Поиск по сайту
Ищем:
Календарь