Книга Чеширская улыбка кота Шрёдингера: мозг, язык и сознание, страница 73 – Татьяна Черниговская

Авторы: А Б В Г Д Е Ж З И Й К Л М Н О П Р С Т У Ф Х Ч Ш Ы Э Ю Я
Книги: А Б В Г Д Е Ж З И Й К Л М Н О П Р С Т У Ф Х Ц Ч Ш Щ Ы Э Ю Я
Бесплатная онлайн библиотека LoveRead.ec

Онлайн книга «Чеширская улыбка кота Шрёдингера: мозг, язык и сознание»

📃 Cтраница 73

Во фразах с логическим ударением испытуемый имеет дело уже с элементами целого. Здесь решается логическая задача, а это уже функция преимущественно левого полушария.

Результаты, полученные для предложений разных коммуникативных типов, близки к случайным. Это может быть объяснено различиями самих противопоставлений. Некоторые из них ближе к логическому типу (вопрос, утверждение), другие содержат момент эмоции (просьба, мольба). Таким образом, необходимо дальнейшее более детальное исследование противопоставлений данного типа.

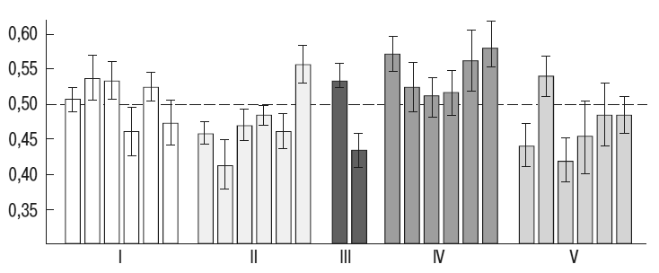
Далее был проведен анализ времени реакции (при исключении ошибочных случаев) с использованием теста Вилкоксона для сопряженных пар по каждой из фраз в отдельности, который показал наличие достоверных различий в семнадцати случаях из двадцати шести. При этом доминирование правого полушария было отмечено в девяти случаях, левого полушария – в восьми (рис. 2).

Иллюстрация к книге — Чеширская улыбка кота Шрёдингера: мозг, язык и сознание [i_066.jpg]

Рис. 2. Доминирование полушарий мозга при восприятии высказываний по интонационным типам. Каждый столбик представляет собой значение коэффициента асимметрии I для отдельной стимульной фразы. Остальные обозначения, как на рис. 1. Коэффициент асимметрии, превышающий значение 0,5, указывает на преимущество правого уха (левого полушария)


Двухфакторный дисперсионный анализ распределения Iφ по факторам «конкретная фраза» и «пол испытуемого» не выявил достоверного влияния фактора «пол испытуемого» (F (1040, 1) = 8,37; p > 0,05), но показал достоверное влияние фактора «конкретная фраза» (F (25, 1040) = 10,06; p < 0,001), а также выявил их статистически значимое совместное влияние (F (25, 1040) = 1,68; p < 0,05). Иерархический дисперсионный анализ, проведенный раздельно для обоих полов, показал влияние фактора «конкретная фраза» для мужчин (F (20, 1) = 5,12; р < 0,001) и женщин (F (20, 1) = 3,56; p < 0,001). Однако фактор «интонационный тип фразы» достоверно влияет на распределение Iφ только у мужчин (F (3,1) = 4,81; p < 0,05). Здесь необходимо отметить, что, хотя проведение φ-преобразования и позволяет нормализовать данные, но в нашем случае для небольшого количества фраз данные несколько отклонялись от нормального распределения, чем, вероятно, следует пренебречь в случае фактора «конкретная фраза», поскольку уровень значимости достаточно мал. При учете совместного влияния факторов «конкретная фраза» и «пол испытуемого», а также фактора «интонационный тип фразы» некоторым отклонением данных от нормального распределения пренебрегать не следует (уровень значимости незначительно меньше, чем 0,05), в связи с чем необходимо проведение дальнейших экспериментов.

Выводы

При восприятии фраз различных интонационных типов отмечена статистически достоверная специализация полушарий мозга. Преимущественно правым полушарием обрабатываются предложения, противопоставленные по завершенности/незавершенности, и фразы с эмоциональной интонацией. Левое полушарие более активно при обработке предложений с различным логическим ударением.

Показано, что у мужчин по сравнению с женщинами наблюдается более выраженная специализация полушарий при восприятии определенных типов интонаций. На уровне тенденции у мужчин отмечено преимущественное, по сравнению с женщинами, доминирование левого полушария при восприятии фраз, требующих определения логического ударения. Наоборот, большее правополушарное доминирование у мужчин продемонстрировано для обработки эмоциональных интонаций и завершенных/незавершенных фраз.

Специфика полушарной асимметрии восприятия интонаций в норме и при шизофрении18

Исследовались межполушарные взаимоотношения при восприятии интонаций русского языка в норме и при шизофрении как клинической модели полушарного взаимодействия.

Использовалась методика монаурального предъявления стимулов и предъявление стимулов в свободном поле. Стимулы представляли собой основные варианты интонаций русского языка. Фиксировались время реакции и количество ошибочных ответов.

При восприятии в свободном поле показано отсутствие достоверных различий между здоровыми и больными испытуемыми по проценту ошибок для эмоциональных интонаций, больший процент ошибок у больных шизофренией при восприятии логических ударений и меньший – при восприятии синтагматического членения.

При монауральном предъявлении эмоциональных интонаций и завершенных/незавершенных высказываний у здоровых испытуемых было показано достоверное преимущество левого уха по времени реакции, а у больных шизофренией достоверного преимущества выявлено не было. При монауральном предъявлении логических ударений наблюдалось преимущество правого уха по времени реакции как в группе здоровых испытуемых, так и у больных шизофренией.

Полученные данные свидетельствуют о том, что у больных шизофренией наблюдается сглаженность функциональной асимметрии мозга, в меньшей степени выраженная при восприятии интонаций с логическими ударениями, значимо не затрагивающая эффективность идентификации эмоциональных интонаций и фраз с синтагматическим членением.

Введение

В современной психофизиологии существенную проблему представляет вопрос о вовлечении таких высших психических функций, как мышление, память, эмоции в механизмы формирования импрессивной речи. Имеющиеся (все еще противоречивые) данные свидетельствуют о наличии синтаксических и семантических нарушений восприятия лингвистической информации больными шизофренией. Одна из парадигм, в рамках которых проводятся подобные исследования, связана с концепцией функциональной асимметрии мозга. На данном этапе можно говорить, хоть и с некоторой осторожностью, об имеющейся при шизофрении функциональной недостаточности правого полушария и нарушении механизмов межполушарного взаимодействия.

Еще в работах Блюмштейн [Blumstein, Cooper, 1974] и Балонова, Деглина [Балонов, Деглин, 1976] было обнаружено, что восприятие эмоциональной просодики в большой степени связано с активацией правополушарных структур. Позже было неоднократно показано, что пациенты с апросодией восприятия сопоставимы с больными с правополушарным дефицитом и резко отличны от таковых с левополушарным, а при исследовании больных с очаговыми левополушарными поражениями головного мозга наблюдались ухудшения распознавания эмоциональной просодики [Ross, 1993; Ross et al. 2001; Тархан, Трауготт, Меерсон, 1981].

Исследования восприятия речи больными шизофренией методом дихотического прослушивания (для обзора см. [Loberg, Hugdahl, Green, 1999; Hugdahl et al. 2003; Кауфман, Траченко, 1981; Borod et al. 1989; Sommer et al., 2001]) свидетельствуют в целом о наличии у данных больных картины сглаженности межполушарной асимметрии. Так, например, в работе Кауфман и Траченко при дихотическом предъявлении односложных слов таким больным показано отсутствие «эффекта правого уха». Авторы объясняют это «участием не только левого, но и правого полушария в восприятии звуков речи на фонематическом и лексическом уровнях» [Кауфман, Траченко, 1981]. Следует подчеркнуть, что процент ошибочно воспроизведенных слов по каждому уху в этом исследовании значимо меньше у больных шизофренией по сравнению со здоровыми испытуемыми. В работе Бород с соавторами [Borod et al., 1989] больным шизофренией предъявляли изображения лиц с разными эмоциональными выражениями и эмоциональную просодику; было обнаружено, что пациенты справляются с обоими заданиями хуже здоровых.

Вход
Поиск по сайту
Ищем:
Календарь