Онлайн книга «Чеширская улыбка кота Шрёдингера: мозг, язык и сознание»
|
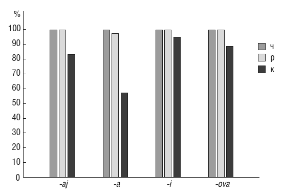
В ответах-реакциях на квазиглаголы больные с афазией часто пользуются формами реально существующих глаголов (например, *лосить – реакция я ношу лосины), образуют глаголы не только по фонетическому сходству, но и ориентируясь на внутреннюю форму слова (например, *дюбить – я сверлю. Видимо, от дюбеля). Пациенты с трудом переключаются с выполнения одного задания на другое (предыдущий глагол влияет на спряжение последующего); в их ответах встречается масса вербальных и латеральных парафазий (например, *лействовать – *рействовать); используется такой прием, как упрощение звуковой программы (например, *мохотать – они махают). 2.4.2. Результаты эксперимента: данные дисперсионного анализа. Как уже было сказано, для статистической обработки данных использовался ANOVA с повторными измерениями по единицам. В качестве единицы анализа был выбран глагол. Учитывалось влияние следующих факторов на количество правильных распознаваний основы, то есть без учета ошибок в чередованиях и спряжении: класс глагола, его частотность, тип теста и группа испытуемых. Поскольку ANOVA с повторными измерениями показал, что существует статистически значимое влияние фактора группы (F2 = 401,227, df = 1, p < 0,001), то дальше проводился отдельный анализ для контрольной и экспериментальной группы с целью выявления значимых влияний остальных факторов. Для здоровых взрослых испытуемых не было выявлено значимого влияния фактора типа теста, тогда как другие факторы оказывали статистически значимое влияние на количество правильных распознаваний основы: класс глагола (F2 = 6,771, df = 3, p = 0,001), частотность глагола (F2 = 29,556, df = 2, p < 0,001) и взаимодействие этих двух факторов (F2 = 5,280, df = 6, p < 0,001). Из рис. 1 видно, что появление значимого влияния пересечения этих двух факторов вызвано тем, что в классе – a в низкочастотных реальных глаголах встречались ошибки в выборе модели. ![]() Рис. 1. Количество правильных ответов в каждом классе в зависимости от частотности стимула для контрольной группы; «ч» – частотные глаголы, «р» – редкие, «к» – квазиглаголы Апостериорные тесты по методу Шеффе показали, что статистически значимо меньше правильных распознаваний было в классе – a (p < 0,044), тогда как остальные между собой не различались, и в квазиглаголах (p < 0,001), тогда как в реальных высокочастотных и низкочастотных глаголах было одинаковое число правильных распознаваний. Статистическая обработка данных по пациентам с афазией показала, что есть статистически значимое влияние фактора теста (F2 = 23,917, df = 1, p < 0,001), а также факторов класса глагола (F2 = 8,328, df = 3, p < 0,001) и его частотности (F2 = 33,149, df = 2, p < 0,001), однако в отличие от контрольной группы не было значимого влияния пересечения этих двух факторов. Апостериорные тесты по методу Шеффе показали, что у афатиков, в отличие от взрослых здоровых испытуемых, статистически достоверно хуже остальных распознавались основы классов -а и -ova (р ≤ 0,026), но сходным образом, квазиглаголы распознавались значимо хуже реальных (р < 0,001). 2.4.3. Результаты эксперимента: описательная статистика. Необходимо отметить, что полученные в эксперименте данные представляют собой неоднозначную и пеструю картину, что хорошо известно в клинической лингвистике. Поэтому целесообразно продемонстрировать результаты эксперимента отдельно по каждому пациенту для каждого анализируемого параметра в сравнении с данными здоровых взрослых носителей языка. Такой подход в последнее время все чаще используется в исследованиях подобного рода. Количество правильных распознаваний основ глагола. Под правильным распознаванием основы глагола понималась правильно выбранная модель для образования форм, при этом не учитывались ошибки в ударении, чередованиях и спряжении. В случае квазиглаголов за правильно выбранный класс принимался тот, который являлся правильным для реального глагола, явившегося основой моделирования квазиглагола. Такой подход является условным. Данные по этому параметру представлены в табл. 3 (здесь и далее в каждой таблице в столбце «Норма» приводятся для сравнения средние значения по контрольной группе из двадцати двух здоровых носителей языка). Таблица 3. Процент правильных распознаваний основ глаголов ![]() * Здесь и далее имена пациентов зашифрованы. Данный параметр демонстрирует, что, с одной стороны, разница между здоровыми носителями языка и пациентами с афазией огромна, с другой – что внутри группы с нарушениями нет единообразия. Также заметно, что разрыв между двумя вариантами тестов у некоторых больных испытуемых гораздо больше, чем у здоровых. Отсутствие стопроцентного результата у нормы вызвано различными причинами: во-первых, не все классы распознаются одинаково хорошо, а во-вторых, квазиглаголы в целом распознаются хуже, чем реальные глаголы русского языка. Распознавание глаголов разных классов. Классы глаголов, которые вошли в экспериментальный материал, были подобраны таким образом, чтобы они максимально различались по таким показателям, как частотность класса (самым частотным классом является класс – aj), продуктивность, то есть возможность попадания новых слов в этот словоизменительный класс (классы – aj, – i и – ova являются продуктивными), наличие чередований (в классах – a и – i наблюдается чередование конечного согласного основы, а в – ova – суффиксов – ova и – uj-) и принадлежность к разным спряжениям (класс – a относится ко второму спряжению, тогда как остальные – к первому). Эти характеристики классов по-разному влияют на количество правильных распознаваний основы. В табл. 4 представлены данные по количеству правильных распознаваний основ разных классов. Таблица 4. Распознавание основ разных классов ![]() Из табл. 4 видно, что в норме наибольшие затруднения вызвал непродуктивный класс – a, тогда как в патологии у разных пациентов хуже распознавались разные классы, например у пациента Пн хуже остальных распознавались продуктивные классы – aj и – i. Распознавание глаголов разной частотности. Фактор частотности является одним из ключевых в спорах между сторонниками одно- и двусистемного подходов: влияет ли он на количество правильных ответов всегда или только в случае нерегулярного словоизменения? Из табл. 5, 6, 7 и 8 видно, что в норме реальные глаголы продуктивных классов распознавались верно всегда, тогда как у непродуктивного класса – a формы некоторых редких глаголов были образованы по модели другого класса: в подавляющем большинстве случаев их формы были образованы по продуктивной модели класса – aj (о причинах перехода некоторых глаголов класса – a в класс – aj см. [Нессет, 2008]). У пациентов с афазией далеко не все реальные глаголы распознавались правильно. Однако в целом тенденция, что квазиглаголы распознаются хуже реальных, отмечается у всех испытуемых. |
![Иллюстрация к книге — Чеширская улыбка кота Шрёдингера: мозг, язык и сознание [i_020.jpg] Иллюстрация к книге — Чеширская улыбка кота Шрёдингера: мозг, язык и сознание [i_020.jpg]](img/book_covers/094/94810/i_020.jpg)
![Иллюстрация к книге — Чеширская улыбка кота Шрёдингера: мозг, язык и сознание [i_021.jpg] Иллюстрация к книге — Чеширская улыбка кота Шрёдингера: мозг, язык и сознание [i_021.jpg]](img/book_covers/094/94810/i_021.jpg)
![Иллюстрация к книге — Чеширская улыбка кота Шрёдингера: мозг, язык и сознание [i_022.jpg] Иллюстрация к книге — Чеширская улыбка кота Шрёдингера: мозг, язык и сознание [i_022.jpg]](img/book_covers/094/94810/i_022.jpg)