Книга Чеширская улыбка кота Шрёдингера: мозг, язык и сознание, страница 36 – Татьяна Черниговская

Авторы: А Б В Г Д Е Ж З И Й К Л М Н О П Р С Т У Ф Х Ч Ш Ы Э Ю Я
Книги: А Б В Г Д Е Ж З И Й К Л М Н О П Р С Т У Ф Х Ц Ч Ш Щ Ы Э Ю Я
Бесплатная онлайн библиотека LoveRead.ec

Онлайн книга «Чеширская улыбка кота Шрёдингера: мозг, язык и сознание»

📃 Cтраница 36

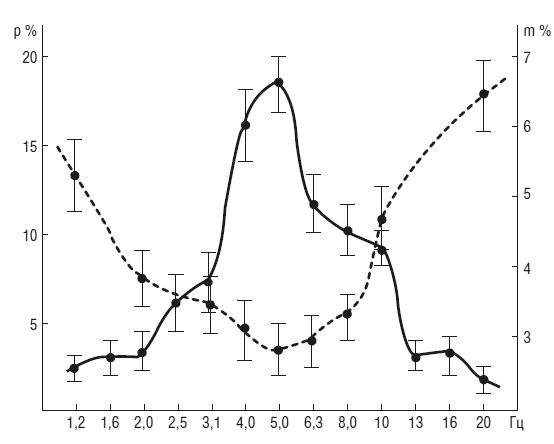
С точки зрения задач настоящей работы представляет интерес сопоставление статистических характеристик АМ речи с чувствительностью слуха к АМ (рис. 5).

Иллюстрация к книге — Чеширская улыбка кота Шрёдингера: мозг, язык и сознание [i_016.jpg]

Рис. 5. Соответствие максимальной чувствительности слухового анализатора человека к восприятию АМ звука с областью наиболее вероятной частоты АМ речи. p % – вероятность встречаемости АМ разной частоты в речи, m % – пороговая глубина обнаружения АМ слухом, Гц – частота АМ; вертикали – доверительные интервалы. Коэффициент корреляции между кривыми m % и p % равен 0,78


Область минимума порогов, то есть наибольшая чувствительность слуха человека к АМ, 4–6 Гц (т %) совпадает с областью наиболее вероятной частоты АМ в речевом сигнале (4–5 Гц, р %). Был вычислен коэффициент корреляции между этими двумя кривыми, коэффициент оказался равным 0,78, что говорит о достаточно высокой степени корреляции между ходом этих двух кривых (формула 3):

Иллюстрация к книге — Чеширская улыбка кота Шрёдингера: мозг, язык и сознание [i_017.jpg]

где r – коэффициент корреляции, m – среднее значение чувствительности слуха к АМ (от 1 до 20 Гц), p – средняя величина вероятности АМ в речи (от 1 до 20 Гц), mi и pi – реальные значения указанных величин в диапазоне от 1 до 20 Гц.


Таким образом, результаты работы подтвердили высказанную в начале статьи мысль об определенной согласованности характеристик слухового анализатора с акустическими характеристиками речи. Естественная целесообразность такого согласования является достаточно очевидной ввиду наилучшего выделения и восприятия слухом речевого сигнала на фоне всевозможных акустических помех. Можно полагать, что подобное согласование явилось следствием длительного эволюционного развития человека и приспособления его слуха к акустике речи. Полученные результаты согласуются с данными о повышенной избирательной чувствительности анализаторных систем живых организмов к сигналам, имеющим для них жизненно важное значение [Гершуни, 1968, 1973].

P. S. Возможны ли универсалии в эволюционном процессе? (Сходство принципов функциональной эволюции: физиологические системы и язык)

В 1956 году Л. А. Орбели сформулировал два стержневых принципа эволюционной физиологии: изучение эволюции функций и функциональной эволюции, которую он определил как проникновение в суть того, «почему эволюционный процесс протекал так, а не иначе». Разработку этой мысли на материале физиологических объектов продолжил Ю. В. Наточин. Предлагаемый подход базируется на анализе тех факторов, которые сами не эволюционируют, но предопределяют становление функций и их развитие. К ним в физиологии относятся физико-химические факторы эволюции функций, формирование взаимосвязи функциональных систем, становление целостности организма и развитие механизмов адаптации. Нам показалось интересным посмотреть, можно ли эти принципы применить для анализа эволюции не только биологических, но и для иных информационных систем, в частности языка [Natochin, Chernigovskaya, 1997; Chernigovskaya, Natochin, Menshutkin, 2000]. Особый интерес это представляло не только в связи с существенным различием объектов описания, но и в связи с огромной разницей в скорости протекания рассматриваемых процессов: миллионы лет для формирования гомеостатических систем, обеспечивающих физико-химическую стабильность организма, и тысячи лет развития человеческого языка.

Языковая история насчитывает около десяти тысяч лет: возникали праязыки и формировались макросемьи языков мира, в результате распада и на основе которых развивались и эволюционировали современные языковые группы, в которые по разным подсчетам входит сейчас примерно шесть тысяч. Язык является динамической системой, подверженной изменениям, происходящим по определенным и весьма отличным для разных групп законам. Тем не менее представляется возможным посмотреть, релевантны ли соотносимые с физиологическими системами факторы для основных тенденций эволюции языка.

Выделяемые нами принципы организованы иерархически и могут быть описаны как четыре уровня эволюции как физиологических, так и языковых систем, соответственно: I уровень клетки – фонемы (как минимальной единицы); II уровень функциональной единицы – морфемы; III уровень органа – слова; IV уровень системы – текст. Отдельный интерес представляет вопрос эволюции «правил», регулирующих функционирование единиц внутри каждого уровня и взаимоотношение самих уровней. Возможность такого подхода для столь различных объектов описания позволяет предлагать рассматриваемые принципы в качестве своего рода универсалий.

Нужно сделать несколько важных замечаний, которые неочевидны для нелингвистов, но вносят существенные поправки в рассматриваемые принципы:

1) языки развивались от протоформ и продолжают развиваться;

2) языки находятся на разных стадиях развития;

3) можно говорить и о специфике языков разных типов, и об универсалиях, то есть о том, что отличает человеческую систему коммуникаций от всех других, и о том, какие черты проявляются в языках разных систем;

4) важно иметь в виду, что не все тенденции проявляются везде: все множество признаков как бы рассыпано по языкам мира (как будто Создатель, задав главные алгоритмы, решил посмотреть, как люди будут их реализовывать);

5) существуют разные подходы к проблеме происхождения языка – моногенез и полигенез;

6) несмотря на все это, можно обсуждать некие единые тенденции эволюции человеческого языка.

Когда много лет назад Юрий Викторович Наточин объяснил мне свою систему, описывающую принципы функциональной эволюции, и предложил посмотреть, будет ли этот алгоритм работать на примере других сложных систем, я согласилась, потому что это было интересно и совершенно ново. Однако в успех я верила с трудом, поскольку человеческий язык – слишком сложный материал, в частности по вышеуказанным причинам. Делать это надо было аккуратно, стараясь минимизировать риск неизбежных ошибок: строго говоря, специалистов такого рода нет, и лингвисты специализируются на анализе пусть и больших, но все же семей языков, а не языка в целом…

…О языке
Чтение в контексте когнитивного знания

Письменность и знаковая грамотность вообще сыграли ключевую роль в истории человечества. Использование так называемой внешней памяти определило сверхбыструю, несопоставимую с биологическими скоростями, эволюцию нашего вида. Обретя способность к знаковому кодированию информации и фиксации этого рисунком, схемой, письменностью, формулой, мы перестали фатально зависеть от ограниченности срока жизни отдельных людей и естественным образом исчезающих с ними знаний.

По независимым оценкам разных групп исследователей, временем появления Homo sapiens как биологического вида следует считать период около ста восьмидесяти тысяч лет назад. Изменения половых хромосом, произошедшие на территории Восточной Африки в период от ста до двухсот пятидесяти тысяч лет назад, вызвали асимметричный сдвиг в развитии больших полушарий головного мозга, особенно в ассоциативной коре, так что левое полушарие стало регулировать наиболее сложные и одновременно ключевые компоненты языка – анализ и синтез фонологических цепочек, морфологию и синтаксис, в то время как к правому полушарию отошла функция регулирования процессов смыслообразования и прагматические аспекты речи.

Вход
Поиск по сайту
Ищем:
Календарь