Онлайн книга «Восемь этюдов о бесконечности. Математическое приключение»
|
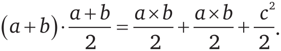
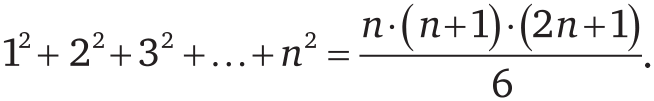
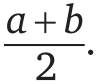
Теперь осталось только собрать следующую фигуру: ![]() и мы получим: ![]() или ![]() . Если вам нравится заниматься математикой методом «камешков на пляже», вам, возможно, придется по вкусу и следующее интересное развлечение: найдите похожие формулы в своем учебнике по математике, соберите внушительную кучу камешков и отправляйтесь на пляж. Только не забудьте запастись кремом от загара – эти упражнения иногда занимают довольно много времени. Вместе с тем можно развлекаться и иначе: взять ту же кучу камешков и придумывать собственные формулы. Но кроме этого есть, конечно, и самое главное развлечение – пойти на пляж и не делать там ничего! Без математики невозможно проникнуть вглубь философии. Без философии невозможно проникнуть вглубь математики. Без них обеих невозможно проникнуть вглубь чего бы то ни было. Лейбниц Теорема Пифагора Можно ли говорить о Пифагоре и не упомянуть о прославленной теореме, носящей его имя? Разумеется, нельзя. Поэтому я закончу эту главу несколькими историями о теореме Пифагора. Итак, теорема гласит, что в любом прямоугольном треугольнике квадрат гипотенузы равен сумме квадратов двух других сторон. ![]() Интересно отметить, что эту теорему знали еще древние египтяне, которые даже использовали пифагоровы треугольники со сторонами 3 – 4 – 5 для построения прямых углов. Разумеется, всякий, кто учился в школе, способен дать формулировку этой знаменитой теоремы, но многие ли из вас действительно знают почему она справедлива и как ее доказать? Рассказывают, что, когда философ Томас Гоббс (1588–1679) случайно увидел теорему Пифагора в книге «отца геометрии» Евклида, он был так поражен, что решительно отказался поверить, что это утверждение может быть истинным. В то время Гоббсу было около 40, и до этого момента он не особенно интересовался математикой. Гоббс прочитал доказательство (что совсем не мало для человека, не отличавшегося страстью к геометрическим фигурам) и влюбился в геометрию. Что же – если Гоббс не желал поверить в истинность теоремы, мне не остается ничего другого, как доказать ее. Собственно говоря, ее доказательств существуют сотни, начиная с самого первого, так поразившего Гоббса в изложении Евклида, и до доказательств с использованием дифференциалов. Я покажу вам три доказательства, которые мне особенно нравятся, но до этого хочу представить вам доказательство для случая равнобедренного прямоугольного треугольника. Это доказательство настолько просто, что для его изложения хватит и чертежа. ![]() Доказательство № 1 – изящество простоты Это доказательство я выбрал потому, что оно – одно из самых простых. Возьмем квадрат со стороной a + b и построим в нем четыре одинаковых прямоугольных треугольника, как показано в левой части представленного ниже чертежа. Теперь расположим те же треугольники по-другому, как показано в правой части. Площадь заштрихованных участков на обоих чертежах должна быть одинаковой, так как она в обоих случаях равна суммарной площади квадрата за вычетом площади четырех треугольников. Следовательно, a² + b² = c². ![]() Доказательство № 2 – доказательство Гарфилда Если вы думаете, что автором доказательства теоремы Пифагора был ленивый кот Гарфилд [16], вы ошибаетесь. Это доказательство принадлежит двадцатому президенту Соединенных Штатов Джеймсу А. Гарфилду. Однако, если вы думаете, что между котом Гарфилдом и президентом Гарфилдом нет никакой связи, вы опять ошибаетесь! Создатель кота Гарфилда художник Джим Дэвис назвал его в честь своего дедушки, а дедушку назвали в честь президента Гарфилда. Вот это доказательство. Посмотрите на трапецию, изображенную на следующем чертеже: ![]() Площадь трапеции равна произведению ее высоты (a + b) на среднее арифметическое длин ее оснований ![]() Вместе с тем трапеция состоит из трех треугольников – I, II и III, – а площадь каждого из треугольников I и II равна ![]() Исходя из того, что сумма углов треугольника равна 180°, легко доказать, что треугольник III прямоугольный. Отсюда вытекает, что площадь треугольника III равна ![]() Следовательно, ![]() Раскрыв скобки в левой части и упростив, получаем в результате a² + b² = c². Ч. т. д. Браво, двадцатый президент Соединенных Штатов! Доказательство № 3 – Пифагор и Леонардо |
![Иллюстрация к книге — Восемь этюдов о бесконечности. Математическое приключение [i_035.jpg] Иллюстрация к книге — Восемь этюдов о бесконечности. Математическое приключение [i_035.jpg]](img/book_covers/094/94808/i_035.jpg)
![Иллюстрация к книге — Восемь этюдов о бесконечности. Математическое приключение [i_036.jpg] Иллюстрация к книге — Восемь этюдов о бесконечности. Математическое приключение [i_036.jpg]](img/book_covers/094/94808/i_036.jpg)
![Иллюстрация к книге — Восемь этюдов о бесконечности. Математическое приключение [i_037.jpg] Иллюстрация к книге — Восемь этюдов о бесконечности. Математическое приключение [i_037.jpg]](img/book_covers/094/94808/i_037.jpg)
![Иллюстрация к книге — Восемь этюдов о бесконечности. Математическое приключение [i_038.jpg] Иллюстрация к книге — Восемь этюдов о бесконечности. Математическое приключение [i_038.jpg]](img/book_covers/094/94808/i_038.jpg)
![Иллюстрация к книге — Восемь этюдов о бесконечности. Математическое приключение [i_039.jpg] Иллюстрация к книге — Восемь этюдов о бесконечности. Математическое приключение [i_039.jpg]](img/book_covers/094/94808/i_039.jpg)
![Иллюстрация к книге — Восемь этюдов о бесконечности. Математическое приключение [i_040.jpg] Иллюстрация к книге — Восемь этюдов о бесконечности. Математическое приключение [i_040.jpg]](img/book_covers/094/94808/i_040.jpg)
![Иллюстрация к книге — Восемь этюдов о бесконечности. Математическое приключение [i_041.jpg] Иллюстрация к книге — Восемь этюдов о бесконечности. Математическое приключение [i_041.jpg]](img/book_covers/094/94808/i_041.jpg)
![Иллюстрация к книге — Восемь этюдов о бесконечности. Математическое приключение [i_042.jpg] Иллюстрация к книге — Восемь этюдов о бесконечности. Математическое приключение [i_042.jpg]](img/book_covers/094/94808/i_042.jpg)
![Иллюстрация к книге — Восемь этюдов о бесконечности. Математическое приключение [i_043.jpg] Иллюстрация к книге — Восемь этюдов о бесконечности. Математическое приключение [i_043.jpg]](img/book_covers/094/94808/i_043.jpg)
![Иллюстрация к книге — Восемь этюдов о бесконечности. Математическое приключение [i_044.jpg] Иллюстрация к книге — Восемь этюдов о бесконечности. Математическое приключение [i_044.jpg]](img/book_covers/094/94808/i_044.jpg)
![Иллюстрация к книге — Восемь этюдов о бесконечности. Математическое приключение [i_045.jpg] Иллюстрация к книге — Восемь этюдов о бесконечности. Математическое приключение [i_045.jpg]](img/book_covers/094/94808/i_045.jpg)