Онлайн книга «Интервальное голодание. Как восстановить свой организм, похудеть и активизировать работу мозга»
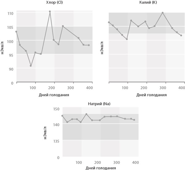
![]() Источник: Кэйхилл, «Источники энергии для обмена веществ при голодании» Инсулин снижается Снижение уровня инсулина – одно из самых значительных гормональных изменений при голодании. Все пищевые продукты в той или иной степени повышают инсулин. Рафинированные углеводы повышают инсулин сильнее всего, а жирные продукты – меньше всего. Но в обоих случаях инсулин растёт. Следовательно, самый эффективный способ снижения инсулина – отказ от любых видов пищи. На начальных стадиях голодания уровень инсулина и глюкозы в крови падает, но остаётся в пределах нормы, поскольку его поддерживает расщепление гликогена и глюконеогенез. После того как весь гликоген использован, тело начинает переходить на энергию из жира. Продолжительный пост снижает инсулин более выраженно. Регулярное снижение уровня инсулина ведёт к улучшению чувствительности к инсулину: тело становится более восприимчивым к нему. Противоположность чувствительности, инсулинорезистентность – это ключевая причина диабета 2-го типа, а также с этим состоянием связывают многие другие болезни, например: • Болезни сердца • Инсульт • Болезнь Альцгеймера • Диабет 2-го типа • Повышенный холестерин • Повышенное артериальное давление • Абдоминальное ожирение • Неалкогольный стеатогепатит (ожирение печени) • Синдром поликистозных яичников • Подагру • Атеросклероз • Гастроэзофагеальный рефлюкс • Обструктивное ночное апноэ • Рак Источник: Цойнер и др., «Расход энергии в покое при кратковременном голодании увеличивается в результате роста уровня норэпинефрина в сыворотке крови» ![]() Рис. 1.3. Голодание продолжительностью больше четырёх дней ведёт к снижению уровня инсулина и сахара в крови Снижение уровня инсулина также помогает телу избавиться от лишних воды и соли, поскольку известно, что инсулин задерживает соль и воду в почках. Поэтому низкоуглеводные диеты часто вызывают диурез (учащение мочеиспускания), потерю избытка воды – на самом деле, большая часть начальной потери веса на низкоуглеводных диетах связана с выводом воды. Этот диурез полезен для организма, поскольку он уменьшает вздутие и помогает чувствовать себя легче. Некоторые также отмечают снижение артериального давления. Электролиты остаются стабильными Электролиты – это определённые минералы в крови. В их число входят натрий, хлор, калий, кальций, магний и фосфор. Организм держит их уровень под строгим контролем. Долговременные исследования голодания не обнаружили доказательств дисбаланса электролитов – специальные механизмы тела позволяют поддерживать их в равновесии. Натрий и хлор. Содержатся, в первую очередь, в поваренной соли. Дневная потребность в соли достаточно низка, и многие из нас превышают её во много раз. Во время кратковременного голодания снижение количества соли незначительно. При длительном голодании (больше одной недели) почки способны впитывать и восстанавливать большую часть соли, необходимой телу. Тем не менее иногда может понадобиться дополнительный приём соли. Калий, кальций, магний и фосфор. Уровень калия может немного снизиться, но остаётся в пределах нормы. Уровень магния, кальция и фосфора во время голодания также не меняется. Большие запасы этих минералов содержатся в костях – 99 %. Обычно небольшая доля минералов теряется со стулом и мочой, но во время голодания эта потеря минимальна. Тем не менее детям, беременным и кормящим женщинам эти минералы требуются постоянно, и голодание им не рекомендуется. Ежедневное потребление соли обычно превышает потребность организма в несколько раз. Но при длительном голодании иногда может понадобиться ее дополнительный прием. Другие витамины и минералы. Ежедневный приём общего мультивитаминного комплекса помогает получить рекомендованное количество микронутриентов. Терапевтический факт: человек прожил 382 дня, принимая только мультивитамины, без вреда для здоровья. На самом деле всё это время этот человек прекрасно себя чувствовал. Наблюдая за голодающими, принимавшими только воду и витамины в течение 117 дней, исследователи подтвердили, что у них не было изменений ни в электролитах в сыворотке крови, ни в липидах, белках или аминокислотах. Более того, они обнаружили, что во время этих длительных периодов голодания чувство голода полностью отсутствовало. Рост уровня адреналина и ускорение обмена веществ Большинство ожидает, что в период голодания они будут чувствовать усталость и нехватку энергии. Но реальный опыт большинства людей диаметрально противоположен: во время поста они чувствуют себя энергичными и активными. Это происходит частично из-за того, что в организм по-прежнему поступает «топливо» – энергия от сжигания жира вместо переваривания еды. Но также это связано с тем, что для высвобождения запасов гликогена и сжигания жира используется адреналин, даже если уровень сахара в крови высок. Повышение уровня адреналина придаёт нам силы и стимулирует обмен веществ. Исследования показывают, что после четырёхдневного голодания уровень энергии в покое возрастает на 12 %. Вместо того чтобы замедлять обмен веществ, голодание его разгоняет. Гормон роста Человеческий гормон роста (соматотропин, СТГ) производится в гипофизе. Как видно из названия, этот гормон играет огромную роль в нормальном развитии детей и подростков. Пикового уровня он достигает в период полового созревания и постепенно снижается с возрастом. Слишком низкий уровень гормона роста у взрослых приводит к увеличению количества жира, уменьшению мышечной массы и сокращению плотности костей (остеопении). ![]() Рис. 1.4. Во время продолжительного голодания электролиты остаются стабильными ![]() |
![Иллюстрация к книге — Интервальное голодание. Как восстановить свой организм, похудеть и активизировать работу мозга [i_019.jpg] Иллюстрация к книге — Интервальное голодание. Как восстановить свой организм, похудеть и активизировать работу мозга [i_019.jpg]](img/book_covers/094/94239/i_019.jpg)
![Иллюстрация к книге — Интервальное голодание. Как восстановить свой организм, похудеть и активизировать работу мозга [i_020.jpg] Иллюстрация к книге — Интервальное голодание. Как восстановить свой организм, похудеть и активизировать работу мозга [i_020.jpg]](img/book_covers/094/94239/i_020.jpg)
![Иллюстрация к книге — Интервальное голодание. Как восстановить свой организм, похудеть и активизировать работу мозга [i_021.jpg] Иллюстрация к книге — Интервальное голодание. Как восстановить свой организм, похудеть и активизировать работу мозга [i_021.jpg]](img/book_covers/094/94239/i_021.jpg)
![Иллюстрация к книге — Интервальное голодание. Как восстановить свой организм, похудеть и активизировать работу мозга [i_022.jpg] Иллюстрация к книге — Интервальное голодание. Как восстановить свой организм, похудеть и активизировать работу мозга [i_022.jpg]](img/book_covers/094/94239/i_022.jpg)