Книга Электроника для начинающих, страница 47 – Паоло Аливерти

Авторы: А Б В Г Д Е Ж З И Й К Л М Н О П Р С Т У Ф Х Ч Ш Ы Э Ю Я
Книги: А Б В Г Д Е Ж З И Й К Л М Н О П Р С Т У Ф Х Ц Ч Ш Щ Ы Э Ю Я
Бесплатная онлайн библиотека LoveRead.ec

Онлайн книга «Электроника для начинающих»

📃 Cтраница 47
Иллюстрация к книге — Электроника для начинающих [i_252.jpg]

Рис. 7.6. Электрическая схема диодного моста


Последовательность полуволн, которые выходят из мостового выпрямителя, выравниваются конденсатором. Для большей стабилизации напряжений интегральных схем были изобретены регулирующие интегральныесхемы, очень стабильно и точно выравнивающие напряжение. Существуют стабилизаторы как фиксированного, так и регулируемого напряжения.

Избыточное напряжение преобразуется в тепло, в результате чего эти компоненты могут сильно нагреваться. Для рассеивания тепла добавляют охлаждающие ребра.

В последние годы преобладающей технологией для источников питания является импульсный источник питания, который не требует использование трансформатора. Импульсные источники питания обладают высокой производительностью и не нагреваются, в отличие от источников питания с регулятором напряжения, потому что не используют резистивные методы для уменьшения напряжения. Их принцип работы довольно прост: сигнал на их выходе прерывается ритмично и регулярно, так что могут проходить только выровненные или стабилизированные импульсы от катушек и конденсаторов.

Построим стабилизированный источник питания

Многие электронные схемы, которые используют микроконтроллеры или цифровые микросхемы, требуют для своей работы напряжения ровно 5 В. Такое напряжение трудно получить при помощи батарей. В интернете можно купить лабораторные блоки питания по довольно доступной цене. Для первых экспериментов мы можем собрать небольшой регулятор, используя источник питания мобильного телефона или ненужного электроприбора. Мы изменим его, чтобы построить стабилизированный источник питания на 5 В. Представленная схема в реальности работает также с батареями, при условии, что они имеют более высокое напряжение, чем требуется схеме.

Иллюстрация к книге — Электроника для начинающих [i_253.jpg]

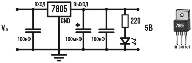
Рис. 7.7. Электрическая схема стабилизатора напряжения на базе 7805


Сердцем нашего источника питания будет стабилизированный регулятор напряжения: специальный компонент, который напоминает транзистор, но на самом деле это комплексная миниатюрная электронная схема.

Этот компонент известен как «7805» (или LM7805 или 78LM05, в зависимости от производителя). Он имеет три вывода: общий (земля), вход и выход. Символом является простой прямоугольник. Максимальный выходной ток равен 1 А.

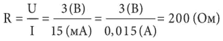
Схема включает несколько конденсаторов для стабилизации тока и устранения помех. Светодиод, который соединен с сопротивлением на шине 5 В, оповещает об исправности устройства. Мы применяем светодиод общего типа, поэтому требуемый ток равен 15 мА. Падение напряжения на выводах резистора равно 3 В, потому что 2 В необходимы для светодиода. Рассчитаем сопротивление:


Иллюстрация к книге — Электроника для начинающих [i_254.jpg]

Необходимые компоненты:

• макетная плата;

• старый источник питания как минимум на 5 В или батарея на 9 В с зажимом для подключения;

• LM7805;

• светодиод;

• резистор на 200 Ом;

• два конденсатора на 100 нФ;

• один конденсатор на 100 мкФ;

• перемычки или провода для соединения.


Давайте посмотрим, как собрать все на макетной плате.


1. Возьмите контроллер 7805 и вставьте его близко к краю платы с выводами, закрепленными в трех отдельных отверстиях (например, в El, Е2 и Е3). Обратите внимание на направление размещения. Вывод на первом столбце должен соответствовать контакту «IN», и вывод на третьем столбце должен соответствовать контакту «OUT».

2. Соединяем зажим от батарейки на макетную плату. Красный провод должен быть вставлен в первый столбец в соответствии с входным контактом IN контроллера 7805.

3. Черный провод зажима соединяем с синей шиной электропитания на макетной плате.

4. С помощью небольшой перемычки соединяем средний вывод от 7805 с синей шиной электропитания, соединенной с отрицательным выводом батареи.

5. С помощью второй перемычки подключаем выходной контакт (OUT) от 7805 к красной шине электропитания.

6. Добавим конденсатор на 100 нФ так, чтобы его выводы находились на первом и втором столбце.

7. Добавим конденсатор емкостью 100 нФ, так чтобы его выводы находились на втором и третьем столбце.

8. Вставляем конденсатор на 100 мкФ на обе шины электропитания. Электролитический конденсатор поляризован, и контакты обозначены символами «+» и «−». Контакт «+» подключаем на красную шину электропитания.

9. Добавим светодиод последовательно с резистором на 200 Ом. Мы подключаем катод (−) светодиода к отрицательной шине питания при помощи небольшой перемычки. Резистор мы соединим между анодом (+) светодиода и красной шиной питания.

Иллюстрация к книге — Электроника для начинающих [i_255.jpg]

Рис. 7.8. Сборка стабилизированного источника питания на 5 В на макетной платепитания. Перед подсоединением проводов на макетную плату вам потребуется спаять их и присоединить к отрезкам жесткой проволоки.


Если вместо батареи мы используем источник питания от телефона, мы должны отрезать его разъем, чтобы отделить два провода и найти положительный и отрицательный провод с помощью мультиметра. С помощью мультиметра мы также проверим напряжение, подаваемое от источника питания. Перед подсоединением проводов на макетную плату вам потребуется спаять их и присоединить к отрезкам жесткой проволоки.

Иллюстрация к книге — Электроника для начинающих [i_256.jpg]

Рис. 7.9. Как преобразовать источник питания от телефона и использовать его для нашей цепи


На вход 7805 мы можем подать любое напряжение от 5 до 20 В, но регулятор напряжения всегда будет обеспечивать 5 В на своем выходном контакте. Если входное напряжение намного больше, чем стабилизирующее напряжение, компонент будет сильно нагреваться, так как разность напряжений будет полностью преобразована в тепло. В этих случаях лучше добавить рассеиватель тепла – алюминиевый радиатор с ребрами и отверстием для установки. Мы можем создать радиатор для 7805 с помощью куска металла, предпочтительно алюминия, который прикрепим при помощи гайки и болта к корпусу компонента. Радиатор должен иметь отверстие диаметром 3 мм.

Существуют различные модели регуляторов напряжения, установленные для различных напряжений. 7812 используется для получения 12 В, 7806 – для 6 В или 7809 – для 9 В. Две последние цифры чипа показывают величину выдаваемого напряжения. Существуют также регуляторы отрицательного напряжения, которые используются в паре с регуляторами серии 78хх; их можно идентифицировать по маркировке 79хх. Для получения отрицательных 5 В будет использоваться 7905.

Вход
Поиск по сайту
Ищем:
Календарь