Книга Музыкальный инстинкт. Почему мы любим музыку, страница 52 – Филип Болл

Авторы: А Б В Г Д Е Ж З И Й К Л М Н О П Р С Т У Ф Х Ч Ш Ы Э Ю Я
Книги: А Б В Г Д Е Ж З И Й К Л М Н О П Р С Т У Ф Х Ц Ч Ш Щ Ы Э Ю Я
Бесплатная онлайн библиотека LoveRead.ec

Онлайн книга «Музыкальный инстинкт. Почему мы любим музыку»

📃 Cтраница 52
Низшие и высшие точки Гельмгольца

Сам по себе сенсорный диссонанс не говорит ничего о том, будут ли определенные комбинации нот звучать созвучно или нет, он лишь подчеркивает появление шероховатости, которая возникает при близком расположении нот. Все интервалы за пределами этого критического разделения тонов должны звучать одинаково хорошо. Но – нет.

Отчасти это происходит потому, что исполненные на музыкальных инструментах тоны очень сложны: это комбинации нескольких гармоний. Поэтому любые две ноты, звучащие вместе, дают множество различных возможностей для столкновения обертонов, что может привести к сенсорному диссонансу, если их частоты не слишком отличаются. В девятнадцатом веке это выяснил немецкий физик и физиолог Герман фон Гельмгольц: он произвел расчеты, которые легли в основу первого убедительного научного доклада о возникновении диссонанса.

Гельмгольц был человеком с широкими интересами. Отчасти виной тому были обстоятельства: в то время германское правительство субсидировало студентов-медиков, что побудило молодого и нуждавшегося в средствах Гельмгольца перенаправить свою страсть к физике на медицину. Такой «брак по расчету» привел к интересным результатам: Гельмгольц изучил электрическую природу движения мышц и объединил оптическую физику с физиологией в теории зрения. Акустика также предоставила возможность междисциплинарного союза, и Гельмгольц объединил свои прекрасные знания физиологии уха с математическим пониманием вибрации, из чего родилось понимание восприятия тона. В 1863 году он написал книгу «Учение о слуховых ощущениях как физиологическая основа для теории музыки» – одно из первых профессиональных научных исследований музыкальной когниции.

Гельмгольц знал, что вопрос консонанса остро стоит с древних времен. Невзирая на превратности музыкальной традиции, в девятнадцатом веке считалось общепринятым мнение, что самыми «гармоничными» интервалами диатонической шкалы являются те, что соотвествовали пифагорейским с простыми соотношениями частот 1:2 (октава), 2:3 (квинта) и 3:4 (кварта). Многие уважаемые ученые, в том числе Галилей, Фрэнсис Бэкон и Марен Мерсенн, пытались объяснить, почему эти интервалы звучат «хорошо», но ни одному из них не удалось дать исчерпывающего объяснения. Как в 1638 году писал Галилей, «некоторые пары звучат приятно, другие нет; а… другие вовсе оскорбляют слух».

Основная проблема заключалась в том, что простые положения идеальных пропорций Пифагора было сложно примирить с реальной музыкальной практикой. Наше ухо достаточно толерантно к девиациям идеалов: мы примем равномерно темперированные интервалы в качестве созвучных, даже если соотношения их частот отличаются, иногда очень сильно, от пифагоровых. И сам Гельмгольц заметил, что некоторые интервалы звучат более или менее созвучно в зависимости от инструментов, на которых их исполняют: большая терция ре-фа-диез на кларнете и гобое, писал он, звучит лучше, если кларнет играет ноты ниже, чем гобой.

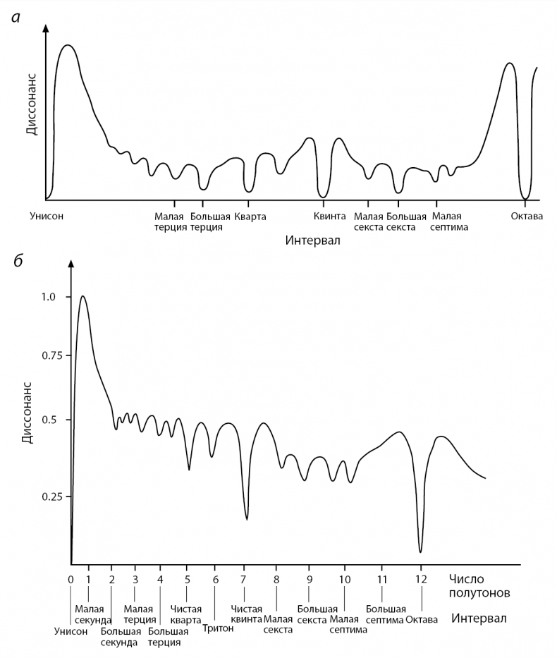
Гельмгольц понимал феномен шероховатости, вызванный биениями двух нот похожей частоты. Он подсчитал общую шероховатость всех комбинаций обертонов (до пятой октавы) по мере того, как два сложных тона становятся четко разделены на фундаментальных частотах между унисоном (соотношение 1:1) и октавой (1:2). В результате появился график шероховатости или сенсорного диссонанса с низшими точками на различных интервалах, каждый из которых может соответствовать одному из интервалов хроматической шкалы (Рис. 6.3а). Чем «круче склоны» консонантной долины, тем менее толерантен интервал к неправильной настройке. Диссонансный график Гельмгольца был обновлен с учетом информации, полученной в 1965 году голландскими исследователями феноменов психоакустики Райниером Пломпом и В. Дж. М. (Пим) Левельтом. В процессе эксперимента они просили слушателей оценить степень диссонанса между близко расположенными чистыми тонами в большом диапазоне средних частот (Рис. 6.3б).

При взгляде на эти графики нельзя не заметить, что Гельмгольц напал на какой-то след. Тот факт, что почти каждый провал на кривой в большей или в меньшей степени совпадает с диатоническими или хроматическими интервалами, и что некоторые из самых больших провалов соответствуют традиционным консонантным интервалам (октава, квинта, кварта и терция) не может быть чистой случайностью. Более того, график дает довольно разумное объяснение благозвучности малой терции, которая не появляется в гармонических рядах. Провалы обладают достаточной шириной для того, чтобы выдержать допустимую свободу настройки; также подход Гельмгольца объясняет, почему специфические комбинации обертонов – а значит, и тембр инструментов, исполняющих ноты, – необходимы для сенсорного восприятия консонанса.

Но очевидно, что на этом история не заканчивается. Обратите внимание, что глубина нескольких «консонантных» долин не слишком отличается друг от друга: октава и квинта уходят довольно глубоко. И на самом деле существует теоретическая причина (из гармонического ряда) и некоторые эмпирические доказательства идеи о том, что оба эти интервала физиологически «приятнее». Но между большой терцией, чистой квартой и большой секстой различия не так уж и велики, а на современном графике (Рис. 6.3б) практически все интервалы от большой секунды до большой септимы лежат в пределах узкой полоски диссонансных уровней (исключение составляет только чистая квинта), сюда же относятся «микротоновые тоны» в промежутках между диатоническими нотами. А чистая кварта обладает такой же степенью диссонанса, как и интервалы между малой и большой секстой или между большой секстой и большой септимой. Еще сильнее поражает тот факт, что предполагаемо неуклюжий интервал тритон выглядит менее диссонансным, чем большая или малая терция. Проще говоря, разграничивающие эти интервалы поля не обладают большими размерами и их легко можно изменять и регулировать с помощью опыта и аккультурации. На этот основании возможно предполжение, что квинты и октавы звучат хорошо, малые секунды – просто ужасно, а остальное – примерно одинаково.

Иллюстрация к книге — Музыкальный инстинкт. Почему мы любим музыку [i_081.jpg]

Рис. 6.3 Прибавляя все сенсорные диссонансы от столкновения обертонов, Герман фон Гельмгольц подсчитал шероховатость всех интервалов сложных тонов в диапазоне октавы. Провалы возникают на каждой ноте диатонической шкалы (а). Более точный график такого же рода был просчитан с использованием перцептивных диссонансных оценок чистых тонов, выполненных Пломпом и Левельтом (Рис. 6.1в). Здесь представлен результат для сложных тонов из девяти гармонических призвуков (б).


Наиболее сильный сенсорный диссонанс наблюдается близко к унисону – точнее малая секунда (например, до-до-диез) по определению должна звучать достаточно омерзительно. И вновь все зависит от регистра – подсчеты Гельмгольца сделаны для до первой октавы – но в любом случае мы не должны думать, что эти интервалы бесполезны с точки зрения музыки; а еще они необязательно звучат некрасиво. Например, их можно использовать для создания интересных тембральных и колористических эффектов. «Столкновение» двух нот, отстоящих друг от друга на полутон – форшлаг или аччакатура – часто малая секста встречается в музыке Моцарта и Гайдна (Рис. 6.4а). Хотя номинально здесь присутствует последовательный, а не одновременный (мелодический, а не гармонический) интервал, сенсорное наслоение двух нот сохранится, особенно при исполнении на пианино, где обычно играют обе ноты одновременно, но первым отпускают форшлаг. Результат нельзя назвать кошмарным, но получается все равно причудливо: возникает приятный ломаный звук, нравившийся Прокофьеву и джазовым музыкантам.

Вход
Поиск по сайту
Ищем:
Календарь