Книга Внутривенно. Что происходит с сосудами, по которым движется ваша кровь, как вылечить то, что уже болит, и не допустить проблем в будущем, страница 17 – Евгений Илюхин

Авторы: А Б В Г Д Е Ж З И Й К Л М Н О П Р С Т У Ф Х Ч Ш Ы Э Ю Я
Книги: А Б В Г Д Е Ж З И Й К Л М Н О П Р С Т У Ф Х Ц Ч Ш Щ Ы Э Ю Я
Бесплатная онлайн библиотека LoveRead.ec

Онлайн книга «Внутривенно. Что происходит с сосудами, по которым движется ваша кровь, как вылечить то, что уже болит, и не допустить проблем в будущем»

📃 Cтраница 17
Современное лечение варикозного расширения
Технические задачи лечения

Помните, что мы говорили о мотивах, то есть о целях лечения варикоза? Мы выделили четыре основные цели:

1. Улучшить внешний вид.

2. Убрать неприятные симптомы.

3. Устранить риск тромбоза варикозных вен.

4. Предотвратить развитие тяжелой венозной недостаточности с трофическими расстройствами (а если уже есть венозная язва – облегчить и улучшить результаты ее лечения).

Со вторым пунктом все неоднозначно. Устранение варикоза не всегда убирает «венозные симптомы», и, напротив, можно иногда неплохо убрать неприятные симптомы флеботропными препаратами или компрессионным трикотажем, не устраняя варикоз. Дело здесь в неопределенности, неспецифичности «венозных» симптомов. Я бы предложил смотреть на этот вопрос с такой точки зрения: варикоз нужно корректировать по другим причинам, и если заодно «уйдут» неприятные симптомы – мы получим отличный бонус к решению главных задач лечения; если же симптомы не пропадут – вероятнее всего, они и не были связаны с варикозом, и можно разбираться с ними, уже исключив одну из вероятных причин. Ведь нередко, видя варикоз, и врач, и пациент вольно или невольно все неприятности в ногах увязывают с наличием этого самого варикоза. Коррекция венозного оттока в такой ситуации как бы является дифференциально-диагностическим мероприятием, помогающим выйти на причину дискомфорта в конечностях. Конечно, такая позиция оправданна, только если исходно нет конкурентной диагностической гипотезы. Например, если мы видим типичные проявления синдрома беспокойных ног на фоне мало выраженного варикоза, и главное, что мешает пациенту жить, – это именно симптомы в ногах, а не внешний вид, – не нужно для дифференциальной диагностики сначала делать операцию на венах. Начать нужно с проверки предположения о синдроме беспокойных ног. Варикоз может подождать.

Лечение варикоза происходит за счет склеивания, удаления и заваривания больной вены, которая должна постепенно уменьшиться в размерах и в итоге совсем исчезнуть.

А вот с первым, третьим и четвертым пунктами все более определенно. Чтобы достичь поставленных целей, нужно избавиться от варикозных вен – в буквальном смысле этого слова.

Итак, технический принцип лечения варикоза – устранение больных вен, но реализуется этот принцип с помощью трех основных технологий: склеить, удалить и заварить. При этом склеивание или заваривание вен преследует ту же цель, что и их удаление, – устранение больной вены. После склеивания или заваривания в просвете вены формируется «пломба», но в дальнейшем эта запломбированная вена должна, постепенно уменьшаясь в размерах, совсем исчезнуть.

Иногда возникает некоторая путаница в терминах. Кто-то говорит «лазерная коагуляция», кто-то – «облитерация», а кто-то – «абляция». На самом деле для обозначения метода лечения варикоза это синонимы. С приходом новых технологий появляются новые термины, и требуется время, чтобы из нескольких вариантов закрепился какой-то один. На первых лазерах и световодах процессы в вене были весьма близки к «сжиганию», и появился термин «коагуляция». Так как довольно долго после обработки лазером или радиочастотным катетером вена представляла собой трубочку, облитерированную «пломбой», – появился термин «облитерация». А потом все шире наши зарубежные коллеги стали использовать термин «абляция», который подчеркивает конечный результат воздействия на вену – ее исчезновение, как бы испарение. В настоящее время в русскоязычной литературе больше распространены первые два варианта, а в профессиональной англоязычной – «абляция». Но речь идет об одном и том же.


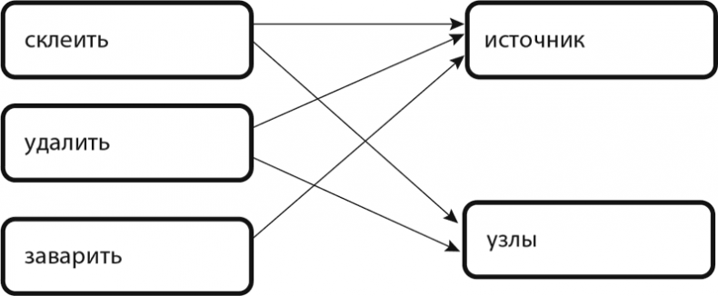
А чтобы ясно представить основные лечебные комбинации в руках современного флеболога, я напомню принципиальную схему «классического» варикоза: есть варикозные узлы и есть «источник» их наполнения, точнее, источник/проводник патологического выброса крови из глубоких вен в поверхностные.

Иллюстрация к книге — Внутривенно. Что происходит с сосудами, по которым движется ваша кровь, как вылечить то, что уже болит, и не допустить проблем в будущем [i_009.jpg]

Да, не очень наглядно получилось. Так лучше?

Иллюстрация к книге — Внутривенно. Что происходит с сосудами, по которым движется ваша кровь, как вылечить то, что уже болит, и не допустить проблем в будущем [i_010.jpg]

Если текстом – источник можно и склеить, и удалить, и заварить. Узлы можно или склеить, или удалить. Лазер и радиочастотная облитерация для извитых поверхностных вен в силу ряда причин не применяются, это не их точка приложения. Ну а конечным результатом воздействия флеболога на больную вену в идеале должно быть ее исчезновение.

Куда кровь потечет

Каждый флеболог, консультируя больных, слышит этот вопрос несколько раз в день. Как только пациент понимает, что какие-то вены в результате лечения «исчезнут», у него возникает вопрос: как и чем будет заменена функция этих вен? Некоторые пациенты уточняют вопрос замечанием о том, что зачем-то ведь природа эти вены сделала? Как же мы без них?

Больная вена не выполняет своих функций, перекладывает их на здоровые, причиняя им вред. Устранив варикоз, мы разгружаем и защищаем вены, на которые при варикозе ложилась дополнительная нагрузка.

Попробую тезисно ответить на эти вопросы.

1. При варикозе некоторые вены теряют свою функцию. Если вена варикозная – функционально ее в ноге уже нет. Если мы видим сформировавшиеся варикозные вены, то можно уверенно утверждать: за них уже работают другие вены. Это уже случилось.

2. Мы устраняем только больные вены, которые уже работают неправильно. Вопрос «куда кровь потечет?» с этой точки зрения лишен смысла, потому что она уже течет куда-то, помимо неправильно функционирующих вен. При этом, устранив больные вены, мы защищаемся от осложнений и (внимание!) разгружаем те поверхностные вены, на которые из-за извращенного варикозом кровотока ложится избыточная нагрузка.

3. Больные вены не просто не выполняют свою функцию – они начинают вредить ноге. Уже имеющиеся больные вены способствуют вовлечению в варикозную трансформацию все новых и новых сегментов венозной сети. Через больные вены реализуются осложнения варикозной болезни (например, тромбоз) и развивается венозная недостаточность. Устраняя больные вены, мы не затрудняем, а нормализуем венозный отток и защищаем пациента от осложнений.

Методы, когда и что выбрать
Что определяет выбор метода

Совершенно очевидно, что выбор метода лечения должен зависеть не только от свойств самого метода, но и от особенностей болезни, и от особенностей пациента. Лечение совершенно одинакового варикоза у пациента молодого и у пациента старческого возраста преследует разные цели и может быть совершенно различно. Для молодого пациента мы скорее предпочтем более радикальные и надежные, пусть и более агрессивные методы. В старшем возрасте нас в меньшей степени беспокоит долгосрочная перспектива и в большей – максимальное снижение травматичности вмешательства.

Реклама
Вход
Поиск по сайту
Ищем:
Календарь