Книга Универсалы. Как талантливые дилетанты становятся победителями по жизни, страница 67 – Дэвид Эпштейн

Авторы: А Б В Г Д Е Ж З И Й К Л М Н О П Р С Т У Ф Х Ч Ш Ы Э Ю Я
Книги: А Б В Г Д Е Ж З И Й К Л М Н О П Р С Т У Ф Х Ц Ч Ш Щ Ы Э Ю Я
Бесплатная онлайн библиотека LoveRead.ec

Онлайн книга «Универсалы. Как талантливые дилетанты становятся победителями по жизни»

📃 Cтраница 67
Иллюстрация к книге — Универсалы. Как талантливые дилетанты становятся победителями по жизни [i_005.jpg]

В каждой гонке, которая проходила при температуре ниже +18 °C, была зафиксирована поломка мотора. Профессор отмечает, прошла ли та или иная гонка успешно, и на основании этого бинарного критерия проводит простейший статистический анализ, знакомый всем студентам как логистическая регрессия. Он сообщает студентам, что при температуре +4 °C существует 99,4 %-ная вероятность поломки двигателя. «Кто-нибудь еще хочет принять участие в гонке?» – спрашивает он. И с этими словами сообщает следующий неожиданный факт. Данные о температурных показателях и поломках двигателя – отсылка к трагическому решению НАСА о запуске космического корабля «Челленджер», только рассматриваются они в контексте гонок, а не освоения космоса. Джейк меняется в лице. Вместо вышедшей из строя головки блока двигателя у «Челленджера» пришли в негодность резиновые герметизирующие прокладки на стыках внешней стенки ракетоподобного ускорителя, который приводил в движение корабль. При низкой температуре прокладки затвердевали и их герметизирующие свойства ухудшались. Прототипами героев ситуативной задачи послужили менеджеры и инженеры НАСА, а также операционный блок ракетного ускорителя Morton Thiokol, ставший предметом экстренной телеконференции накануне запуска корабля «Челленджер». По прогнозу погоды на 27 января 1986 года во Флориде во время запуска ожидалась необычно прохладная погода. После телеконференции НАСА и Thiokol дали разрешение на дальнейшие операции. 28 января гермитизирующая прокладка не запечатала должным образом стыки на внешней стенке ускорителя. Горючий газ вырвался через стык наружу, и «Челленджер» взорвался через семьдесят три секунды после начала своей миссии. Все семь членов экипажа погибли.

Задача «Гонка Картеров» была решена изящно и точно. Удивительно, насколько легко студенты вжились в роль инженеров, участвовавших в срочной телеконференции, на которой было принято решение о запуске. «Как и вы, никто из сотрудников НАСА или Thiokol не просил предоставить информацию о тех случаях, когда проблем не было», – поясняет он. Разумеется, такая информация существовала, и у них была та же дискуссия, что мы наблюдали в начале главы. На вашем месте я, вероятнее всего, сказал бы: «Но в классной комнате учитель, как правило, дает нам тот материал, с которым мы должны работать». Тем не менее подобное часто происходит на общих собраниях, где человек, который подготовил презентацию, представляет вам сведения, а мы зачастую просто используем эти данные. Я бы даже сказал, что нам не следовало бы спрашивать: «Это те данные, которые нужны нам для принятия такого-то решения?»

Президентская комиссия, которая расследовала катастрофу «Челленджера», заключила, что если просто включить в анализ полеты, в которых не было поломок, то можно выявить связь между повреждением герметизирующей прокладки и изменениями температуры. Профессор психологии производства Чикагского университета писал, что упущенные данные были настолько базовой ошибкой, что «это стало профессиональной слабостью всех участников» телеконференции:

«Аргументы против запуска при низкой температуре можно было обосновать количественными показателями, но никто этого не сделал».

Из этого он заключил, что инженеры были недостаточно образованны.

Книга социолога Дайен Воган «Решение о запуске «Челленджера» в самом НАСА считается самым авторитетным отчетом о случившейся трагедии. «Еще больше поражает свидетельство о том, что у них были все необходимые данные, – говорится в этом отчете. – Были графики [которые ряд инженеров Thiokol, настаивавших на переносе запуска] не могли себе представить, как не могли подумать, что, если бы эти графики были построены, они представляли бы собой количественные корреляционные данные, необходимые для обоснования их заключения».

Профессора бизнеса со всего света тридцать лет задают своим студентам задачу о гонке Картеров – потому что она заключает в себе жесткий урок о том, как опасно строить выводы на неполных данных и как глупо основываться только на том, что у тебя перед глазами.

А теперь – последний сюрприз. Все они ошибались. Решение о запуске «Челленджера» не было результатом ошибочного количественного анализа. Истинная ошибка НАСА заключалась в том, что они слишком доверились количественному анализу.

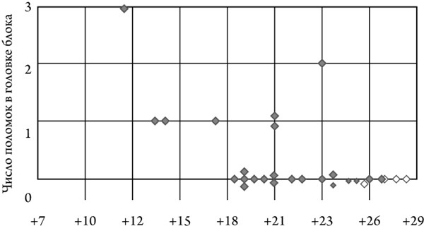
До зажигания кольцевые герметизирующие прокладки корабля были зажаты между стыками элементов ускорителя. В момент зажигания горючий газ вырвался из дверцы ускорителя. Металлические стенки, прилегающие к ускорителю, разлетелись в долю секунды, и в этот момент резиновые прокладки немедленно раздулись, заполняя собой пространство и запечатывая стыки. Когда же прокладки остыли, резина затвердела, и они не могли растянуться обратно с той же скоростью. Чем холоднее прокладка, тем дольше стык остается незапечатанным и тем вероятнее, что горючий газ прорвется сквозь стенки ускорителя. Но даже в этом случае температура, как правило, не имеет значения; прокладки были защищены специальным изолирующим порошком, который должен был блокировать газ и не давать ему проникнуть к ним. Корабль совершил уже семнадцать успешных полетов – совсем как братья Картеры, семнадцать раз участвовавшие в гонках без поломок в двигателе, – порошок отлично работал. Таким образом, успешные полеты не были источником информации о том, как герметизирующие прокладки могут выйти из строя, независимо от температуры, потому что горючий газ не мог даже проникнуть в место расположения прокладок и вызвать проблемы. Однако иногда в момент сборки элементов в порошке образовывались небольшие отверстия. К седьмому полету, в котором наблюдались проблемы с прокладками, горючий газ проник в отверстия в защитном порошке и достиг прокладок. Таким образом, только данные об этих семи поломках являются релевантными в ответе на вопрос, как могут выйти из строя или повредиться резиновые прокладки.

И в этих семи полетах космического корабля – в отличие от «Гонки Картера», где всякий раз ломалась головка блока, – резиновые прокладки выходили из строя по-разному. В первом случае имела место эрозия. К пятому полету горючий газ, прорвавшийся через ускоритель к зажиганию, задел прокладки и разъел резиновую поверхность. Эта ситуация не была из категории «между жизнью и смертью». Для того чтобы резиновая прокладка справилась со своей задачей, было достаточно резины. К тому же эрозия никак не была связана с температурой.

Второй тип неисправности: утечка газа. Если резиновые кольца не расширялись мгновенно, полностью запечатывая стык в момент зажигания, то горючий газ просачивался через них и мог прорваться через стенки ускорителя. «Утечка» относилась к тем самым ситуациям «между жизнью и смертью», и, как позже узнали инженеры, с понижением температуры она только усугубилась из-за затвердевания резины. Утечка была зафиксирована и во время двух подготовительных полетов «Челленджера», но весь экипаж вернулся домой целым и невредимым.

Инженеры компании Thiokol, которые на переговорах выступили против запуска, на самом деле не владели подробной информацией обо всех двадцати четырех случаях выхода из строя прокладок, как говорится в задаче о гонке Картеров. У них не было даже семи, как у студентов Гарвардской школы. У них было всего два. Итак, о чем нам говорит график?

Реклама
Вход
Поиск по сайту
Ищем:
Календарь