Книга Гормоничный ребенок. Рекомендации от практикующего детского эндокринолога, страница 33 – Юлия Сидорова

Авторы: А Б В Г Д Е Ж З И Й К Л М Н О П Р С Т У Ф Х Ч Ш Ы Э Ю Я
Книги: А Б В Г Д Е Ж З И Й К Л М Н О П Р С Т У Ф Х Ц Ч Ш Щ Ы Э Ю Я
Бесплатная онлайн библиотека LoveRead.ec

Онлайн книга «Гормоничный ребенок. Рекомендации от практикующего детского эндокринолога»

📃 Cтраница 33

Что же делать? Собрать анамнез! Обследовать родственников, измерить уровень ТТГ (который при данном состоянии будет нормальным).

Что говорит наука по поводу этого состояния? Были описаны несколько пациентов с таким заболеванием. Первый случай – 4-летний ребенок, у которого отмечались учащение сердцебиения и гиперактивность. Есть более крупная работа с участием 29 пациентов, у которых не отмечалось никаких клинических особенностей, кроме увеличения размеров щитовидной железы у пяти участников исследования.

Лечить это заболевание, конечно же, не надо.

Если мы посмотрим под микроскопом на щитовидную железу, то увидим, что железа состоит из множества мелких фолликулов, внутри которых коллоид. Этот коллоид будет служить своеобразным резервуаром для синтеза и хранения гормонов щитовидной железы.

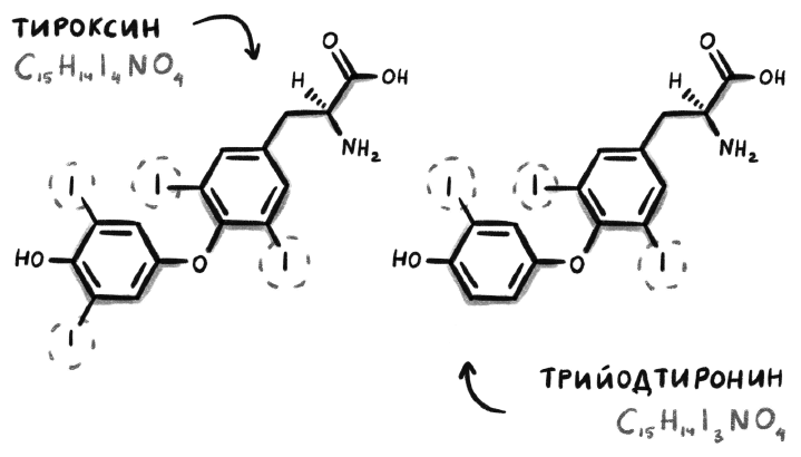
Кстати, у всех на слуху, что щитовидная железа вырабатывает тироксин и трийодтиронин, но в щитовидной железе есть еще один тип клеток, которые располагаются рядом с фолликулами и синтезируют кальцитонин. Этот гормон регулирует обмен кальция и фосфора и является одним из маркеров злокачественных опухолей щитовидной железы.

Не забываем про начальника щитовидной железы – гипофиз, который вырабатывает много ТТГ, если щитовидная железа вздумает лениться. Если функция щитовидной железы недостаточно хороша, то концентрация ТТГ будет высока – такое состояние называется гипотиреозом. А если щитовидная железа работает на износ, выполняя «пятилетние планы», гипофиз удивляется такой работоспособности и перестает стимулировать щитовидную железу – зачем? ТТГ становится низким – такое состояние называется тиреотоксикоз.

11.2. Йод

Этот микроэлемент входит в структуру гормонов щитовидной железы. В названиях – Т3 и Т4 – указано количество атомов йода, входящих в состав этих гормонов.

Иллюстрация к книге — Гормоничный ребенок. Рекомендации от практикующего детского эндокринолога [i_009.jpg]

Йод поступает только с пищей и не синтезируется самостоятельно внутри нашего организма.

Нормы суточного потребления йода составляют:

• дети от 0 до 2 лет – 90 мкг;

• дети от 2 до 12 лет – 120 мкг;

• взрослые – 150 мкг;

• беременные и кормящие – 250 мкг.


Идеально, если вы живете у моря, каждый день наслаждаетесь морепродуктами, любите салат из морской капусты, а рыба для вас – любимое блюдо. Но у большинства совсем другие пищевые привычки, а некоторые дети на вид не переносят рыбу и морепродукты.

Территория Российской Федерации находится в зоне йодного дефицита (однако в каких-то регионах дефицит выражен сильнее, в каких-то – слабее). Морские водоросли – это хорошо, однако йод из них усваивается очень плохо.

Как определить, что вашему организму не хватает йода? К сожалению, такого анализа не существует. Исследование йодурии (содержание йода в моче) имеет смысл только при проведении популяционных исследований. Йодная сеточка, которую наносят на ночь и утром, оценивает степень поглощения кожей йода – тоже странный метод (а как оценивать результаты теста при разном цвете кожи?). Просто нужно смириться с тем, что мы живем в зоне дефицита йода.

Нужно ли восполнять дефицит йода? Безусловно.

Потому что без йода:

• может нарушаться интеллектуальное развитие ребенка;

• могут снижаться умственные способности;

• могут образовываться узлы в щитовидной железе (с изменением или без изменения гормональной функции).


Беременным и кормящим женщинам очень важно дополнительно принимать препараты йода, потому что этот микроэлемент необходим для синтеза гормонов щитовидной железы плода и младенца.

Значит ли это, что пора атаковать аптеки и скупать препараты йода, фанатично следя за ежедневным приемом? Скорее нет, чем да, потому что в некоторых случаях действительно может понадобиться прием препаратов йода, но только после обследования и совместного принятия решения вместе с лечащим врачом.

Решение этой проблемы есть – это дешево, эффективно и массово. Речь идет о всеобщем йодировании соли. Благодаря этому методу страны Юго-Восточной Европы и почти все государства бывшего СССР решили проблему йоддефицита. Однако в России нет закона об обязательном йодировании соли, и 30 % школьников имеют увеличение щитовидной железы без нарушения функции (при норме 5 %).

К слову, до 1990 года в России соль была йодирована, и, возможно, в ближайшем времени нас ждет возвращение к этой практике.

Очень часто слышу о том, что йодированная соль – это глупый маркетинг. Нет, это не так. Это проверенный способ обеспечить вашу щитовидную железу необходимым количеством йода.

Давайте разбираться подробнее.

Соль – это то, что постоянно есть у нас под рукой. Салатик? Добавим соль! Супчик? Посолим! Поэтому йодировать соль для массовой борьбы с дефицитным состоянием – это мудрое решение.

Да, грудничку соль не дашь, поэтому, если вы кормите грудью, принимайте дополнительно препараты йода, а если ребенок на искусственном вскармливании, не переживайте, ведь смеси имеют в своем составе необходимый йод. Позже, с введением прикорма, вы встретитесь с тем, что йодом обогащают и детские каши!

Но мы помним, что избыточное потребление соли – это риск развития артериальной гипертензии! ВОЗ не рекомендует прием соли более 5 г/сут. Что же делать?

Нужно выбирать йодированную соль, концентрация йода в которой 2040 мкг/г. Пять граммов такой соли содержат необходимое суточное количества йода (150–200 мкг), что защищает вас от артериальной гипертензии и профилактирует йоддефицит.

Вы можете бояться переизбытка йода, только если употребляете более 50 граммов йодированной соли в чистом виде в сутки. Это примерно 10 чайных ложек! Конечно, ни один здравомыслящий человек не употребляет столько соли, а если и употребляет, то там уже не до переизбытка йода.

Что касаемо морской соли – читайте этикетки! Морская соль может быть как йодированной, так и нет. Обычно в процессе обработки (очистки, сушки) природный йод из морской соли «исчезает», а если производитель хочет выпустить на рынок йодированную морскую соль, необходимо йодировать ее заново искусственным способом.

Многие из нас встречаются с мнением, что, если держать соль долго в закрытой солонке, йод начнет улетучиваться. И если бы такое сказали в 1970-х годах, это можно было бы назвать правдой. Сейчас же в соль добавляют более устойчивое соединение йода – йодат калия, поэтому ни свет, ни долгие месяцы хранения ему не страшны.

Поэтому если вам дорога работа вашей щитовидной железы – купите йодированную соль!

Вход
Поиск по сайту
Ищем:
Календарь