Книга Мотивация человека, страница 229 – Дэвид Макклелланд

Авторы: А Б В Г Д Е Ж З И Й К Л М Н О П Р С Т У Ф Х Ч Ш Ы Э Ю Я
Книги: А Б В Г Д Е Ж З И Й К Л М Н О П Р С Т У Ф Х Ц Ч Ш Щ Ы Э Ю Я
Бесплатная онлайн библиотека LoveRead.ec

Онлайн книга «Мотивация человека»

📃 Cтраница 229

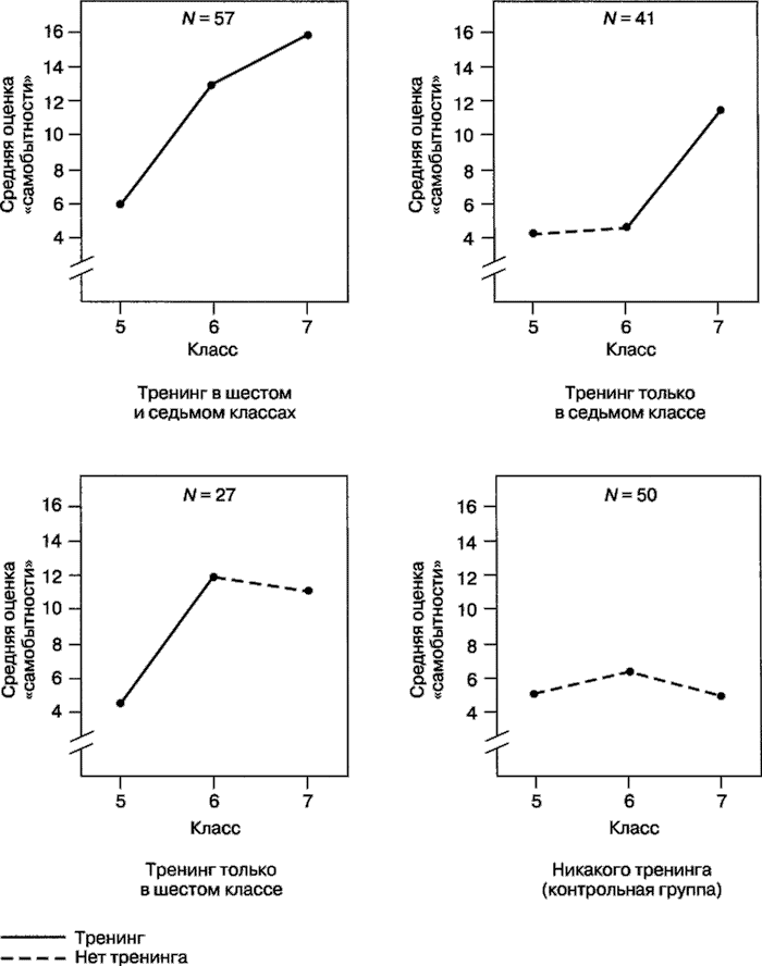
Однако наиболее заметно тренинг «самобытности» повлиял на способность мыслить так, как мыслит «самобытный» человек, и на результаты тестов достижений. Как следует из графиков, представленных на рис. 14.8, средняя оценка «самобытности» сразу после мотивационного тренинга возрастала как в 6-м, так и в 7-м классе. Более высокая средняя оценка «самобытности» учащихся, прошедших тренинг, в 8-м классе несколько падала, к 11-му классу это падение становилось более заметным (после 7-го класса никакого тренинга не было), но все же была значительно выше, чем средняя оценка учащихся, не прошедших тренинга (deCharms, 1980).

Система обсчета «самобытности» позволяет оценить по сочинениям внутренний контроль, внутреннюю постановку целей и выбор действий, направленных на их достижение, восприятие реальности, личную ответственность и уверенность в собственных силах. Например, оценка «самобытности» приведенного ниже сочинения очень высока.

Мальчик думает о том, чтобы сделать подарок своей маме.

Чтобы заработать деньги, он берется за три работы, невзирая на то, что это трудно будет

сделать, и то, сколько на это потребуется времени.

Он хочет сделать маме самый хороший подарок.

Он купит ей что-нибудь многозначительное и красивое (deCharms, 1980).

По этому сочинению можно обсчитать внутренний контроль, потому что имеют место полностью внутренне мотивированное решение, подход и решение проблемы. Мальчик внутренне ставит перед собой собственную цель, совершает инструментальные действия, необходимые для ее достижения (находит «три работы»), демонстрирует восприятие реальности (он понимает, что у него нет денег), личную ответственность за свои усилия («невзирая на то, как трудно будет заработать деньги и сколько на это потребуется времени») и заботу об окружающих («он хочет сделать маме самый хороший подарок»). Уверенность в себе выражена в последнем предложении.

Иллюстрация к книге — Мотивация человека [i_119.jpg]

Рис. 14.8. Средняя оценка «самобытный» человек до и после мотивационного тренинга (deCharms, 1976)


От начала и до конца мальчик действует как «самобытный» человек, и результат его действий оказывает эмоциональное воздействие на его маму, а это значит, что в сочинении есть сила образа. Это сила мышления определенно социализированного типа, и можно ожидать благодаря повышенному вниманию к личной ответственности за других, что оценка «самобытности» будет коррелировать с оценкой силы социализации (s Power) (см. главу 8). Так и есть. Уитткофф показал, что в шестом классе тренинг «самобытности» увеличивает оценку силы социализации и уменьшает индивидуализированную силу (personalized power — р Power) по сравнению с тем, что было в пятом классе (Wittcoff, 1980). Оценка силы социализации, как отмечалось в главе 8, ассоциируется с высоким торможением активности, а индивидуализированная сила — с низким торможением активности. В одной из выборок Дечармса, в которой был 21 ученик с высоким торможением активности, коэффициент корреляции потребности во власти и оценок «самобытности» составляет 0,36 (р < 0,10). Для равной по численности выборки учащихся с низким торможением активности коэффициент корреляции этих двух параметров равен лишь 0,12. Следовательно, есть основания полагать, что оценка «самобытности» отражает что-то из той же самой характеристики, которая измеряется оценкой силы социализации. Обе подчеркивают наличие ответственности за окружающих.

Как следует из данных, представленных на рис. 14.9, тренинг «самобытности» оказывает заметное влияние на академическую успеваемость.

Иллюстрация к книге — Мотивация человека [i_120.jpg]

Рис. 14.9. Среднее квадратичное отклонение от распределения по классам (Тест базовых навыков штата Айова) для учащихся, прошедших тренинг «самобытности» в 6-м и 7-м классах и не прошедших его (deCharms, 1980)


Измерение основано на тесте базовых навыков штата Айова, предназначенном для выявления того, соответствуют ли дети уровню того класса, в котором они учатся. Нетренированные учащиеся этого штата очень сильно отстают от этого уровня, и, наконец, к 7-му классу они в среднем на 10 месяцев отстают от уровня, соответствующего этому классу. Иная ситуация с учащимися, которые в 6-м и 7-м классах прошли тренинг «самобытности» (deCharms, 1980). К концу 8-го класса — через год после того, как тренинг закончился, — они находились в среднем на уровне, ожидаемом для этого класса.

Чтобы определить, какая часть тренированных и нетренированных учащихся окончила среднюю школу, Дечармс следил за своими испытуемыми еще на протяжении нескольких лет (deCharms, 1980). Как следует из данных, представленных на рис. 14.10, в этом регионе лишь немногие учащиеся получили среднее образование. Сказанное в первую очередь относится к мальчикам: из тех, кто не прошел тренинга «самобытности», среднюю школу окончили немногим более 20 % (0 лет тренинга «самобытности» на рис. 14.10).

Иллюстрация к книге — Мотивация человека [i_121.jpg]

Рис. 14.10. Зависимость количества выпускников средней школы от продолжительности тренинга «самобытности» (deCharms, 1980)


Количество девочек, окончивших среднюю школу, выше, и тренинг «самобытности» лишь незначительно увеличивает эту цифру. Однако среднее образование получили значительно больше мальчиков, прошедших тренинг «самобытности». И в данном случае влияние тренинга «самобытности» заметно, потому что оно проявилось спустя примерно пять лет после того, как он состоялся. Можно также говорить и об эффективности финансовых затрат, поскольку небольшие краткосрочные вложения в тренинг приводят к увеличению числа людей со средним образованием, что должно оказать заметное влияние на материальное положение этих людей в будущем.

Как и следовало ожидать на основании этих данных, индивиды, чьи оценки «самобытности» после тренинга были высоки, значительно успешнее (для своего класса) прошли тестирование по тесту базовых навыков штата Айова, чем те, кто отказался от тренинга и чьи оценки «самобытности» остались низкими. «Самобытные» от природы индивиды, т. е. те, чьи оценки «самобытности» были высоки даже до тренинга, прошли тестирование лучше всех, далее следуют те, чьи оценки «самобытности» поднялись от низких до высоких; хуже всех прошли тестирование те, чьи оценки «самобытности» после тренинга не изменились. Даже среди нетренированных групп те, кто от природы были достаточно «самобытными», значительно успешнее прошли тестирование по тестам достижений, чем те, чьи оценки «природной самобытности» были низкими. Складывается впечатление, что «самобытное» мышление «является посредником» между тренингом и улучшением академической успеваемости.

Дечармс также разработал опросник, который позволил ему определить, воспринимают ли учащиеся своего учителя как человека, создающего в классе «самобытный» климат. Например, такое утверждение, как «Учительница позволяет нам пробовать выполнять работу по-новому», с точки зрения «самобытного» климата оценивается позитивно, а утверждение «Учительница недовольна, когда мы не работаем так, как хочет она» оценивается негативно. Автор нашел, что учителя, прошедшие мотивационный тренинг, воспринимались своими учениками как педагоги, создающие классы с более ярко выраженным «самобытным» климатом. И последнее. Наблюдалась довольно тесная корреляция между воспринимаемыми оценками «самобытного» климата в классе и академической успеваемостью учащихся (deCharms, 1976). Все эти зависимости, эмпирически выявленные Дечармсом, обобщены на рис. 14.11.

Вход
Поиск по сайту
Ищем:
Календарь