Книга Иммунитет умнее мозга. Главная система нашего организма, страница 34 – Евгений Качаровский

Авторы: А Б В Г Д Е Ж З И Й К Л М Н О П Р С Т У Ф Х Ч Ш Ы Э Ю Я
Книги: А Б В Г Д Е Ж З И Й К Л М Н О П Р С Т У Ф Х Ц Ч Ш Щ Ы Э Ю Я
Бесплатная онлайн библиотека LoveRead.ec

Онлайн книга «Иммунитет умнее мозга. Главная система нашего организма»

📃 Cтраница 34

Но имелся один нюанс. В официальной статистике учитывались только те диагнозы, которые были подтверждены при помощи уже известного вам метода ДНК-зондов. Метод недешевый, небыстрый, требует дорогостоящего оборудования. Поэтому многие случаи «свиного» гриппа не были охвачены официальной статистикой. Если бы диагноз гриппа ставился по клинике, как это делали в былые времена, то количество заболевших было бы гораздо больше и число умерших от гриппа во время этой вспышки было бы гораздо больше официально объявленных 1906 человек. Так что пандемия 2009 года официально продолжает считаться не эпидемией, а именно пандемией.

Историческую часть на этом можно считать законченной.

Переходим к непосредственному знакомству с вирусами гриппа, которых в настоящее время известно более 2000 разновидностей.

Эти разновидности, по-научному называемые серотипами, различаются между собой антигенным спектром. Каждая разновидность обладает своими, индивидуальными белками-антигенами, против которых иммунная система организма вырабатывает антитела.

Принято считать, что к гриппу не вырабатывается стойкого иммунитета, но на самом деле это не так. Перенесенный грипп, оставляет после себя стойкий, зачастую – пожизненный иммунитет к данному серотипу вируса. К данному серотипу, а не ко всем вирусам гриппа вообще, ведь антигены у серотипов разные. Вирус гриппа очень быстро мутирует и меняет свои «визитные карточки», поэтому в следующий раз человек встречается уже с новой разновидностью вируса, которую иммунная система распознать не может.

Высокая изменчивость вируса гриппа создает проблемы с противогриппозной вакцинацией, потому что прошлогодняя вакцина (условно) в нынешнем году не поможет, а на создание вакцины и производство нужного количества требуется определенное время. Всемирная организация здравоохранения прогнозирует изменения, которые должны произойти с вирусом гриппа и ежегодно рекомендует производителям новый состав так называемой «трехвалентной вакцины», называя три штамма вируса, на основе которых она должна создаваться. Такая рекомендация дается за полгода до начала вакцинации, чтобы к моменту вспышки гриппа обеспечить население нужным количеством вакцины. Прошлогодние противогриппозные вакцины, если кто не в курсе, для прививок никогда не используются. [52]

Название «грипп» – французское, образованное от слова «gripper» – «царапать когтями». Итальянское название «инфлюэнца» происходит от «influenza di freddo» – «влияние холода». Оба названия точные. Грипп действительно дерет человека когтями, и вспышки его происходят в холодное время года.

Существует 4 типа вирусов гриппа – A, B, C и D. Вирусы гриппа A и B для нас с вами имеют наибольшее значение, поскольку именно они вызывают сезонные эпидемии. Особой изменчивостью, а, стало быть, и особой вредностью, отличается вирус А, который был виновником всех пандемий гриппа.

Вирион гриппа невелик – диаметр его колеблется в пределах от 80 до 120 нанометров. Форма вириона сферическая, а суперкапсид имеет шипы, образованные молекулами гемагглютинина и нейраминидазы.

Оба эти вещества являются гликопротеидами – комплексами белков и олигосахаридов. [53]

Гемагглютинин дает вирусу возможность прикрепления к клетке-жертве. Также с помощью гемагглютинина осуществляется перенос вирусного генетического материала внутрь клетки. В широком смысле гемагглютинином называется любое вещество, вызывающее реакцию агглютинации эритроцитов. Вирус гриппа не паразитирует в эритроцитах, но его белок прикрепления в лабораторных условиях способен вызывать агглютинацию эритроцитов и потому получил название «гемагглютинин».

Нейраминидаза – это фермент, разрушающий рецепторы, с которыми связывается гемагглютинин вируса. Зачем вирусу нужно разрушать рецепторы, при помощи которых он прикрепляется к эритроцитам? Таким образом нейраминидаза помогает вирусной РНК проникнуть в клетку, а еще она нужна для облегчения высвобождения вновь образованных вирусных частиц, для их «отлипания» от поверхности зараженных клеток.

Генетическое досье вируса гриппа содержится в короткой молекуле РНК. Вирус может проникать в клетку как посредством «насильственного» эндоцитоза, так и посредством слияния его суперкапсида с клеточной мембраной.

«Тиражирование» вируса гриппа происходит в ядре и на рибосомах. Этот процесс имеет свои особенности. Вы уже настолько продвинутые вирусологи, что можете рассмотреть его во всех подробностях.

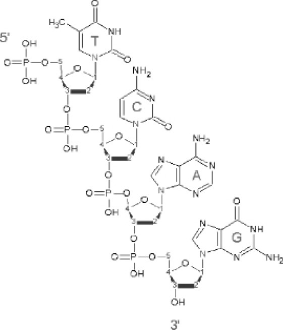
Начнем с того, что цепи нуклеиновых кислот обладают таким свойством, как полярность.

Внутри цепи соседние мономеры-нуклеотиды соединены так называемыми фосфодиэфирными связями, которые формируются в результате взаимодействия между 3’-гидроксильной (3’—ОН) группой молекулы дезоксирибозы одного нуклеотида и 5’-фосфатной (5’—РО3) группой другого.

Вы можете особо не вникать в эту премудрость. Важно просто понимать, что мономеры в молекулах нуклеиновых кислот связываются друг с другом, условно говоря, разными руками. Тому соседу, который протянул мономеру левую руку, мономер протягивает правую, а тому, который протянул мономеру правую руку, мономер протягивает левую. В результате на одном конце цепи окажется мономер со свободной правой рукой (3’-гидроксильной (3’—ОН) группой), а на другом – мономер со свободной левой рукой (5’-фосфатной (5’—РО3) группой).

Давайте еще упростим и будем обозначать связи-«руки» как 3’ и 5’. Произносится это как «три прайм» и «пять прайм». Три прайм – это условная правая рука, а пять прайм – левая.

Иллюстрация к книге — Иммунитет умнее мозга. Главная система нашего организма [i_017.jpg]

Фрагмент цепи ДНК (крупными латинскими буквами обозначены азотистые основания)


Ферменты-полимеразы, которые «собирают» копии нуклеиновых кислот, способны присоединять новый нуклеотид только к 3’ концу цепи. То есть они способны работать только в одном направлении и синтез любой нуклеиновой цепи может идти только в направлении от 5’ к 3’.

В двуцепочечных молекулах ДНК комплементарные цепи располагаются антипараллельно, то есть они обратно полярны друг другу. На каждом конце молекулы у одной цепи свободна связь 3’, а у другой 5’. И синтезируемая на матрице нуклеиновая цепь-копия тоже должна быть комплементарна матрице, поэтому сборка в направлении от 5’ к 3’ начинается с 3’-конца вирусной нуклеиновой кислоты (в нашем условном обозначении – справа налево).

В одноцепочечных молекулах вирусных ДНК и РНК, то есть – при наличии у вируса только одной нуклеиновой матрицы, имеет значение ее полярность, порядок кодирования информации о вирусе. Если порядок «правильный», если ферменты, считывающие информацию только в направлении «справа налево» могут использовать молекулу вирусной нуклеиновой кислоты как матрицу, то говорят о положительной полярности нуклеиновой кислоты. Если же информация закодирована в обратном порядке, то она не может быть использована для синтеза РНК-матриц, потому что ферменты не могут двигаться в обратном направлении (слева направо). Такая нуклеиновая кислота имеет отрицательную полярность.

Вход
Поиск по сайту
Ищем:
Календарь