Книга Миллион за теорему!, страница 78 – Елена Липатова

Авторы: А Б В Г Д Е Ж З И Й К Л М Н О П Р С Т У Ф Х Ч Ш Ы Э Ю Я
Книги: А Б В Г Д Е Ж З И Й К Л М Н О П Р С Т У Ф Х Ц Ч Ш Щ Ы Э Ю Я
Бесплатная онлайн библиотека LoveRead.ec

Онлайн книга «Миллион за теорему!»

📃 Cтраница 78

Бард пожал плечами:

– Не знаю. Конец оторван. А может, его и не было. А вообще-то странная получилась песенка, тебе не кажется?

Бекки потрясённо молчала. Ей хотелось сказать, что Бард – гений, что так он никогда не пел и не играл и как она ему благодарна за комок в горле!..

– Это… Это лучшее, из всего… Самое твоё лучшее! – пробормотала она.

Иллюстрация к книге — Миллион за теорему! [i_049.jpg]
Часть пятая
Колесо фортуны
Иллюстрация к книге — Миллион за теорему! [i_050.jpg]
Глава 1
Финал!!!
Вот уже другого ввысь
колесо возносит…
Эй, приятель! Берегись!
Не спасёшься! Сбросит!
С нами жизнь – увы и ах! —
поступает грубо.
И повержена во прах
гордая Гекуба.
«Колесо Фортуны». Поэзия вагантов [15]

Тригонометрические формулы она доучивала вечером накануне финала. Проверял её Вилли, упрямо нацепив на нос свою гордость – очки. Очки были дешёвые, с толстыми мутными стёклами, сквозь которые Вилли явно ничего не видел, поэтому он жульничал: поднимал очки на брови, а в учебник заглядывал снизу, из-под оправы.

– Сними ты их! – ворчала Марита. – Нацепил колёса и радуется.

– Цыц! Много ты понимаешь! Ну-с, проверим формулы этого… двойного аргумента. Чему равняется син два икс?

– Син? То есть синус? Да знаю я это! – сердилась Бекки. – Ты трудное спроси!

– Трудное так трудное, – соглашался Вилли, переворачивая страницу. – Чему равняется… гм… тут неразборчиво… стд два икс?

– Какие «стд»?

– А шут его знает! Может, ошибка?

Бекки заглянула в таблицу.

– А, понятно. Это не «стд», а котангенс.

– Баста! – захлопнул учебник Вилли и с облегчением снял очки. – Ты вот что, девонька… Ложись-ка ты спать. Утро вечера мудренее.

…Сон пришёл сразу – глубокий и спокойный.

В семь часов Бекки проснулась, как по звонку. Формулы за ночь улеглись в голове, словно она с ними родилась. Никакого волнения, даже наоборот: было весело, хотелось раскинуть руки и кружиться по комнате.

– Никак, проснулась? – буднично спросила из-за занавески Марита. – Вот и славно!

Вилли тоже будто забыл про финал. Ищет рукавицы и, по обыкновению, ворчит. Хоть бы удачи пожелал!

– Ты вот что… – бормочет он уже из сеней. – Ты там того, не тушуйся. Не боги горшки…

Вилли неловко обнял Бекки, смущённо хмыкнул и вроде расстроился. Суетливо сунул руку в один карман, потом в другой.

– Да куда ж это я их подевал? Вечно с вами ничего не найдёшь!


Город сиял всеми своими витринами, окнами и балконами. Толпы болельщиков окружили здание Королевского театра, на сцене которого должна была разыграться битва за первенство.

– Билетик! Последний лишний билетик! – пропел оперным басом приличного вида господин с тростью.

На него набросились, окружили со всех сторон.

– Сколько?!

– Да ты Бога побойся!.. Это ж на галёрке! Ему в кассе цена – три с полтиной.

Господин с тростью снисходительно улыбнулся:

– Можно и в кассе, можно и за три с полтиной.

– Дак там всё продано!..

– Дорогу! Дорогу! А ну посторонись!

Толпа раздалась, образовав широкий коридор. По нему проскакали всадники в парадных мундирах, следом показалась карета с королевским гербом.

Грохнули трубы. Бабахнул барабан.

Тщедушный барабанщик размахнулся и изо всех сил влепил колотушкой по кожаной мембране – словно хотел во что бы то ни стало пробить её насквозь!

В небе махали хвостами воздушные змеи, расписанные синусами и косинусами.

– Эт-то ещё что такое? – прорычал капитан полиции. – Шпаргалки? Снять немедленно!

Несколько мелких чинов бросились в толпу ловить хозяев змеев. Да где уж им!


Бекки сидела на скамейке в комнате за сценой. Через десять минут всё начнётся. Кажется, никто не волнуется. Или они делают вид? Карл Риган с блондинистым Эриком негромко о чём-то спорят:

– …Да нет, не думаю. В командном зачёте у них проходной балл…

– …А вот Мартин считает… Нам нужно укрепить состав…

Это они про весенний чемпионат в Лондоне. И как они могут сейчас думать о таких вещах?

– …Да вот хоть Арона! Он, конечно, новичок, но с мозгами.

Бекки прижала ладони к щекам. Она так и не научилась скрывать свои чувства: щёки вспыхивают при малейшем волнении, как будто на них брызнули краской.

– Финалистам приготовиться! – кричит распорядитель. – По сигналу выходите на сцену, делаете круг и останавливаетесь лицом к залу. Ну, парни, с Богом!

* * *

Одиннадцать чёрных досок на сцене, предпоследняя под номером десять – её. Рядом переминается с ноги на ногу Тринадцатилетка. Ему явно не по себе: лицо белое, как у привидения, а глаза испуганные.

Ассистенты в синих ливреях вносят подносы с конвертами. Конверт можно вскрыть только по сигналу. А дальше – как получится.

– Погоди, не торопись, – говорит ей ассистент. – Проходи за доску, там и будешь решать.

…За доской оказалось небольшое отгороженное помещение со столом и скамейкой. На столе – стопка бумаги и остро отточенные карандаши. А ещё – символические песочные часы, которые она сама должна перевернуть, чтобы следить за временем.

Звонок!

Бекки судорожно рванула конверт, перевернула часы и вытащила листок с заданиями.

И сразу успокоилась.

Десять разминочных задач показались ей несложными. Правда, и времени у неё не густо: 15 минут на всё.

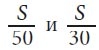
Поезд из A в B ехал со скоростью 50 км/ч, а обратно возвращался со скоростью 30 км/ч. Какова его средняя скорость?

Ха!.. Неужели составители надеются, что среди финалистов (!) найдутся простаки, которые сложат 50 и 30 и поделят сумму на два? Бард, наверное, так бы и сделал… А тут всё-таки немного сложнее. Без алгебры не обойтись… Пусть расстояние между А и В будет S. Тогда время туда и обратно будет:

Иллюстрация к книге — Миллион за теорему! [i_051.jpg]
Реклама
Вход
Поиск по сайту
Ищем:
Календарь