Книга Фитотерапия при заболеваниях сердца. Травы жизни, страница 78 – Елена Корсун, Татьяна Трумпе, Юлия Коршикова, и др.

Авторы: А Б В Г Д Е Ж З И Й К Л М Н О П Р С Т У Ф Х Ч Ш Ы Э Ю Я
Книги: А Б В Г Д Е Ж З И Й К Л М Н О П Р С Т У Ф Х Ц Ч Ш Щ Ы Э Ю Я
Бесплатная онлайн библиотека LoveRead.ec

Онлайн книга «Фитотерапия при заболеваниях сердца. Травы жизни»

📃 Cтраница 78
Иллюстрация к книге — Фитотерапия при заболеваниях сердца. Травы жизни [i_018.jpg]

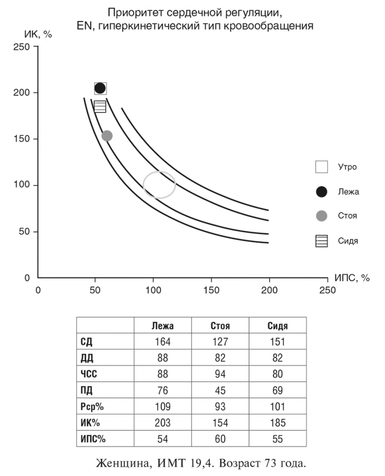
Рис. 2. Система координат Н.И. Аринчина, связывающая ИК%, ИПС% и Рср%


Фитотерапия. Направления лечения следующие:

• Нормализация мозгового кровообращения (ликвидация артериальной и венозной ишемии головного мозга), стресс-протекция, растения с седативными свойствами, уменьшающие возбудимость СНС. С этой целью мы назначаем «Таблетки для ума», состоящие из чаги, шизонепеты, астрагала перепончатого, левзеи, родиолы розовой, многоколосника молдавского, имбиря, таволги, омелы, розмарина, майорана.


Таблица 14. Клинический пример пациентки с АГ на фоне гиперкинетического типа кровообращения

Иллюстрация к книге — Фитотерапия при заболеваниях сердца. Травы жизни [i_019.jpg]

• Растения-антиоксиданты, капилляроукрепляющие, витаминные растения, содержащие фенольные соединения (флавоноиды), – лабазник, душица, тимьян, календула. Эти растения защищают эндотелий сосудов от повреждения и развития атеросклероза, предупреждают образование активных форм кислорода в условиях гипоксии.

• Противовоспалительные, детоксикационные (корень солодки, лопуха, одуванчика, алтея, семя льна) и сокогонные горечи (белковые анаболики), растения, нормализующие обменные процессы, повышенную мембранную проницаемость (зюзник).

• Кардиотоники (пустырник, мелисса, лабазник, розмарин, желтушник).

• Препараты магния и калия, серы (АЦЦ, ДМСО), метилирующие агенты (диметилглицин, бетаин) – так как повышенные траты на синтез адреналина и повышенный риск предраковых состояний и рака, насыщенные жиры, кетогенная диета, витамин Е, бета-каротин, аминокислотные препараты.

Цветки календулы оказывают тормозящее влияние на центры продолговатого мозга, в частности на сосудодвигательный центр, поэтому введение календулы в состав сбора для лечения гипертонии существенно повышает его эффективность.

Вторая группа пациентов – пациенты с гипокинетическим типом кровообращения с высоким средним давлением. Приоритет сосудистой регуляции (повышение сосудистого сопротивления при снижении сердечного выброса). Высокий ИПС, низкий ИК. Среднее давление Рср или повышено (табл. 15).

В таблице 15 представлены показатели пациента с дилатационной кардиомиопатией. Типичная компенсация кровотока за счет повышения сосудистого тонуса, вклад сердца в гемодинамику минимален.

Особенности обмена веществ, гемодинамики и др.:

1. Ожирение, гиподинамия, нерациональное питание с избытком быстрых углеводов в пище.

2. Ишемия головного мозга, требующая компенсаторного изменения регуляции углеводного обмена в сторону индивидуальной компенсаторной гипергликемии. При этом глюконеогенез, обеспечивающий гипергликемию, стимулируется за счет повышения уровня кортизола, сопровождается гиперинсулинемией, белковым катаболизмом, жировым анаболизмом с усугублением ожирения.

3. Анаэробный гликолиз, метаболический ацидоз, замедленное и неполное окисление энергетического субстрата.

4. Электролитный стресс (повышение ионов Na, Cl), недостаток ионов Mg и K.

5. Преобладание тонуса ПНС. Тахикардия или брадикардия.

6. Повышенная преднагрузка на сердце, гипертрофия миокарда.


Таблица 15. Клинический пример пациента с АГ на фоне гипокинетического типа кровообращения на фоне избытка электролитов в плазме крови (высокого среднего давления)

Иллюстрация к книге — Фитотерапия при заболеваниях сердца. Травы жизни [i_020.jpg]

Направления лечения:

• При ожирении – овощная диета, исключение продуктов, содержащих сахарозу и крахмал, назначение небольшого количества сала, сливочного масла с учетом возможной фито-коррекции желчнокаменной болезни, хронического холецистита и секреторной недостаточности поджелудочной железы.

• Нормализация мозгового, сердечного, почечного регионарного кровотока, растения-антигипоксанты (липа, донник, лабазник, валериана, боярышник, аир), лечение шейного и грудного остеохондроза. Мы применяем сосудисто-антисклеротический сбор Н.А. Огренича, содержащий траву гречихи, вереска, зверобоя, лабазника, клевера красного, донника, спорыша, дербенника.

• Улучшение выделительной функции почек, выведение избытка электролитов натрия и хлора при электролитном стрессе (хвощ, спорыщ, лабазник, зверобой, вереск, укроп, фенхель, кориандр), применение препаратов калия и магния при дефиците этих микроэлементов.

• Уменьшение повышенного артериального тонуса, лечение атеросклероза сосудов (клевер, софора, омела, спорыш, золотарник, лист березы) и устранение функционального, стрессового спазма сосудов (душица, ромашка, мята, мелисса).

• Унижение уровня кортизола (зюзник, шлемник).

• Увеличение ударного объема сердца, устранение нарушений сердечного ритма и застойных явлений в органах (кардиотоники), антиангиальные растения (ландыш, адонис, боярышник, василистник).

• Нормализация обмена веществ (растения – корректоры обмена веществ), детоксикация (лопух, кукурузные рыльца, ромашка, календула, полынь, череда, мускатный орех, имбирь, бадьян, куркума, корица, гвоздика). Мы применяем печеночно-восстановительный сбор Н.А. Огренича (репешок, крапива, бессмертник, зверобой).

• Коррекция гипотиреоза (ламинария, дурнишник, молодые листья и плоды грецкого ореха).

• Профилактика тромбозов, тромбофлебитов, тромбоэмболий, ишемических инсультов (препарат «Ангионорм», донник, препараты каштана, клевер, витаминные растения, флавоноидосодержащие растения), гирудотерапия.

• Нормализация функции печени, кишечного пищеварения и устранение атонических запоров (льнянка, ламинария, отруби, овощи, лактулоза).

• Q10, карнитин, лецитин, метилирующие агенты, препараты серы и др.

Для этих пациентов характерно ремоделирование сердца в виде изменения толщины стенки сердца, размеров камеры, размеров кардиомиоцитов, количества клеток и объема внеклеточного матрикса. Эти структурные изменения могут влиять на работу сердца, снижать сердечный выброс. Боярышник заметно уменьшал объемы камеры ЛЖ (VOL) на модели сужения аорты и увеличивал относительную толщину стенки, ослаблял вызванное сужением аорты уменьшение скорости сокращения окружности (Vcfc), предотвращал дисфункцию миокарда при ранней гипертрофии сердца, вызванной перегрузкой давлением (Hwang H.S., 2008). Подобным действием обладают сборы, описанные профессором Барнауловым О.Д., содержащие корицу, бадьян, мускатный орех, гвоздику, лабазник, кипрей, семена зонтичных, плоды боярышника, рябины, шиповника.

Реклама
Вход
Поиск по сайту
Ищем:
Календарь