Книга Искусство статистики. Как находить ответы в данных, страница 27 – Дэвид Шпигельхалтер

Авторы: А Б В Г Д Е Ж З И Й К Л М Н О П Р С Т У Ф Х Ч Ш Ы Э Ю Я
Книги: А Б В Г Д Е Ж З И Й К Л М Н О П Р С Т У Ф Х Ц Ч Ш Щ Ы Э Ю Я
Бесплатная онлайн библиотека LoveRead.ec

Онлайн книга «Искусство статистики. Как находить ответы в данных»

📃 Cтраница 27
Глава 5. Моделирование зависимости с помощью регрессии

Идеи, изложенные в предыдущих главах, позволяют визуализировать и находить характеристики данных, а также рассматривать зависимости между парами переменных. Эти базовые методы могут помочь нам проделать будущий довольно долгий путь, хотя в целом современные данные намного сложнее. Часто появляется список переменных, возможно, имеющих отношение к вопросу, одна из них нам особенно интересна при объяснении или прогнозировании, будь то риска развития рака для одного человека или будущего жителей целой страны. В этой главе мы познакомимся с идеей статистической модели – формальным представлением взаимоотношений между переменными, – которую сможем использовать для желаемого объяснения или прогноза. Это означает неизбежное появление определенных математических идей, однако базовые концепции должны быть понятны без применения алгебры.

Но прежде вернемся к Фрэнсису Гальтону. Он был одержим идеей сбора данных (что характерно для классического джентльмена-ученого Викторианской эпохи), и обращение к мудрости толпы для выяснения массы быка – это всего лишь один из примеров. Он использовал свои наблюдения для составления прогнозов погоды, оценки эффективности молитвы и даже для сравнения относительной красоты молодых женщин в различных частях страны [110]. Он также разделял интерес своего двоюродного брата Чарльза Дарвина к наследственности и намеревался изучить способы изменения личных характеристик людей от поколения к поколению. В частности, его заинтересовал такой вопрос:

Как предсказать будущий рост детей по росту их родителей?

В 1886 году Гальтон опубликовал данные о росте большой группы родителей и их взрослых детей. Характеристики выборки приведены в табл. 5.1 [111]. Рост людей в выборке Гальтона близок к росту современных взрослых (как сообщалось, средний рост взрослых женщин и мужчин в Соединенном Королевстве в 2010 году составлял примерно 63 и 69 дюймов [160 и 175 сантиметров соответственно]), что говорит о том, что эти люди хорошо питались и обладали высоким социально-экономическим статусом [112].


Таблица 5.1

Характеристики выборки роста (в дюймах) 197 родительских пар и их взрослых детей, по данным Гальтона 1886 года. Для справки: 64 дюйма = 163 см, 69 дюймов = 175 см. Даже без построения диаграммы близость выборочных средних и медианы позволяет предположить, что распределение симметрично

Иллюстрация к книге — Искусство статистики. Как находить ответы в данных [i_027.jpg]

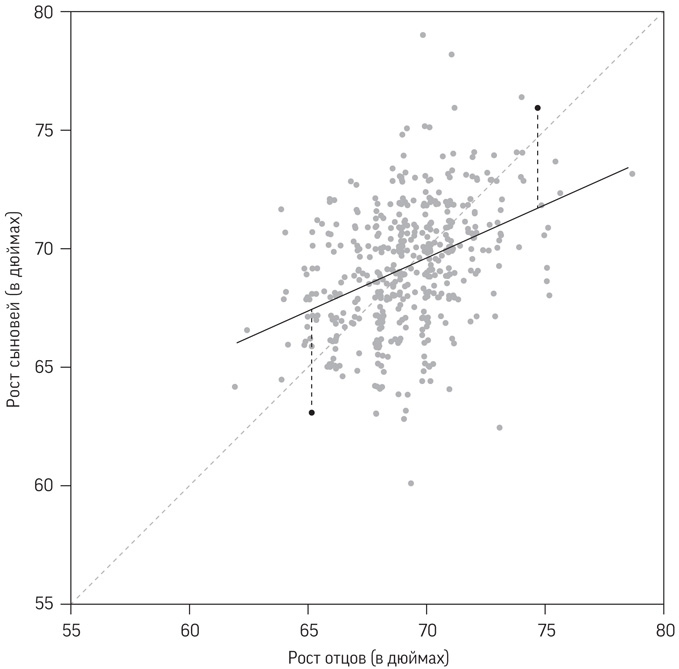
Рис. 5.1 – это точечная диаграмма, где отображен рост 465 сыновей в зависимости от роста их отцов. Между ростом отцов и сыновей четко прослеживается корреляция, при этом коэффициент корреляции Пирсона равен 0,39. Как нам поступить, если мы хотим предсказать рост сына по росту его отца? Начать можно с построения прямой линии для прогноза: она позволит указать рост сына по росту отца. Первая мысль – провести линию точно «по диагонали», то есть при таком прогнозе рост сына будет точно таким же, как и у отца. Однако, оказывается, есть способ лучше.

Иллюстрация к книге — Искусство статистики. Как находить ответы в данных [i_028.jpg]

Рис. 5.1

Точки отображают рост отцов и их сыновей, по данным Гальтона (многие отцы повторяются, потому что у них несколько сыновей). Для разделения точек добавлен случайный разброс, а диагональная пунктирная линия демонстрирует точное равенство между ростом отцов и сыновей. Сплошная линия – стандартная «прямая наилучшего соответствия» (регрессионная прямая). У каждой точки есть «остаток» (вертикальные пунктирные линии) – разность между наблюдаемым значением и значением, которое предсказывает регрессионная модель


Какую бы прямую мы ни выбрали, у любой точки данных будет остаток (вертикальные пунктирные линии на диаграмме), который представляет собой величину допускаемой ошибки при использовании для прогноза этой линии. Нам нужна линия, которая делает эти остатки маленькими, и стандартный способ ее провести – это выбор прямой по методу наименьших квадратов, то есть прямой, для которой сумма квадратов всех остатков будет наименьшей [113]. Уравнение для такой прямой получить несложно (см. глоссарий); этот метод разработан одновременно, но независимо друг от друга французскими математиками Адриеном-Мари Лежандром и Карлом Фридрихом Гауссом в конце XVIII века. Прямую часто называют прямой наилучшего соответствия, и с ее помощью определяется лучший прогноз, который мы можем сделать для роста сына, зная рост его отца.

Линия, построенная по методу наименьших квадратов на рис. 5.1, проходит через середину облака точек, отражая средние значения роста для отцов и сыновей, но не совпадая с диагональю, отображающей «равенство». Она ниже диагонали у отцов выше среднего и выше диагонали у отцов ниже среднего роста. Это означает, что у высоких отцов сыновья в среднем ниже их, а у низкорослых – в среднем выше их. Гальтон назвал это явление «регрессией [114] к посредственности», а позднее оно стало именоваться «регрессией к среднему значению», или «регрессом к среднему». Аналогичный феномен отмечается и для матерей и дочерей: дочери более высоких матерей в среднем ниже их, а низкорослых – в среднем выше. Это объясняет происхождение термина в названии главы: со временем любая стохастическая зависимость, определяемая по данным, стала называться регрессией.

Вход
Поиск по сайту
Ищем:
Календарь