Книга Человеческие сети. Как социальное положение влияет на наши возможности, взгляды и поведение, страница 53 – Мэтью О. Джексон

Авторы: А Б В Г Д Е Ж З И Й К Л М Н О П Р С Т У Ф Х Ч Ш Ы Э Ю Я
Книги: А Б В Г Д Е Ж З И Й К Л М Н О П Р С Т У Ф Х Ц Ч Ш Щ Ы Э Ю Я
Бесплатная онлайн библиотека LoveRead.ec

Онлайн книга «Человеческие сети. Как социальное положение влияет на наши возможности, взгляды и поведение»

📃 Cтраница 53

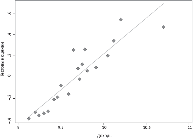
Однако неизбежные разрывы в образовательном уровне сказываются гораздо раньше, чем в пору учебы в колледжах: у детей они дают о себе знать довольно отчетливо уже годам к десяти. Это показано на рисунке 6.8.

Иллюстрация к книге — Человеческие сети. Как социальное положение влияет на наши возможности, взгляды и поведение [i_048.jpg]

Рис. 6.8. График зависимости среднеквадратичных тестовых оценок учеников от среднего дохода родителей, живущих в бедных и богатых районах. Тестовые оценки — это среднеквадратичная сумма оценок успеваемости по математике, английскому языку и искусствам для восьмиклассников (обычно детей 13–14 лет) в Нью-Йорке. Доход района выражен как логарифм от подушного дохода для данного района (на основе средних данных, исходя из почтовых индексов школ). Здесь собраны двадцать наблюдений, полученных для групп с одинаковым количеством учеников, но с разными доходами. Данные из: Fryer Jr. and Katz (2013).


Различия эти начинают возникать чуть ли не сразу после рождения. Например, ко времени поступления в школу дети из семей с высокими доходами успевают услышать приблизительно на тридцать миллионов слов больше, чем дети из семей, сидящих на пособии. Чтобы вывести это огромное число, исследователи Бетти Харт и Тодд Рисли {187}сделали одну невероятно простую вещь. Они подсчитали, сколько слов произносят родители, разговаривая с детьми. Родители на пособии произносили около 600 слов в час, общаясь со своими малышами, а родители-профессионалы — больше 2000 слов в час, то есть в три раза больше, чем родители на пособии. И это не проходит бесследно. От 86 до 98 % слов, которые употребляют дети, заимствовано из лексикона их родителей, и, кроме того, их манера речи тоже очень похожа на манеру речи взрослых, которые их воспитывали. Еще Харт и Рисли выяснили, что языковые навыки ребенка в возрасте трех лет в значительной степени коррелируют с навыками речи и чтения в возрасте девяти-десяти лет {188}.

Раннее взаимодействие дает эффект снежного кома. Огромную пользу приносят попытки взрослых развивать детей с самого раннего возраста, еще до школы. Важно учить их терпению и упорству — тогда потом им легче будет овладевать новыми навыками, которые откроют им множество дверей в дальнейшей жизни. Если раньше научить ребенка читать, он раньше научится самостоятельно добывать знания, и со временем этот процесс ускорится. Если дети умеют грамотно выражать свои мысли, это помогает им лучше разбираться в устройстве мира и узнавать больше нового. Чем больше они знают, тем лучше успевают в школе и тем интереснее им учиться, тем больше стимулов уделять учебе больше внимания и сил. Экономист Джеймс Хекман, нобелевский лауреат и специалист по раннему детскому образованию, высказывался об этом так: «Навыки порождают навыки, динамично дополняя друг друга. Нужно сосредоточивать усилия на первых годах жизни ребенка, чтобы в дальнейшем он развивался успешнее. Для обездоленных детей и их семей лучшим вложением средств и сил должно стать качественное раннее развитие — с рождения до пяти лет» {189}.

Некоторые различия в родительском подходе объясняются нехваткой времени, но за другими стоят различия в представлениях родителей о том, насколько полезно проводить время с детьми. Например, согласно недавно в Великобритании исследованию, родители, принадлежавшие к нижней по доходам четверти населения, отвечали совсем иначе, чем родители из верхней по доходам четверти, на вопрос, согласны ли они с утверждением: «Мой ребенок развивается в собственном темпе, и я мало могу на это повлиять» {190}. Почти 40 % бедных родителей согласились с этим утверждением или сказали, что не уверены в этом, тогда как среди богатых родителей с этим согласились или ответили, что не уверены, только 20 %. Итак, среди бедных родителей оказалось вдвое больше таких, кто не уверен, что способен как-то повлиять на развитие собственного ребенка. Можно было бы объяснить такие представления тем, что бедные родители пытаются найти какие-то рациональные оправдания тому, что они проводят мало времени с детьми. Но ответы на другие вопросы заставляют предположить, что дело отнюдь не только в этом. На вопрос, согласны ли они с утверждением: «Мой ребенок способен научиться писать компьютерные программы», ответили положительно около 80 % богатых родителей и только 50 % бедных родителей {191}.

Роль информации в образовании конечно же, выходит за рамки первых лет формирования личности.

Несмотря на все помехи, с какими сталкивается ребенок, растущий в семье с низкими доходами и в соответствующей среде, самые бедные люди в США все же умудряются производить на свет детей, которые к концу старших классов добиваются больших успехов: это ученики с высокими оценками (по крайней мере А —) и по крайней мере в 90-м процентиле на вступительных экзаменах в колледжи (по системе SAT или ACT). 17 % успевающих студентов происходят из семей в нижней по доходам четверти населения, что вдвое меньше доли студентов из верхней по доходам четверти (34 %) {192}.

Когда аккумулируются все влияния, связанные с детством, у семей с высокими доходами оказываются преимущества 2:1 над семьями с низкими доходами, позволяющие их детям хорошо учиться. Это огромный перевес, и все же в этой картине по-прежнему очень многого недостает. Вспомним статистику по образованию, которую мы приводили выше: в самых престижных университетах США соотношение студентов из богатых семей и студентов из бедных семей равняется 20:1 {193}. Так что по-прежнему остается разница в десять раз между количеством преуспевающих учеников из состоятельных и малообеспеченных слоев, поступающих в лучшие университеты.

Реклама
Вход
Поиск по сайту
Ищем:
Календарь