Онлайн книга «Биология для тех, кто хочет понять и простить самку богомола»
|
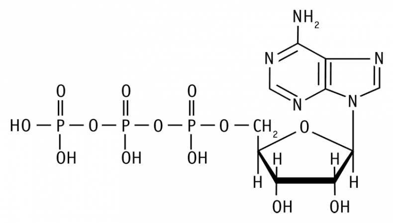
Молекула ДНК не просто огромная, она гигантская, число атомов в ней, как уже было сказано выше, может доходить до десяти миллиардов. Природа стремится к компактности, поэтому гигантская молекула ДНК состоит не из одной, а из двух нуклеотидных цепочек, которые закручены вокруг своей оси в спираль, образуя что-то вроде двойной пружины. Структуры, хранящие наследственную информацию, называются хромосомами. Такое название обусловлено способностью связывать красители, используемые при приготовлении микроскопических препаратов, «Хромосома» в переводе с греческого означает «окрашенное тело». Каждая хромосома представляет собой одну молекулу ДНК. Хромосомы, имеющие вид длинных тонких нитей, собираясь вместе, образуют ядро клетки. Полный набор хромосом, он же диплоидный набор – это набор хромосом, присущий соматическим (не половым) клеткам. В диплоидном наборе все характерные для данного биологического вида хромосомы представлены попарно. В ядрах гамет (половых клеток) хромосом содержится вдвое меньше, чем в соматических клетках – по одной из пары. Такой набор хромосом называется одинарным или гаплоидным. Соединяясь вместе, две половые клетки (мужская и женская), образуют одну клетку с полным набором хромосом. Из этой клетки развивается новый организм. Поскольку половина хромосом получена ребенком от отца, а половина от матери, ребенок наследует признаки обоих родителей. Запомните, пожалуйста, секретный шифр биологов. Гаплоидный набор обозначается буквой n, а диплоидный – 2n. Каждый вид в норме [7] имеет строго определенное и постоянное число хромосом, которые могут различаться по размерам и форме. Число хромосом и их морфологические особенности являются характерным признаком биологического вида. От цитоплазмы ядро отделяет ядерная оболочка, состоящая из двух фосфолипидных мембран, и в целом похожая на клеточную мембрану. Внутри ядра находится ядерный матрикс – каркасная система, служащая объединяющей основой для хромосом и, в то же время, обособляющая их друг от друга. Матрикс делает ядро похожим на шкаф, где каждый предмет лежит на своем месте, в своей ячейке. Выгодно ли клетке иметь ядро? Однозначно выгодно. Упаковка в ядерный матрикс, да еще и окруженный оболочкой, защищает молекулы ДНК от случайного повреждения. Ядерные клетки делятся более сложным образом, нежели безъядерные. В результате этого сложного деления, о котором мы поговорим немного позже, каждая дочерняя клетка получает строго полный набор хромосом, без излишков и недостач. Кроме того, наличие ядра делает возможным деление с образованием половых клеток, имеющих половинное число хромосом. Без ядра половое размножение невозможно, а это очень выгодное с точки зрения эволюции качество. Помимо хроматина в клеточном ядре содержатся ядрышки – небольшие образования, не имеющие собственной оболочки. В ядрышках синтезируются органеллы, которые называются рибосомами. Рибосомы – это сферические образования, не имеющие своей отдельной мембраны. По сути рибосомы являются скоплением молекул РНК, синтезирующих белки из аминокислот, в соответствии с информацией, записанной в РНК-матрице. Молекула ДНК – слишком громоздкая матрица, гораздо удобнее для синтеза белковых молекул маленькие матрицы РНК и это удобство оправдывает затраты на их изготовление на основании той информации, что записана в молекуле РНК. К тому же матрица-ДНК в клетке всего одна, а РНК-копий можно изготовить сколько угодно, в результате чего синтез белков будет более интенсивным. Рибосомы присутствует во всех без исключения клетках, они есть и у эукариот, и у прокариот. Количество рибосом в клетке может достигать десятков миллионов. Иначе и быть не может, ведь живой клетке постоянно нужны белки. ![]() Строение клеточного ядра: 1 – наружная ядерная мембрана; 2 – внутренняя ядерная мембрана; 3 – рибосомы; 4 – хроматин; 5 – ядрышко; 6 – кариоплазма; 7 – ядерная пора ![]() Рибосома А в чем еще постоянно нуждается живая клетка? Конечно же в энергии, которая вырабатывается в митохондриях – энергетических станциях клетки. В клетке содержится около 2 000 митохондрий, совокупный объем которых составляет до четверти от общего объема клетки! Митохондрии имеют сферическую или эллипсоидную форму. Мембран у них две – гладкая внешняя и складчатая внутренняя, которая образует множество поперечных перегородок, называемых «кристами». Митохондрии способны размножаться путем деления. ![]() Строение митохондрии В митохондриях подвергаются окислению органические вещества, поступившие в клетку извне. В ходе этого процесса образуются клеточные аккумуляторы – молекулы аденозинтрифосфорной кислоты (АТФ), способные накапливать энергию. Аденозинтрифосфорная кислота – универсальный аккумулятор. Она содержится во всех клетках растений и животных. Количество АТФ в среднем составляет 0,04 % от массы клетки. Наибольшее количество АТФ – до 0,5 % содержится в скелетных мышцах, которые активно работают и нуждаются в больших количествах энергии. Давайте рассмотрим «схему» нашего аккумулятора. АТФ состоит из остатков азотистого основания аденина, моносахарида рибозы и трех остатков фосфорных кислот. С химической точки зрения, если кому интересно, она представляет собой рибонуклеозидтрифосфат. Но, согласитесь, что АТФ звучит, выговаривается и запоминается проще. К слову будь сказано, что химики свои мудреные названия никогда не запоминают, потому что в химии все названия даются не с помощью фантазии (например, как названия видов в биологии), а по строгим законам. Химики читают название по формуле и могут написать формулу по названию. ![]() Структурная формула молекулы АТФ Энергия высвобождается при гидролизе [8] АТФ, когда от молекулы последовательно отщепляются остатки фосфорной кислоты (на формуле они видны слева). При отщеплении концевого остатка фосфорной кислоты АТФ переходит в аденозиндифосфорную кислоту (АДФ), при отщеплении второго остатка фосфорной кислоты – в аденозинмонофосфорную кислоту (АМФ). [9] |
![Иллюстрация к книге — Биология для тех, кто хочет понять и простить самку богомола [i_005.jpg] Иллюстрация к книге — Биология для тех, кто хочет понять и простить самку богомола [i_005.jpg]](img/book_covers/090/90220/i_005.jpg)
![Иллюстрация к книге — Биология для тех, кто хочет понять и простить самку богомола [i_006.jpg] Иллюстрация к книге — Биология для тех, кто хочет понять и простить самку богомола [i_006.jpg]](img/book_covers/090/90220/i_006.jpg)
![Иллюстрация к книге — Биология для тех, кто хочет понять и простить самку богомола [i_007.jpg] Иллюстрация к книге — Биология для тех, кто хочет понять и простить самку богомола [i_007.jpg]](img/book_covers/090/90220/i_007.jpg)
![Иллюстрация к книге — Биология для тех, кто хочет понять и простить самку богомола [i_008.jpg] Иллюстрация к книге — Биология для тех, кто хочет понять и простить самку богомола [i_008.jpg]](img/book_covers/090/90220/i_008.jpg)