Книга Биология для тех, кто хочет понять и простить самку богомола, страница 24 – Андрей Шляхов

Авторы: А Б В Г Д Е Ж З И Й К Л М Н О П Р С Т У Ф Х Ч Ш Ы Э Ю Я
Книги: А Б В Г Д Е Ж З И Й К Л М Н О П Р С Т У Ф Х Ц Ч Ш Щ Ы Э Ю Я
Бесплатная онлайн библиотека LoveRead.ec

Онлайн книга «Биология для тех, кто хочет понять и простить самку богомола»

📃 Cтраница 24

Жирные кислоты имеют одинаковую для всех кислот группировку – карбоксильную группу (–СООН) и радикал, которым они отличаются друг от друга. Этот радикал представляет собой цепочку из различного количества (от 14 до 22) углеводородных группировок – СН2–. Если радикал жирной кислоты содержит одну или несколько двойных связей (–СН=СН–), такую жирную кислоту называют ненасыщенной, а если жирная кислота не имеет двойных связей, ее называют насыщенной. Смысл названия ясен? Наличие двойной связи между атомами углерода позволяет каждому из атомов дополнительно присоединить по одному атому водорода. Жирная кислота с двойными связями еще не насытилась атомами водорода, потому-то ее и называют «ненасыщенной». А если все связи между атомами углерода одинарные, то присоединение атомов водорода невозможно (без разрыва углеродной цепочки), молекула жирной кислоты насытилась ими «под завязку».

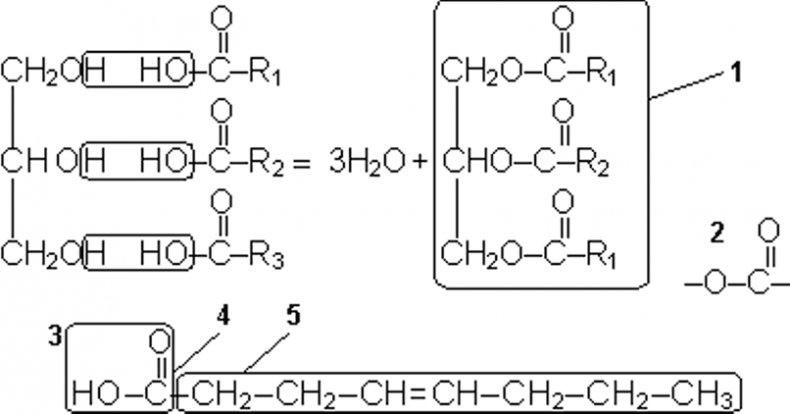
При образовании триглицерида каждая из трех гидроксильных групп глицерина вступает в реакцию конденсации с жирной кислотой с образованием трех сложноэфирных связей.

Если в триглицеридах преобладают насыщенные жирные кислоты, то их называют жирами. Жиры характерны для животных клеток. Если в триглицеридах преобладают ненасыщенные жирные кислоты, то их называют маслами. Масла характерны для растительных клеток. Одним из выраженных отличий между маслами и жирами является их разное агрегатное состояние при нормальных условиях (температуре в 20°С). Жиры твердые, а масла жидкие.

Иллюстрация к книге — Биология для тех, кто хочет понять и простить самку богомола [i_053.jpg]

Липиды. 1 – триглицерид; 2 – сложноэфирная связь; 3 – ненасыщенная жирная кислота; 4 – гидрофильная головка; 5 – гидрофобный хвост.


Обратите внимание на то, что сливочное масло на самом деле является молочным жиром. [33]

К простым липидам также относят воски – сложные эфиры высших жирных кислот и высокомолекулярных спиртов. Воски делятся на животные и растительные. Все воски устойчивы (иначе говоря – обладают малой химической активностью), нерастворимы в воде, но хорошо растворимы в органических растворителях – бензине, хлороформе, эфире. Примерами животных восков могут служить пчелиный воск, выделяемый специальными железами медоносных пчел, или же ланолин, предохраняющий шерсть животных от посторонней влаги, а кожу – от высыхания. Растительные воски, покрывающие тонким слоем листья, стебли и плоды, защищают их от размачивания водой, высыхания и вредных микроорганизмов. У некоторых растений воски могут входить в состав семян в качестве резервных липидов (например у симмондсии китайской, более известной под названием «жожоба»).


Мир сложных липидов многообразен и сложен. Углубляться в него мы не станем, вспомним только то, что было сказано выше о фосфолипидах, которые входят в состав клеточных мембран. Помимо них в образовании клеточных мембран принимают участие гликолипиды (соединения липидов с углеводами) и липопротеины (соединения липидов с белками).

Главная задача липидов – давать организму энергию и запасать ее. При расщеплении 1 грамма липидов выделяется 38,9 кДж энергии, что соответствует 9,4 килокалорий. Жиры и масла являются резервными пищевыми веществами у животных и растений. Особенно важны эти запасы для животных, впадающих в холодное время года в спячку (бурый медведь) или совершающих, подобно верблюдам, длительные переходы через местность, в которой нет источников пищи и воды. Да – и воды тоже. Жиры можно рассматривать и как водный запас, потому что в результате реакции окислительного распада (то есть распада, в котором принимает участие кислород) жиры распадаются на углекислый газ и воду. Вот пример уравнения такой реакции:

Иллюстрация к книге — Биология для тех, кто хочет понять и простить самку богомола [i_054.jpg]

При окислении 1 кг жира выделяется около 1,1 кг воды. Способность жиров превращаться в воду очень важна для обитателей пустынь. [34]

На втором по значению месте стоит структурная или мембранообразующая функция липидов. Впрочем, ее можно поставить и на первое место, ведь для того, чтобы иметь возможность использовать жиры в качестве источника энергии, сначала нужно создать клетку, так что мембраны главнее энергетических запасов.

Прослойки жировой ткани и жировые капсулы обеспечивают защиту внутренних органов, а слои воска используются в качестве защитного водоотталкивающего покрытия. Об руку с защитной функцией липидов идет теплоизоляционная – подкожная жировая клетчатка препятствует отдаче тепла в окружающее пространство. Это очень важно для всех водных млекопитающих, поскольку температура воды ниже температуры воздуха и, вдобавок, вода более активно «отбирает» тепло, а также для млекопитающих, обитающих в холодном климате.

К липидам относятся некоторые гормоны, например, половые гормоны тестостерон и эстроген, альдостерон, который регулирует водно-солевой обмен, кортизол, принимающий участие в регуляции углеводного и белкового обменов. Жирорастворимые витамины A, D, E, K являются кофакторами различных ферментов. [35]

Форма жизни у нас белковая, а вот хранение информации об организме и передачу ее по наследству обеспечивают нуклеиновые кислоты. Нуклеиновыми эти кислоты были названы по той причине, что их обнаружили в клеточном ядре («нуклеус» переводится с латыни как «ядро»). С кислотами в привычно-бытовом понимании нуклеиновые кислоты ничего общего не имеют. Они представляют собой не едкие жидкости, а биологические полимеры, в которых «кирпичики» – мономеры связаны между собой при помощи остатков молекул фосфорной кислоты (фосфатных групп). Отсюда и почетное звание кислоты.

Мономерами нуклеиновых кислот служат нуклеотиды – соединения, в состав которых входят моносахарид дезоксирибоза или рибоза и азотсодержащее (азотистое) основание. Разница между двумя моносахаридами небольшая – всего в один атом кислорода. «Дезокси-» переводится с латыни как «отсутствие атома кислорода», то есть дезоксирибоза – это рибоза без одного атома кислорода.

Реклама
Вход
Поиск по сайту
Ищем:
Календарь