Онлайн книга «Геймдизайн. Рецепты успеха лучших компьютерных игр от Super Mario и Doom до Assassin’s Creed и дальше»
|
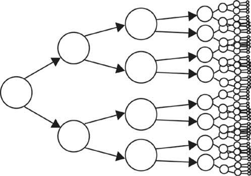
Структуры истории Существует множество возможностей формировать и объединять способы упорядочивания истории. Основной является структура «нитка жемчуга». В этой модели каждая жемчужина – это арена, по которой игрок может свободно передвигаться и взаимодействовать с игровой механикой, а каждая нить – это односторонний переход на следующую арену. ![]() Это классическая линейная игра, которая движется от одного уровня к другому. В зависимости от того, насколько «крупными» являются жемчужины, насколько большую внутреннюю свободу они дают, игрок может чувствовать либо полную бессмысленность, либо абсолютную свободу. Именно структура «нитка жемчуга» лежит в основе таких однопользовательских игр, как Quake, Super Mario Bros и StarCraft Mario. Еще одна модель представлена в виде «разветвленной структуры»: ![]() Каждый кружок – это самодостаточная часть контента, не связанная с другими. Игры Mega Man строятся на основе разветвленной структуры. Иногда геймдизайнеры пытаются имитировать реальный выбор, моделируя результаты каждого возможного решения. Но простоватая форма этой структуры имеет фатальный недостаток. ![]() Проблема разветвления событий заключается в том, что количество возможных историй развития резко увеличивается. Любой игрок, который проходит через историю, пропускает большую часть контента. Единственная ситуация, в которой эта модель оправданна, когда почти весь контент генерируется сразу. Если события предопределены в какой-либо значительной степени, мы должны предпринять меры, чтобы уменьшить количество ветвей. Мы можем сохранить некоторые возможности выбора ответвления сюжета, ограничив количество вариантов развития с помощью таких способов, как побочные миссии и конвергенция сюжета. Побочные миссии предлагают часть контента на разветвлении пути, по которому можно либо пойти, либо нет, но этот выбор мало влияет на основной путь. Конвергенция сюжета предлагает варианты, которые разветвляют основную сюжетную линию, но позже сходятся в одну. ![]() Для некоторых игр такой простой структуры достаточно. Тем не менее нам часто нужно тщательнее комбинировать способ упорядочивания историй, чтобы соответствовать потребностям игры. Mega Man 2. Игра начинается как разветвленная структура, так как игрок может победить восемь роботов в любом порядке. После того как все они побеждены, игра переключается на линейную последовательность, когда Мега Мэн нападает на замок доктора Вайли и приближается к завершению игры. ![]() Mass Effect 2. Начало и конец игры – это линейные «нитки жемчуга», а середина (80 %) – это огромное количество миссий, ненавязчиво упорядоченных по уровню навыков игрока и персонажа, при этом основная миссия находится в центре и включает в себя ответвления и конвергенции сюжета. Эта гибридная структура весьма популярна, поскольку в ней много преимуществ. Дизайнеры пишут тщательно продуманное введение, которое является введением к сюжету и игровой механике. Ненавязчивое упорядочение центральной миссии дает игроку чувство свободы и отсутствие ограничения. Наконец, дизайнеры могут тщательно разработать кульминацию игры для достижения максимального эффекта. ![]() Проблемы агентивности Представьте, будто вы драматург экспериментального театра. Вы прописываете сценарий для каждого героя, кроме одного. Главного героя играет случайный человек из зала, которого пригласили на сцену и дали роль без сценария или возможности выучить текст. Жестко, да? Теперь представьте, что этот человек из зала пьян. И он отвлекается, потому что переписывается с кем-то по телефону. Он решил поразвлечься, сознательно вмешиваясь в сюжет, – оскорбляет других актеров, ворует предметы со сцены и совсем не задействован в кульминации сюжета. Это кошмар драматурга. Дурак на сцене сломает все тщательно продуманные диалоги, будет противоречить другим героям и нарушит всю историю. Геймдизайнеры сталкиваются с этим каждый день, потому что игры дают игрокам агентивность. Агентивность – это способность принимать решения и предпринимать хорошо просчитанные шаги, влияющие на игровой мир. Тщательно продуманный традиционный сюжет – это карточный домик. Каждая деталь персонажа, каждое слово в диалоге, каждый оттенок знаний, которые герой передает или утаивает, играет роль в запутанном танце нарратива. События истории должны складываться как домино и приводить к удовлетворительному заключению, которые обращаются к бессмертным темам. Писатель тщательно подбирает каждое слово для достижения этого результата. Сюжет компьютерной игры преследует ту же цель. Но, как и неудачливый драматург, геймдизайнер также должен учитывать тот факт, что игроки могут делать выбор. И независимо от того, делают ли они его по незнанию или по злому умыслу, игроки могут легко опровергнуть или пропустить фрагменты сюжета, разрушив карточный домик автора. Эти проблемы агентивности делятся на несколько категорий. Давайте рассмотрим их по порядку. Совместимость мотивации игрока и персонажа Многие проблемы агентивности появляются потому, что мотивы игрока отличаются от мотивов персонажа, которым он управляет. Персонаж хочет спасти принцессу, заработать деньги или пережить восстание зомби. Его мотивы сосредоточены внутри сюжета фантастических замков, криминальных деловых отношений или вторжений живых мертвецов. Игрок хочет расслабиться, увидеть весь игровой контент и прокачать способности. Его мотивация сосредоточена в реальном мире социального статуса, развлекательных долларов и игровой механики. Когда эти две мотивации тянут в разные стороны, игрок предпримет действия, которые нарушают нарратив. Я называю это деск-джампингом. |
![Иллюстрация к книге — Геймдизайн. Рецепты успеха лучших компьютерных игр от Super Mario и Doom до Assassin’s Creed и дальше [i_011.jpg] Иллюстрация к книге — Геймдизайн. Рецепты успеха лучших компьютерных игр от Super Mario и Doom до Assassin’s Creed и дальше [i_011.jpg]](img/book_covers/088/88576/i_011.jpg)
![Иллюстрация к книге — Геймдизайн. Рецепты успеха лучших компьютерных игр от Super Mario и Doom до Assassin’s Creed и дальше [i_012.jpg] Иллюстрация к книге — Геймдизайн. Рецепты успеха лучших компьютерных игр от Super Mario и Doom до Assassin’s Creed и дальше [i_012.jpg]](img/book_covers/088/88576/i_012.jpg)
![Иллюстрация к книге — Геймдизайн. Рецепты успеха лучших компьютерных игр от Super Mario и Doom до Assassin’s Creed и дальше [i_013.jpg] Иллюстрация к книге — Геймдизайн. Рецепты успеха лучших компьютерных игр от Super Mario и Doom до Assassin’s Creed и дальше [i_013.jpg]](img/book_covers/088/88576/i_013.jpg)
![Иллюстрация к книге — Геймдизайн. Рецепты успеха лучших компьютерных игр от Super Mario и Doom до Assassin’s Creed и дальше [i_014.jpg] Иллюстрация к книге — Геймдизайн. Рецепты успеха лучших компьютерных игр от Super Mario и Doom до Assassin’s Creed и дальше [i_014.jpg]](img/book_covers/088/88576/i_014.jpg)
![Иллюстрация к книге — Геймдизайн. Рецепты успеха лучших компьютерных игр от Super Mario и Doom до Assassin’s Creed и дальше [i_015.jpg] Иллюстрация к книге — Геймдизайн. Рецепты успеха лучших компьютерных игр от Super Mario и Doom до Assassin’s Creed и дальше [i_015.jpg]](img/book_covers/088/88576/i_015.jpg)
![Иллюстрация к книге — Геймдизайн. Рецепты успеха лучших компьютерных игр от Super Mario и Doom до Assassin’s Creed и дальше [i_016.jpg] Иллюстрация к книге — Геймдизайн. Рецепты успеха лучших компьютерных игр от Super Mario и Doom до Assassin’s Creed и дальше [i_016.jpg]](img/book_covers/088/88576/i_016.jpg)