Книга Механизм Вселенной: как законы науки управляют миром и как мы об этом узнали, страница 46 – Скотт Бембенек

Авторы: А Б В Г Д Е Ж З И Й К Л М Н О П Р С Т У Ф Х Ч Ш Ы Э Ю Я
Книги: А Б В Г Д Е Ж З И Й К Л М Н О П Р С Т У Ф Х Ц Ч Ш Щ Ы Э Ю Я
Бесплатная онлайн библиотека LoveRead.ec

Онлайн книга «Механизм Вселенной: как законы науки управляют миром и как мы об этом узнали»

📃 Cтраница 46

Чтобы упростить рассуждение и сосредоточить наше внимание на индейке и картошке – вещах, находящихся внутри духовки, – давайте заменим духовку «ящиком», который способен поддерживать желаемую температуру всего, что находится внутри. Более того, давайте сделаем стенки такими, что они ни поглощают, ни излучают сами, а идеально отражают излучение индейки и картошки. Вследствие этого излучение и поглощение затрагивает лишь индейку и картошку. Понимание закона Кирхгофа требует от нас понимания двух вещей:

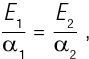
Часть энергии теплового излучения, испущенного индейкой, приходится на полное количество энергии теплового излучения, поглощенного картошкой, и наоборот .

• Вследствие теплового равновесия и индейка, и картошка будут излучать тепловую энергию в том же темпе, в котором они будут ее поглощать .

Эти положения, записанные математически, означают :

Иллюстрация к книге — Механизм Вселенной: как законы науки управляют миром и как мы об этом узнали [fb3_img_img_ed222650-df0b-5378-9944-312147b429ef.jpg]

где E – количество энергии, испущенной объектом в единицу времени (это темп излучения, или излучательная способность), α – доля энергии, поглощенной объектом, а подстрочные индексы обозначают объекты (например, 1 – индейка, 2 – картошка).

Представим идеальный объект, поглощающий все падающее на него тепловое излучение независимо от частоты. Это означает, что α = 1, то есть 100 % излучения, падающего на идеальный объект, поглощается. Такое тело по цвету абсолютно черное, так его и называют – абсолютно черное тело (АЧТ). Как мы уже знаем, объект, поглощающий на данной частоте, должен также излучать на ней (при подходящих условиях, например будучи нагретым). В случае нашего абсолютно черного тела мы утверждаем, что, когда оно нагрето (аналогично натрию, помещенному в пламя), оно будет излучать свой спектр – на всех частотах.

Таким образом, если один объект в нашей системе – абсолютно черное тело – скажем, им мы заменим картошку, тогда наше уравнение примет вид:

E1 / α1 = EАЧТ,

и поскольку не имеет значения, каковы точные характеристики других объектов (индейки, картошки и т. п.), мы можем убрать подстрочные индексы в левой части равенства и просто записать:

E / α = EАЧТ,

что по-простому означает: отношение мощности теплового излучения объекта (излучательной способности) к доле поглощаемой им мощности теплового излучения равно излучательной способности идеального объекта, называемого абсолютно черным телом, излучающим и поглощающим на всех частотах. Обычно это уравнение записывают для определенной частоты ν, а также из нашего обсуждения ясно, что также подразумевается и определенная температура T:

E / α = EАЧТ (ν, T).

Значение данного уравнения заключается в том, что знание спектра излучения абсолютно черного тела (правая часть) дает нам отношение (левая часть) для любого объекта. Другими словами, для любого объекта в состоянии теплового равновесия при температуре T отношение излучательной способности к доле поглощенного излучения на определенной частоте ν является универсальной функцией, равной соответствующей излучательной способности абсолютно черного тела на указанной частоте, находящегося в тепловом равновесии при той же температуре. Хотя асболютно черное тело – идеализированный объект, его фактически можно воспроизвести известными материалами, встречающимися в природе, такими как сажа или графит.

Кирхгоф поставил теоретикам и экспериментаторам задачу найти форму спектра излучения абсолютно черного тела, поскольку считал, что ее решение имеет основополагающее значение:

«Это очень важно найти [спектр излучения абсолютно черного тела]. На пути его экспериментального обнаружения стоят серьезные трудности; тем не менее есть надежда, что его можно найти экспериментально, потому что его форма, несомненно, проста, как и у других функций, с которыми мы познакомились прежде, не зависящих от свойств отдельных тел».

Кирхгоф был прав, ожидая экспериментальных трудностей. На то чтобы собрать достаточные экспериментальные свидетельства, которые позволили бы дать ответ на вопрос Кирхгофа, ушло почти сорок лет. В 1900 году 42-летний Макс Планк наконец решил эту проблему.

Проблема излучения абсолютно черного тела

Макс Планк (1858–1947) родился в Киле (в современной Германии), он был шестым ребенком выдающегося юриста и профессора права Кильского университета, Иоганна Юлиуса Вильгельма Планка, и его второй жены, Эммы Патциг. Культура семьи Планка сказалась на его жизни и работе, наградив стремлением к совершенству в научной деятельности, неподкупностью, преданностью идеалам, надежностью и щедростью.

В 1867 году, когда Планку было 9 лет, его отец получил приглашение в Мюнхенский университет. Семья переехала, и Планк поступил в гимназию имени Максимилиана, где заинтересовался математикой и физикой. Впрочем, Планк преуспевал и в других дисциплинах, особенно в музыке. Таким образом, к выпуску, когда Планку было шестнадцать лет, ему предстояло принять непростое решение в выборе будущего между музыкой и физикой. Он сделал выбор в пользу физики, но музыка продолжила играть важную роль в его жизни. Действительно, Планк был замечательным пианистом (с даром абсолютного слуха), каждый день наслаждающимся исполнением произведений Шуберта и Брамса.

В 1874 году Планк поступил в Мюнхенский университет, собираясь изучать физику. Профессор физики Филипп фон Жолли (1809–1884) отговаривал Планка от такого занятия: «В этой области почти все уже открыто, и остается лишь заполнить несколько пробелов».

Планк мудро оставил этот совет без внимания. Под руководством Жолли Планк проводил эксперименты, единственные в его карьере, в конечном итоге перейдя в теоретическую физику. В 1877 году Планк в течение года учился в Берлинском университете у наиболее выдающихся немецких физиков – Германа Гельмгольца (вспомним часть 1) и Густава Кирхгофа. К сожалению, ни один, ни другой не вызвали сильного вдохновения. Планк вспоминал Гельмгольца плохо подготовленным к лекциям, а Кирхгофа «сухим и монотонным». Между тем, самостоятельно изучая работы вышеупомянутых ученых и Клаузиуса (см. часть 2) по термодинамике, Планк наконец нашел, что искал.

Планк подходил к физике со страстью – с «духовной жаждой», как это описывал Эйнштейн – в поисках вещей, абсолютных и фундаментальных. Он говорил:

«…чрезвычайно важно, что внешний мир – нечто не зависящее от человека, что-то абсолютное, и поиск законов, применяемых к этому единственному, представляется мне самым грандиозным научным стремлением в жизни».

В самом деле, Планк рассматривал поиск абсолютного как «самую благородную и самую стоящую задачу науки».

Вход
Поиск по сайту
Ищем:
Календарь