Книга Вы хотите поговорить об этом? Психотерапевт. Ее клиенты. И правда, которую мы скрываем от других и самих себя, страница 37 – Лори Готтлиб

Авторы: А Б В Г Д Е Ж З И Й К Л М Н О П Р С Т У Ф Х Ч Ш Ы Э Ю Я
Книги: А Б В Г Д Е Ж З И Й К Л М Н О П Р С Т У Ф Х Ц Ч Ш Щ Ы Э Ю Я
Бесплатная онлайн библиотека LoveRead.ec

Онлайн книга «Вы хотите поговорить об этом? Психотерапевт. Ее клиенты. И правда, которую мы скрываем от других и самих себя»

📃 Cтраница 37

Разумеется, это очередная ложь.

Я не говорила Уэнделлу о книге-которая-никак-не-пишется, потому что всякий раз при мыслях о ней на меня накатывала паника, ужас, сожаление и стыд. Как только эта ситуация всплывала в моей голове (то есть всегда; как писал Фицджеральд, «в подлинных потемках души всегда три часа утра, изо дня в день»), мой желудок сжимался, и я ощущала себя парализованной. Затем я начала обдумывать каждое плохое решение, принятое на разных развилках судьбы, потому что была убеждена: я оказалась в такой ситуации из-за одного из самых плохих решений в своей жизни.

Вы, должно быть, думаете: «Серьезно? Тебе повезло получить контракт на книгу, а теперь ты ее не пишешь? Бедняжка! Попробуй проработать по двенадцать часов в день на фабрике!» Я понимаю, как это выглядит. Ну то есть… кем я себя возомнила? Элизабет Гилберт в начале «Ешь, молись, люби», когда она плачет на полу в ванной, обдумывая уход от любящего ее мужа? Гретхен Рубин в «Проекте Счастье», у которой есть любящий, красивый муж, здоровые дочери и столько денег, сколько большинству людей и не снилось, но которую все еще гложет чувство, что чего-то не хватает?

Кстати, вспомнила: я упустила важную деталь о книге-которая-никак-не-пишется. Тема? Счастье. Нет, я уловила иронию: книга о счастье сделала меня несчастной.

Мне вообще не стоило браться за книгу о счастье, и не только потому, что – если верить теории Уэнделла об оплакивании чего-то большего – я была подавлена. Когда я приняла решение написать ее, я только начинала частную практику и написала статью для Atlantic, заголовок которой вынесли на обложку: «Как подсадить ребенка на психотерапию: почему наша одержимость счастьем детей может обречь их на несчастную взрослую жизнь». За сто один год существования журнала ни один материал на тот момент не вызвал такой шквал ответных писем в редакцию. Я говорила о ней на национальном телевидении и на радио, мировые СМИ пытались назначить интервью, и я вдруг стала «экспертом по родительству».

Буквально в следующее мгновение издательства захотели книжную версию «Как подсадить ребенка на психотерапию». Под «захотели» я имею в виду, что за нее предлагали – не знаю, как еще выразиться, – ошеломляющую сумму. Это были такие деньги, о которых мать-одиночка вроде меня могла только мечтать, деньги, которые обеспечили бы нашей семье возможность вздохнуть свободно – на долгое время. За этой книгой последовали бы выступления (что мне нравилось) в школах по всей стране и стабильный поток пациентов (что было кстати, поскольку я только начинала). По статье даже подумывали снять сериал (который, возможно, и сделали бы, если бы прилагалась книга-бестселлер).

Но получив возможность написать книжную версию своей статьи – книгу, которая потенциально меняла ландшафт моего профессионального и финансового будущего, я сказала, проявив поразительную непредусмотрительность: «Спасибо большое, вы очень добры. но… я лучше откажусь».

Меня не хватил удар. Я просто сказала нет.

Я так поступила, потому что в этом было что-то неправильное. Мне казалось, что миру не нужна очередная книга о родителях-«вертолетчиках» [15]. Дюжины умных, вдумчиво написанных книг уже изучили этот вопрос со всех ракурсов. В конце концов, еще двести лет назад философ Иоганн Вольфганг фон Гете сформулировал емкий вывод: «Слишком многие родители усложняют жизнь своим детям, фанатично стараясь облегчить ее». Или не так давно – в 2003, если точнее, – в одной из первых современных книг о гиперопеке под названием «Worried All the Time» («Все время волнуясь») говорилось о том же: «Главные правила хорошего родителя – умеренность, эмпатия и адаптация темперамента к ребенку – просты и не требуют улучшения под влиянием новейших научных исследований».

Я сама мать, и родительская тревожность не обошла меня стороной. На самом деле я написала ту статью в надежде, что она окажется в той же степени полезной для родителей, что и сессия у психотерапевта. Но если я сделаю из этого книгу, запрыгну на подножку коммерческого поезда и присоединюсь к рядам интернет-гуру, я стану частью проблемы. Я верила, что родителям не нужна еще одна книга о том, что пора выдохнуть и сделать паузу. Им нужна сама пауза в потоке книг о родительстве. (Позже New Yorker выпустил юмореску о размножении родительских манифестов, гласившую, что «выход еще одной книги в такой момент – это просто жестоко».)

И уподобившись Писцу Бартлби из одноименного рассказа (с похожим трагичным результатом), я сказала: «Пожалуй, откажусь». Следующие несколько лет я провела, наблюдая, как все новые и новые книги о гиперопеке выходят на рынок, и самобичуясь. Ответственным ли поступком с моей стороны был отказ от такого рода денег? Я только закончила неоплачиваемую стажировку, мне нужно было выплачивать кредит за учебу, я была единственным добытчиком в семье – почему я не могла быстро написать книгу о родительстве, получить свои профессиональные и финансовые блага и жить припеваючи? В конце концов, разве многие могут позволить себе роскошь работать только над тем, что для них важно?

Сожаление, которое я чувствовала из-за ненаписанной книги, подкреплялось тем фактом, что я продолжала каждую неделю получать письма от читателей и отвечать на вопросы о статье «Как подсадить ребенка на психотерапию». Один за другим люди спрашивали, будет ли книга. Нет, хотелось ответить мне, потому что я сваляла дурака.

Я в самом деле чувствовала себя полной идиоткой, потому что, решив не продаваться и не наживаться на всеобщем родительском помешательстве, вместо этого я согласилась писать ввергающую-меня-в-ужас-и-депрессию книгу про счастье. Чтобы свести концы с концами, начиная свою практику, я должна была написать ее, и в то время мне казалось, что оказываю услугу читателям. Вместо того чтобы показать, как мы, родители, слишком усердно пытаемся сделать детей счастливыми, я собиралась сделать акцент на том, как мы слишком усердно пытаемся сделать счастливыми себя. Эта идея казалась мне ближе.

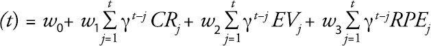
Но когда я садилась писать, я чувствовала себя столь же оторванной от темы, как и от проблемы родителя-«вертолетчика». Исследования не отражали – и не могли отразить – нюансы того, что я видела в кабинете психотерапии. Ученые даже придумали сложное математическое уравнение, чтобы предсказать счастье. Формула основана на тезисе, что человек счастлив не тогда, когда дела идут хорошо, а когда они идут лучше, чем ожидалось. Она выглядит как-то так:

Иллюстрация к книге — Вы хотите поговорить об этом? Психотерапевт. Ее клиенты. И правда, которую мы скрываем от других и самих себя [i_003.jpg]

Что сводится к более простой формуле: счастье = реальность – ожидания. По всей видимости, можно сделать человека счастливым, сообщив ему плохую новость, а потом сказав, что это неправда (что лично меня только разозлило бы).

Реклама
Вход
Поиск по сайту
Ищем:
Календарь