Книга Вселенная в вопросах и ответах, страница 63 – Владимир Сурдин

Авторы: А Б В Г Д Е Ж З И Й К Л М Н О П Р С Т У Ф Х Ч Ш Ы Э Ю Я
Книги: А Б В Г Д Е Ж З И Й К Л М Н О П Р С Т У Ф Х Ц Ч Ш Щ Ы Э Ю Я
Бесплатная онлайн библиотека LoveRead.ec

Онлайн книга «Вселенная в вопросах и ответах»

📃 Cтраница 63
7.10. Почти со скоростью света

Если звездолет летит со скоростью, близкой к скорости света, то эффект Доплера и эффект аберрации света будут хорошо заметны «на глаз». Первый приведет к тому, что звезды по курсу корабля поголубеют и станут ярче, а за кормой — покраснеют и ослабнут. Второй эффект сдвинет все звезды вперед по курсу. Поэтому в направлении полета на небе будет много ярких голубых звезд, а за кормой — несколько слабеньких красных.

7.11. Солнечный ветер — 1

Давление солнечного ветра равно удвоенному (из-за отражения) потоку импульса летящих протонов:

mpnv2 = 2 · 1,67 · 10–27 кг · 107 м–3 (4,5 · 105 м/с)2 = 6,8 · 10–9 Н/м2.

А давление света — удвоенному потоку импульса квантов:

Иллюстрация к книге — Вселенная в вопросах и ответах [i_173.jpg]

То есть давление света в тысячу раз сильнее, чем давление ветра на ту же площадь отражателя.

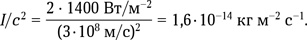
7.12. Солнечный ветер — 2

Будем считать солнечный ветер сферически симметричным с такими же параметрами, как у орбиты Земли (хотя это не совсем так). Тогда удельный поток массы солнечного ветра составит

mpnv = 1,67 · 10–27 кг · 107 м–3 · 4,5 · 105 м/с = 7,5 · 10–15 кг м–2 с–1.

Для солнечного ветра эквивалентный удельный поток массы составляет

Иллюстрация к книге — Вселенная в вопросах и ответах [i_174.jpg]

То есть в форме излучения Солнце теряет вдвое больше массы, чем в форме корпускулярного потока.

Сложив оба потока (2,4 · 10–14 кг м–2 с–1) и умножив на площадь сферы радиусом 1 а. е., 4π (150 млн км)2 = 2,8 · 1023 м2, получим полный темп потери массы Солнцем: 6,7 · 109 кг/с или 2 · 1017 кг/год. Учитывая полную массу Солнца (2 · 1030 кг), видим, что относительная потеря массы в нашу эпоху составляет 10–13/год.

7.13. Гиганты и карлики

Карлики горяче́е, поскольку для получения одинаковой степени ионизации и возбуждения элементов (которыми и определяется вид спектра) при более высокой плотности необходима более высокая температура. Высокая плотность в атмосфере карликов связана с их большей силой тяжести, дающей меньшую шкалу высот, при которой заметная оптическая толща набирается уже в более плотных областях. В протяженной атмосфере гигантов та же толща набирается еще в очень разреженных, верхних областях атмосферы.

7.14. Нуклеосинтез

По мере выгорания легких элементов в ядре звезды температура и плотность растут со временем, что позволяет формироваться все более сильно связанным ядрам тяжелых элементов. А в ранней Вселенной в результате быстрого расширения температура и плотность уменьшались. Когда температура снизилась настолько, что синтез легких элементов еще мог протекать и при этом ядра дейтерия и гелия уже не разрушались, для синтеза более тяжелых элементов температура и плотность стали уже малы. Произошла так называемая «закалка» — химический состав вещества стабилизировался.

7.15. Синтез гелия

В недрах звезд нет свободных нейтронов, поскольку время их жизни порядка 10 минут. Поэтому в синтезе гелия необходима реакция превращения протона в нейтрон, самая медленная в цепи термоядерных реакций. В ранней Вселенной в первые минуты расширения нейтронов было почти столько же, сколько и протонов, поэтому реакция их объединения в дейтерий и далее в гелий шла очень быстро. Через 5 минут температура и плотность снизились, и реакция прекратилась.

Иллюстрация к книге — Вселенная в вопросах и ответах [i_007.jpg]
8. Звездные системы
8.1. Скопление одинаковых звезд

Вспомним, что при увеличении потока света в 100 раз блеск небесного объекта, по определению, сокращается на 5 звездных величин. Математически это можно выразить так: группа из N одинаковых звезд на 2,5 lg N звездных величин ярче каждой из них. Действительно, десятичный логарифм 100 равен двум:

lg 100 = lg 102 = 2 lg 10 = 2 · 1 = 2,

поэтому 2,5 lg 100 = 5. Заметьте, что 2,5 — это не сокращенное основание шкалы звездных величин 2,512…, а именно и ровно 2,5.

Теперь наша задача решается легко: полный блеск скопления равен m − 2,5 lg N.

8.2. Скопление разных звезд

Сначала решим задачку попроще: есть две звезды с блеском m1 и m2. Каков их суммарный блеск? Сначала перейдем к потокам света, сложим их, а затем вернемся к звездным величинам. Тогда суммарный блеск (msum) составит

msum = −2,5 lg (2,512 — m1 + 2,512 — m2).

Теперь вспомним задачу «Скопление одинаковых звезд» и найдем суммарный блеск N1 одинаковых звезд с блеском m1 у каждой, обозначив его m (1), и суммарный блеск N2 одинаковых звезд с блеском m2 у каждой, обозначив его m (2):

m (1) = m1 — 2,5 lg N1

m (2) = m2 — 2,5 lg N2.

А теперь используем первую формулу, чтобы найти суммарный блеск скопления:

msum = −2,5 lg (2,512 — m (1) + 2,512 — m(2)).

Подобным методом можно суммировать блеск любого количества однотипных звезд. В высшей математике суммирование большого количества небольших чисел называют интегрированием. Поэтому астрономы вместо слов «полный» или «суммарный» обычно говорят «интегральный блеск звездного скопления».

8.3. Движется звезда

В году 3,156 · 107 секунд, а в столетии 3,156 · 109 секунд. За это время звезда пройдет V · 3,156 · 109 км, или V · 3,156V · 109/150 · 106 = 21V астрономических единиц. По определению парсека, одна астрономическая единица с расстояния в 1 парсек видна под углом в 1″. А 21V а. е. с расстояния R парсеков видны под углом 21″(V/R). Например, если звезда летит со скоростью 50 км/с на расстоянии 100 пк от нас, то за 100 лет она сместится относительно более далеких светил на 10,5″, что без труда можно заметить даже с помощью небольшого телескопа.

Вход
Поиск по сайту
Ищем:
Календарь