Книга Вселенная в вопросах и ответах, страница 53 – Владимир Сурдин

Авторы: А Б В Г Д Е Ж З И Й К Л М Н О П Р С Т У Ф Х Ч Ш Ы Э Ю Я
Книги: А Б В Г Д Е Ж З И Й К Л М Н О П Р С Т У Ф Х Ц Ч Ш Щ Ы Э Ю Я
Бесплатная онлайн библиотека LoveRead.ec

Онлайн книга «Вселенная в вопросах и ответах»

📃 Cтраница 53

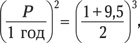
Подставив все известные нам современные значения переменных, в ответе получаем H = 705 км. Как же так? Ведь должно было получиться ровно 1000 км. Неужели в середине XX в. плохо были известны масса и радиус Марса? Нет, они уже были измерены достаточно точно. Так неужели великий инженер В. фон Браун ошибся и допустил ошибку почти в 300 км? Невероятно! Ведь он был очень грамотный инженер и строил прекрасные ракеты. Быть может, он что-то не учел? Проверим. Если высота орбиты 1000 км, то каков будет ее период? PH = 2 час 25 мин. С точностью до секунды он совпадает с указанным фон Брауном! Значит, великий инженер просто вычислил орбитальный период базового корабля, но не учел вращение планеты. На самом деле корабль на высоте 1000 км будет пролетать над экваториальной базой с периодом

Иллюстрация к книге — Вселенная в вопросах и ответах [i_130.jpg]

А вот вопрос, над которым Вернер фон Браун очевидно размышлял и пришел к правильному выводу: почему базовый корабль должен летать так высоко над Марсом. Будь он ближе к Марсу — чаще бы пролетал над экваториальной базой, и к нему легче было бы подняться на взлетной ступени. Например, МКС летает над Землей на высоте 400 км. Но фон Браун выбрал для своего корабля орбиту высотой 1000 км.

Даю подсказку: сила тяжести на Марсе в 2,6 раза слабее земной. Следовательно, атмосфера… Дальше подумайте сами.

4.22. Марсоход

Расстояние между Землей и Марсом изменяется от 0,5 а. е. в противостоянии до 2,5 а. е. в соединении. К тому же, после получения изображения, оператор должен отправить команду управления, поэтому время задержки реакции марсохода удваивается, доводя эффективное расстояние до 1÷5 а. е. Как известно, солнечный свет (а значит, и радиоволна) проходит расстояние в 1 а. е. за 500 секунд, значит, после появления препятствия на расстоянии 50 м от марсохода управляющая команда с Земли придет к нему через 500÷2500 секунд. Наихудший вариант — это 2500 секунд, следовательно, скорость аппарата при этой конфигурации Марса и Земли не должна превышать 50 м/2500 с = 2 см/с. В эпоху противостояния ее можно повысить до 10 см/с.

4.23. Полет к Сатурну

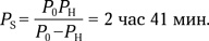
Используя 3-й закон Кеплера, гласящий, что квадраты периодов обращения планет пропорциональны кубам больших полуосей их орбит, найдем период астероида (P), сравнив его с орбитальным периодом Земли. Большая полуось орбиты астероида равна (1 + 9,5)/2 а. е. Поэтому

Иллюстрация к книге — Вселенная в вопросах и ответах [i_131.jpg]

откуда P = 12 лет.

Мы видим, что перелет с Земли к Сатурну по самой выгодной траектории (полуэллиптической траектории Гомана — Цандера) должен продолжаться 6 лет. Однако космический зонд «Кассини» (NASA), ставший спутником Сатурна, был запущен с Земли 15 октября 1997 года, а прибыл к Сатурну 30 июня 2004 года, т. е. провел в пути 6 лет и 8,5 месяца. Как ему удалось нарушить законы небесной механики и с какой целью это было сделано? Разберитесь!

4.24. Пепельный свет Титана

Мы видим пепельный свет Луны, потому что сами находимся на источнике освещения, т. е. на Земле (см. задачу «Пепельный свет» в разделе «Прогулка по Земле»). Именно поэтому солнечный свет, отраженный Землей, полностью освещает ту часть темной стороны Луны, которая в данный момент видна с Земли. Фото Титана сделано космическим зондом «Кассини» (NASA) не со стороны Сатурна, поэтому не видно пепельного света.

Мы можем оценить ожидаемую яркость пепельного света Титана (Т) по сравнению с пепельным светом Луны (Л), сравнивая потоки солнечного света (I) у Земли (⊕) и Сатурна (С), видимый со спутника диаметр планеты (D) и альбедо (A) планеты и спутника. Для этого мы используем расстояния планет от Солнца (R) и спутников от планет (r). Итак, отношение яркостей пепельного света (E) составит:

Иллюстрация к книге — Вселенная в вопросах и ответах [i_132.jpg]

В астрономических справочниках мы легко найдем значения этих величин и вычислим их отношения.

Иллюстрация к книге — Вселенная в вопросах и ответах [i_133.jpg]

А теперь можно вычислить отношение

Иллюстрация к книге — Вселенная в вопросах и ответах [i_134.jpg]

Как видим, ожидаемая яркость пепельного света Титана почти в 5 раз меньше лунного. Какие же факторы играют в этом основную роль? Удаленность Сатурна от Солнца почти полностью компенсируется его большим собственным размером. Альбедо Сатурна и Титана больше, чем Земли и Луны, что дает преимущество Титану. Но главную роль в слабости его пепельного света играет относительная удаленность Титана от Сатурна. Тем не менее на фоне космической темноты пепельный свет Титана должен быть виден. Надо лишь поймать удобный ракурс — сфотографировать Титан со стороны Сатурна в фазе, близкой к «новолунию».

4.25. Кольцо Сатурна

Ослабление света на 1m, т. е. примерно в 2,5 раза, говорит о том, что не менее половины проходящих сквозь кольцо фотонов поглощается или рассеивается в нем. А значит, и твердые частицы самого кольца, пересекая его по толщине (из-за небольшого различия в наклонах орбитальных плоскостей), имеют шанс не менее 50 % столкнуться с другими частицами. Двух пересечений достаточно, чтобы считать этот шанс близким к 100 %. За один орбитальный оборот частица как раз испытывает два пересечения, если не движется точно в центральной плоскости кольца. А если и движется в центральной плоскости, то все равно имеет не меньший шанс столкнуться с теми частицами, которые пересекают эту плоскость.

Орбитальный период (P) частиц в разных областях кольца разный в зависимости от расстояния (R) до центра планеты:

Иллюстрация к книге — Вселенная в вопросах и ответах [i_135.jpg]

где M — масса Сатурна. Для упрощения вычислений выразим M и R через массу и радиус Земли (⊕), чтобы использовать известный нам орбитальный период на низкой околоземной (гагаринской!) орбите:

Иллюстрация к книге — Вселенная в вопросах и ответах [i_136.jpg]

Масса Сатурна равна 95,16 M, а радиус наиболее плотной части ярчайшего кольца B — около 100 000 км. Следовательно, орбитальный период частиц в нем равен

Вход
Поиск по сайту
Ищем:
Календарь