Книга Вселенная в вопросах и ответах, страница 45 – Владимир Сурдин

Авторы: А Б В Г Д Е Ж З И Й К Л М Н О П Р С Т У Ф Х Ч Ш Ы Э Ю Я
Книги: А Б В Г Д Е Ж З И Й К Л М Н О П Р С Т У Ф Х Ц Ч Ш Щ Ы Э Ю Я
Бесплатная онлайн библиотека LoveRead.ec

Онлайн книга «Вселенная в вопросах и ответах»

📃 Cтраница 45

Кроме того, эта задержка во времени дает возможность точно определить параметры орбиты первой ракеты и точнее нацелить к ней вторую ракету. Разумеется, за 1,5 часа из-за вращения Земли космодром переместится от точки первого старта. Поскольку речь идет о космодроме на мысе Канаверал (Флорида, США), расположенном на 28,5° с. ш., то это смещение составит

Иллюстрация к книге — Вселенная в вопросах и ответах [i_082.jpg]

Но за несколько часов маневрирования на орбите корабль «Джемини» сокращал это расстояние до сотен метров и начинал операцию стыковки.

3.6. Суточный спутник

Очевидно, автор имеет в виду геостационарную орбиту. Это круговая экваториальная орбита с периодом в одни звездные сутки. Двигаясь по ней в восточном направлении на высоте около 35 800 км от поверхности Земли, ИСЗ постоянно висит над одной точкой планеты. В объяснении автора круговая орбита подразумевается, поскольку указана лишь одна высота. Однако, термин «высота» относится к расстоянию от земной поверхности, а оно составляет 5,6 радиуса Земли. Если же автор имел в виду расстояние от центра Земли, то это 6,6 земного радиуса. Видимо, полной определенности у автора не было. К тому же не указано направление движения (на восток) и наклон орбиты (нулевой, т. е. орбита лежит в плоскости экватора).

Под определение, данное автором, попадает значительно более широкий класс орбит, называемых геосинхронными, единственный признак которых — равенство орбитального периода звездным суткам. Двигаясь по таким орбитам в восточном направлении, спутники для наземного наблюдателя не остаются в одной точке неба, а в общем случае выписывают на небе «восьмерки», периодически смещаясь к югу и северу в соответствии с наклоном их орбиты.

3.7. Ориентация в пространстве

Три ортогональных оси координат необходимы для указания положения объекта в пространстве. Если же речь идет об определении направления (а именно это и требовалось для правильной ориентации космического корабля перед включением тормозных двигателей), то достаточно осуществить поворот по двум осям. Именно столько их у телескопа и артиллерийского орудия.

Однако в аэродинамике летательных аппаратов (самолетов), откуда терминология перекочевала в космонавтику, направление летящего самолета описывается тремя углами: крен, тангаж и рыскание. Крен изменяется при покачивании крыльями, тангаж — при покачивании с носа на корму, а рыскание — это повороты вправо-влево. Дело в том, что при полете в атмосфере важна ориентация плоскости крыльев, создающих подъемную силу, относительно направления силы тяжести, которую эта сила должна компенсировать.

У космического корабля нет крыльев, а если и есть (ракетоплан), то в вакууме они не создают подъемной силы. Поэтому крен для корабля на орбите, вообще говоря, безразличен. Но он важен для работы космонавта. Правильный выбор крена позволяет ему увидеть в иллюминатор или перископ поверхность Земли, видимое движение которой указывает направление полета корабля. Именно в этом направлении должна быть сориентирована продольная ось корабля, чтобы работа тормозных двигателей привела к сходу с орбиты и посадке на Землю. Так что в описании полета Джона Гленна неточности не было.

Автоматические межпланетные зонды для ориентации в пространстве осуществляют развороты по двум осям, используя в качестве опорных направления на Солнце и какую-нибудь яркую звезду, например Канопус или Сириус. При этом информацию о направлении своего движения сам зонд получить не может, и ее определяют на Земле путем небесно-механических расчетов.

3.8. От Солнца до Земли

Формально, двигаясь с постоянной начальной скоростью, снаряд преодолел бы это расстояние за 3,5 года. Однако, учитывая, что вторая космическая скорость на поверхности Солнца

Иллюстрация к книге — Вселенная в вопросах и ответах [i_083.jpg]
а скорость снаряда 1,5 км/с, ясно, что снаряд вообще не покинет Солнце.

3.9. Спрыгнуть с астероида

Чтобы улететь далеко-далеко, нужно развить вторую космическую скорость:

Иллюстрация к книге — Вселенная в вопросах и ответах [i_084.jpg]

где M и R — масса и радиус космического тела. Чтобы облегчить расчеты, преобразуем эту формулу. Для сферического тела

Иллюстрация к книге — Вселенная в вопросах и ответах [i_085.jpg]

где ρ — средняя плотность тела. Используя значение второй космической скорости для Земли (11,2 км/с), запишем

Иллюстрация к книге — Вселенная в вопросах и ответах [i_086.jpg]

где R= 6371 км и ρ = 5,52 г/см3 — радиус и средняя плотность Земли. Примем плотность типичного астероида равной 2 г/см3 и получим простую формулу для второй космической скорости:

V = 1 м/с × R (км).

То есть вторая космическая скорость, выраженная в метрах в секунду, равна радиусу астероида, выраженному в километрах. Если у тела иная средняя плотность, следует умножить значение V на

Иллюстрация к книге — Вселенная в вопросах и ответах [i_087.jpg]

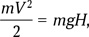
А теперь вопрос посложнее: какую вертикальную скорость может развить человек в прыжке? Подпрыгивая вверх на Земле, мы в основном тратим запас мышечной энергии на преодоление силы тяжести, а на астероиде — на сообщение телу кинетической энергии. Поэтому запишем уравнение так:

Иллюстрация к книге — Вселенная в вопросах и ответах [i_088.jpg]

где V — максимальная скорость нашего прыжка на астероиде, m — масса тела человека (она сокращается), g — ускорение свободного падения на Земле, H — максимальное вертикальное перемещение человека в прыжке на Земле. Присев и подпрыгнув, мы перемещаем свое тело примерно на 1 м. Следовательно,

Иллюстрация к книге — Вселенная в вопросах и ответах [i_089.jpg]
Трудно сказать, насколько скафандр затрудняет прыжки: ждем подсказки от тех, кто прыгал в скафандре. А пока примем оценку в 4 м/с как максимальную. Тогда максимальный размер астероида, с которого человек может спрыгнуть в космос и улететь далеко-далеко, составит

Иллюстрация к книге — Вселенная в вопросах и ответах [i_090.jpg]
Вход
Поиск по сайту
Ищем:
Календарь