Книга Против часовой стрелки, страница 11 – Полина Лосева

Авторы: А Б В Г Д Е Ж З И Й К Л М Н О П Р С Т У Ф Х Ч Ш Ы Э Ю Я
Книги: А Б В Г Д Е Ж З И Й К Л М Н О П Р С Т У Ф Х Ц Ч Ш Щ Ы Э Ю Я
Бесплатная онлайн библиотека LoveRead.ec

Онлайн книга «Против часовой стрелки»

📃 Cтраница 11

Тем не менее абсолютная продолжительность жизни – не самый надежный источник сведений о том, как стареют организмы. Во-первых, этот список долгожителей заведомо не полон: мы не знаем, сколько еще животных ускользнули от нашего внимания. И не во всех случаях мы можем достоверно определить возраст особи: одно дело – какой-нибудь слон в зоопарке, выросший на глазах у людей, или хотя бы скелет мамонта, а другое – червь без костей и раковины, выловленный в глубине океана. Возможно, именно поэтому кораллы так сильно вырвались вперед – их возраст удобно определять по минеральному скелету, а какой-нибудь червь-долгожитель, может, где-то и существует, но пока остается незамеченным.

Во-вторых, этот список никогда не укажет нам на реальный потолок продолжительности жизни: всегда сохраняется шанс, что какая-нибудь особь проживет дольше своих предков и обновит рекорд.

В-третьих, продолжительность жизни мало что говорит нам о ее качестве. Вдруг эти животные остаются здоровыми и активными только первые 15 лет, а затем быстро старятся и долгие века влачат жалкое существование, как Тифон из греческого мифа? Было бы гораздо полезнее посмотреть не на рекорды, а на то, как выглядит у этих животных кривая смертности – по ней можно сказать наверняка, стареет организм или нет.

Линии смерти

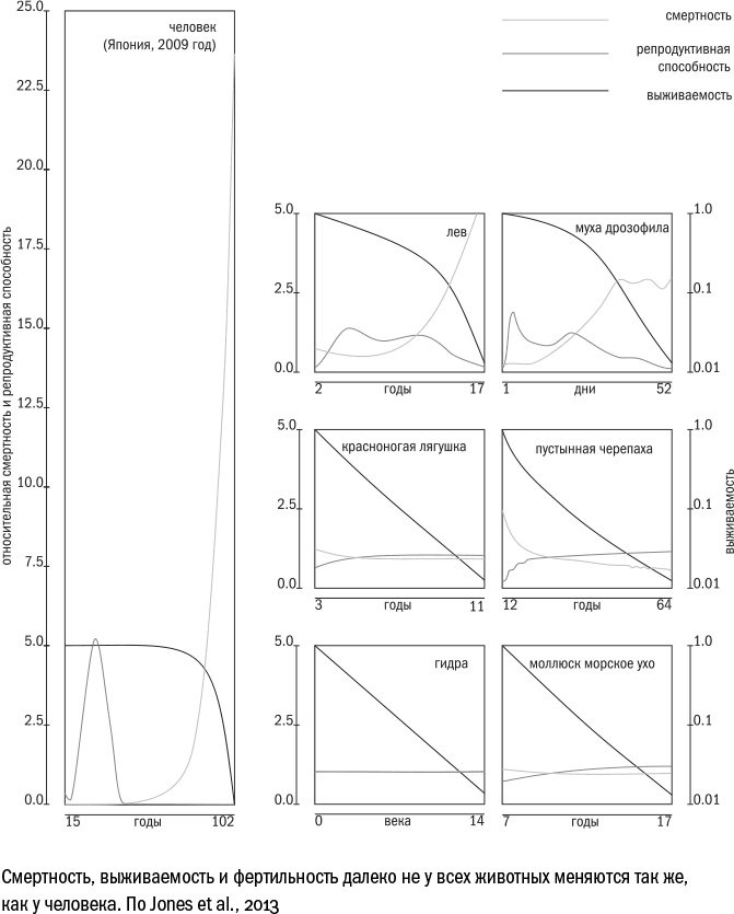
Как только мы переводим взгляд с абсолютных значений продолжительности жизни на динамику старения, картина существенно меняется. Давайте посмотрим на рисунок из статьи (Jones et al., 2013) [54], авторы которой собрали данные о рождаемости и смертности у разных живых организмов. Для каждого из животных они построили график с тремя кривыми. Все они начинаются с момента полового созревания (детство авторы не учитывали) и заканчиваются в том возрасте, когда в живых остается лишь 5 % взрослых особей. Первая кривая отражает относительную смертность (то есть аналогична кривой Гомперца для человека), вторая – относительную плодовитость: за единицу принята средняя плодовитость / смертность в популяции, остальные значения вычислены по отношению к ней. Наконец, третья кривая соответствует выживаемости – проценту животных в популяции, которые достигают того или иного возраста.

Иллюстрация к книге — Против часовой стрелки [i_015.jpg]

У большинства млекопитающих графики в целом похожи на человеческие. У кого-то дольше сохраняется плодовитость, как у льва, у кого-то медленнее растет смертность – например, у шимпанзе, – но общая форма кривых различается незначительно. Однако, как только мы обращаемся к другим позвоночным, а затем и к беспозвоночным, графики становятся гораздо разнообразнее.

Различия хорошо видны, если посмотреть на кривую выживаемости. Как и у всех стареющих организмов, у человека она сильно изогнута по сравнению с прямой: в начале жизни смертность растет довольно медленно (кривая пологая), а потом резко увеличивается, и кривая выживаемости падает вниз в соответствии с законом Гомперца.

Но если мы посмотрим на график, построенный для льва, то увидим, что там кривая выживаемости сглажена: разница в смертности между молодыми и старыми особями меньше. А вот у некоторых беспозвоночных – например, у гидры или моллюска морское ушко – линия и вовсе прямая. Переведем с математического языка на биологический: у этих животных шансы выжить или умереть не зависят от возраста. Следовательно, для них критерий Гомперца не работает и старения в статистическом смысле у них нет.

Пример с гидрой отлично иллюстрирует парадокс поиска долгожителей: в ее организме нет минерального скелета, по которому мы могли бы датировать возраст. А значит, и в список чемпионов по долголетию ей попасть не суждено. Тем не менее эксперименты с некоторыми видами гидр свидетельствуют если не о бессмертии, то о достаточно долгой жизни. Первый такой эксперимент c Hydra vulgaris поставил [55] испанец Мартинес в 1998 году: ученый держал животных в аквариуме в течение нескольких лет, меняя им воду и еду, и отсаживал молодых особей, чтобы те не конкурировали с более взрослыми. Но никаких признаков старения он не обнаружил: гидры все так же размножались и не спешили умирать. Возможно, дело в том, что срока наблюдения не хватило, чтобы заметить изменения. Но если говорить о возможном бессмертии, то любой срок окажется мал. Нам остается лишь судить по косвенным данным: например, исследователи из Германии построили [56] кривые выживаемости для Hydra magnipapillata, и по ним можно подсчитать [57], что такими темпами около 5 % популяции гидр может дожить до 1400 лет. Поэтому гидра вполне могла бы занять третье место на пьедестале долгожителей, будь у нас хоть какие-то материальные подтверждения этих оценок.

Правда, говорить о том, что животные вроде гидры или моллюска морское ушко не стареют вообще, никто пока не решается – это означало бы, что старение необязательно для живой системы. А делать такое утверждение довольно рискованно: после этого придется искать доказательства, что эти животные потенциально бессмертны, и убеждать в этом сторонников неизбежности старения (которых, кажется, все-таки большинство).

Чтобы не тратить время на подобные споры, ученые придумали компромиссный термин – пренебрежимое старение (negligible senescence). Он допускает то, что мы что-то упустили, где-то неправильно обработали данные или проглядели какие-то скрытые признаки старения. Иными словами, предполагается, что организмы вроде гидры все-таки стареют, но так медленно, что наши данные этого не отражают.

В 1990 году американский геронтолог Калеб Финч предложил [58] три критерия пренебрежимого старения, которыми геронтологи пользуются до сих пор:


1. Смертность не растет в зависимости от возраста.

2. Плодовитость не снижается после достижения зрелости.

3. Нет возрастных заболеваний, которые ухудшают здоровье и физиологические функции.


На сегодняшний день, если верить базе данных AnAge [59] – одному из главных источников, который агрегирует данные о старении животных, – пренебрегающими старением можно назвать шесть видов животных: хвостатую амфибию Proteus anguinus (максимальная продолжительность жизни 102 года), черепах Emydoidea blandingii (77 лет) и Terrapene carolina (138 лет), алеутского морского окуня Sebastes aleutianus (205 лет), морского ежа Strongylocentrotus franciscanus (200 лет) и моллюска Arctica islandica (507 лет).

Вход
Поиск по сайту
Ищем:
Календарь