Онлайн книга «Фейнмановские лекции по физике. Современная наука о природе»
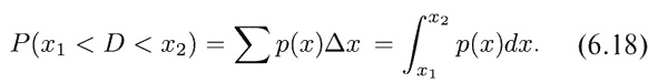
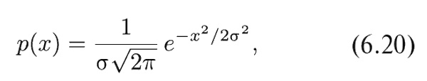
![]() Так что, как и прежде, ![]() Каково же в этом случае будет распределение расстояний! Какова, например, вероятность того, что после 30 шагов D окажется равным нулю? Вероятность этого равна нулю! Вообще вероятность любой заданной величины D равна нулю. Действительно, совершенно невероятно, чтобы сумма всех шагов назад (при произвольной длине каждого из них) в точности скомпенсировалась шагами вперед. В этом случае мы уже не можем построить график типа изображенного на фиг. 6.2. Если же, однако, не требовать, чтобы D было в точности равно, скажем, нулю, или единице, или двум, а вместо этого говорить о вероятности получения D где-то вблизи нуля, или единицы, или двух, то при этом мы можем нарисовать график, подобный приведенному на фиг. 6.2. Назовем Р (х, Δx) вероятностью того, что D будет находиться где-то внутри интервала Δx в окрестности величины х (скажем, где-то между х и х + Δx). Если Δx достаточно мало, то вероятность того, что D попадет в этот интервал, должна быть пропорциональна его ширине, т. е. Δx. Поэтому мы можем утверждать, что Р (х, Δх) = р (х) Δx. (6.17) Функция р (х) называется плотностью вероятности. Вид кривой р (х) зависит как от числа шагов N, так и от распределения шагов по длинам (т. е. от того, какую долю составляют шаги данной длины). К сожалению, я не могу здесь заниматься доказательством этого, а только скажу, что при достаточно большом числе шагов N плотность р (х) одинакова для всех разумных распределений шагов по длинам и зависит лишь от самого N. На фиг. 6.7 показаны три графика р (х) для различных N. ![]() Фиг. 6.7. Плотность вероятности оказаться при случайном блуждании через N шагов на расстоянии D. D измеряется в единицах средней квадратичной длины шага. Заметьте, что «полуширины» этих кривых, как это и должно быть по нашим предыдущим расчетам, приблизительно равны √N. Вы, вероятно, заметили также, что величина р(х) вблизи нуля обратно пропорциональна √N. Это происходит потому, что все кривые по форме очень похожи, только одни «размазаны» больше, а другие – меньше, и, кроме того, площади, ограниченные каждой кривой и осью х, должны быть равны. Действительно, ведь р(х)Δx; это вероятность того, что D находится где-то внутри интервала Δx (Δx мало). Как определить вероятность того, что D находится где-то между x1 и x2? Для этого разобьем интервал между x1 и x2 на узкие полоски шириной Δx (фиг. 6.8) и вычислим сумму членов р(х)Δx для каждой такой полоски. ![]() Фиг. 6.8. Вероятность [заштрихованная область под кривой р(х)] того, что при случайном блуждании пройденное расстояние D окажется между x1 и x2. Геометрически эта вероятность [запишем ее в виде P(x1 < D < x2)] равна площади заштрихованной области на фиг. 6.8. При этом чем ýже будут наши полоски, тем точнее результат. Поэтому можно записать ![]() Площадь же ограничения всей кривой просто равна вероятности того, что D принимает какое-то значение между −∞ и +∞. Ясно, что она должна быть равна единице, т. е. ![]() Ну а поскольку ширина кривых на фиг. 6.7 пропорциональна √N, то, чтобы сохранить ту же площадь, их высота должна быть пропорциональна 1/√N. Плотность вероятности, которую мы только что описали, встречается наиболее часто. Она известна также под названием нормальной, или гауссовой, плотности вероятности и записывается в виде ![]() причем величина σ называется стандартным отклонением. В нашем случае σ = √N или √N SCK, если средняя квадратичная длина шага отлична от единицы. Мы уже говорили о том, что движения молекул или каких-то других частиц в газе похожи на случайные блуждания. Представьте себе, что мы открыли в комнате пузырек с духами или каким-то другим органическим веществом. Тотчас же молекулы его начнут испаряться в воздух. Если в комнате есть какие-то воздушные течения, скажем циркуляция воздуха, то они будут переносить с собой пары этого вещества. Но даже в совершенно спокойном воздухе молекулы будут распространяться, пока не проникнут во все уголки комнаты. Это можно определить по запаху или цвету. Если нам известен средний размер «шага» и число шагов в секунду, то можно подсчитать вероятность обнаружения одной или нескольких молекул вещества на некотором расстоянии от пузырька через какой-то промежуток времени. С течением времени число шагов возрастает и газ «расползается» по комнате, подобно нашим кривым на фиг. 6.7. Длина шагов и их частота, как вы узнаете впоследствии, связаны с температурой и давлением воздуха в комнате. Вы знаете, что давление газа вызывается тем, что молекулы его бомбардируют стенки сосуда. Позднее, когда мы подойдем к количественному описанию этого явления, нам понадобится знать, с какой скоростью движутся молекулы, ударяясь о стенку, поскольку сила их ударов зависит от скорости. Однако говорить о какой-то определенной скорости молекул совершенно невозможно. В этом случае необходимо использовать вероятностное описание. Молекула может иметь любую скорость, но некоторые скорости предпочтительнее других. Все происходящее в газе можно описать, сказав, что вероятность того, что данная молекула движется с какой-то скоростью между υ и υ + Δυ, будет равна p(υ) Δυ, где p(υ) – плотность вероятности, которая зависит от скорости υ. Позднее я расскажу, как Максвелл, используя общие понятия и идеи теории вероятности, нашел математическое выражение для функции p(υ) [7]. Примерный вид функции p(υ)показан на фиг. 6.9. |
![Иллюстрация к книге — Фейнмановские лекции по физике. Современная наука о природе [i_065.jpg] Иллюстрация к книге — Фейнмановские лекции по физике. Современная наука о природе [i_065.jpg]](img/book_covers/087/87290/i_065.jpg)
![Иллюстрация к книге — Фейнмановские лекции по физике. Современная наука о природе [i_066.jpg] Иллюстрация к книге — Фейнмановские лекции по физике. Современная наука о природе [i_066.jpg]](img/book_covers/087/87290/i_066.jpg)
![Иллюстрация к книге — Фейнмановские лекции по физике. Современная наука о природе [i_067.jpg] Иллюстрация к книге — Фейнмановские лекции по физике. Современная наука о природе [i_067.jpg]](img/book_covers/087/87290/i_067.jpg)
![Иллюстрация к книге — Фейнмановские лекции по физике. Современная наука о природе [i_068.jpg] Иллюстрация к книге — Фейнмановские лекции по физике. Современная наука о природе [i_068.jpg]](img/book_covers/087/87290/i_068.jpg)
![Иллюстрация к книге — Фейнмановские лекции по физике. Современная наука о природе [i_069.jpg] Иллюстрация к книге — Фейнмановские лекции по физике. Современная наука о природе [i_069.jpg]](img/book_covers/087/87290/i_069.jpg)
![Иллюстрация к книге — Фейнмановские лекции по физике. Современная наука о природе [i_070.jpg] Иллюстрация к книге — Фейнмановские лекции по физике. Современная наука о природе [i_070.jpg]](img/book_covers/087/87290/i_070.jpg)
![Иллюстрация к книге — Фейнмановские лекции по физике. Современная наука о природе [i_071.jpg] Иллюстрация к книге — Фейнмановские лекции по физике. Современная наука о природе [i_071.jpg]](img/book_covers/087/87290/i_071.jpg)