Книга Фейнмановские лекции по физике. Современная наука о природе, страница 25 – Ричард Фейнман

Авторы: А Б В Г Д Е Ж З И Й К Л М Н О П Р С Т У Ф Х Ч Ш Ы Э Ю Я
Книги: А Б В Г Д Е Ж З И Й К Л М Н О П Р С Т У Ф Х Ц Ч Ш Щ Ы Э Ю Я
Бесплатная онлайн библиотека LoveRead.ec

Онлайн книга «Фейнмановские лекции по физике. Современная наука о природе»

📃 Cтраница 25

Соединяя осциллограф сначала с одним осциллятором, а затем с другим, мы получим на экране графики зависимости тока от времени в одном и в другом осцилляторе (фиг. 5.2).

Иллюстрация к книге — Фейнмановские лекции по физике. Современная наука о природе [i_029.jpg]

Фиг. 5.2. Две осциллограммы, снятые с экрана осциллографа. а – при осциллографе, подключенном к одному осциллятору; б – при осциллографе, подключенном к осциллятору, период колебаний которого в десять раз меньше первого.


А теперь нетрудно подсчитать, какое число периодов «быстрого» осциллятора укладывается в одном периоде «медленного».

Современная электроника позволяет создавать осцилляторы с периодами 10−12сек, которые выверяются (калибруются) методом сравнения, подобным вышеописанному, на стандартную единицу времени – секунду. В последние несколько лет в связи с изобретением и усовершенствованием «лазера», или усилителя света, появилась возможность сделать осцилляторы с еще более коротким периодом. Пока еще невозможно калибровать их тем же методом, однако, несомненно, что и это скоро будет достигнуто.

Можно измерять промежутки времени, гораздо более короткие, чем 1012сек, но для этого используются совершенно другие методы. В сущности, используется другое определение понятия «время». Один из таких методов – это измерение расстояния между двумя событиями, происходящими на движущемся объекте. Например, пусть в движущемся автомобиле сначала включают, а затем выключают фары. Если известно, где были включены и выключены фары и какова была скорость автомобиля, то можно вычислить, сколько времени они горели. Для этого нужно расстояние, на протяжении которого горели фары, разделить на скорость автомобиля.

Именно таким методом в последние годы измерялось время жизни π0-мезона. При наблюдении в микроскоп мельчайших следов, оставленных на фотоэмульсии, в которой родился π0-мезон, было обнаружено следующее: π0-мезон, двигаясь со скоростью, близкой к скорости света, прежде чем распасться, проходит в среднем расстояние около 10−7 м. Таким образом, время жизни π0-мезона составляет всего лишь 10−16 сек! Необходимо подчеркнуть, что здесь было использовано несколько другое определение понятия «время», но, поскольку оно не приводит к каким-либо противоречиям, можно быть уверенным в том, что эти определения в достаточной мере эквивалентны друг другу.

Развивая технику эксперимента, а если необходимо, меняя определение понятия «время», можно обнаружить еще более быстрые физические процессы. Мы, например, можем говорить о периоде вибраций ядра или о времени жизни недавно обнаруженных «странных» резонансов (частиц), которые уже упоминались в гл. 2. Время жизни этих частиц лишь ненамного больше – 10−24 сек! Приблизительно столько времени требуется свету (который имеет наибольшую скорость распространения), чтобы пройти расстояние, равное диаметру ядра водорода (наименьший из известных объектов).

Что можно сказать о еще более коротких интервалах времени? Имеет ли смысл вообще говорить о них, если невозможно не только измерить, но даже разумно судить о процессах, происходящих в течение столь коротких интервалов? Возможно, нет. Это один из тех вопросов, на которые нет ответа. Может быть, кому-нибудь из вас посчастливится ответить на него в ближайшие 20–30 лет.

§ 4. Большие времена

Рассмотрим теперь промежутки времени, бóльшие «суток». Измерять большие времена легко: нужно просто считать дни, пока не придумаем что-нибудь лучшего. Первое, с чем мы сталкиваемся, это год – вторая естественная периодичность, состоящая приблизительно из 365 дней. Интересно, что в природе существуют естественные счетчики лет в виде годовых колец у деревьев или отложений речного ила. В некоторых случаях можно использовать эти естественные счетчики для определения времени, отделяющего нас от какого-либо отдаленного события в прошлом.

Но, когда невозможно считать годы для очень больших отрезков времени, нужно искать какие-то другие способы измерения. Одним из наиболее эффективных методов является использование в качестве «часов» радиоактивного вещества. Здесь мы сталкиваемся с «регулярностью» иного рода, чем в случае, скажем, маятника. Радиоактивность любого вещества для последовательных равных интервалов времени изменяется в одно и то же число раз.

Таблица времен

Иллюстрация к книге — Фейнмановские лекции по физике. Современная наука о природе [i_030.jpg]

Если начертить график зависимости радиоактивности от времени, то мы получим кривую типа изображенной на фиг. 5.3.

Иллюстрация к книге — Фейнмановские лекции по физике. Современная наука о природе [i_031.jpg]

Фиг. 5.3. Уменьшение радиоактивности со временем. Радиоактивность падает в два раза за каждый период полураспада Т.


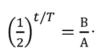
Мы видим, что если радиоактивность за Т дней (период полураспада) уменьшается вдвое, то за 2Т дней она уменьшится в четыре раза и т. д. Произвольный интервал времени t содержит t/T «периодов полураспада», и, следовательно, количество начального вещества уменьшится в 2 t/T раза.

Если мы знаем, что какой-то материал, например дерево, при своем образовании содержал некоторое количество А радиоактивного вещества, а прямые измерения показывают, что теперь он содержит количество В, то возраст этого материала можно просто вычислить, решив уравнение:

Иллюстрация к книге — Фейнмановские лекции по физике. Современная наука о природе [i_032.jpg]

А такие случаи, когда мы знаем первоначальное количество радиоактивного вещества, к счастью, существуют. Известно, например, что углекислый газ в воздухе содержит малую долю радиоактивного изотопа С14, период полураспада которого составляет 5000 лет. Количество его благодаря действию космических лучей постоянно пополняется взамен распавшегося. Если мы измеряем полное содержание углерода в каком-то предмете и знаем, что определенная доля этого углерода была первоначально радиоактивным С14, то нам известно и первоначальное количество А и мы можем пользоваться приведенной выше формулой. Если же путем точных измерений установлено, что оставшееся количество C14 соответствует 20 периодам полураспада, то можно сказать, что этот органический предмет жил приблизительно 100 000 лет назад.

Хотелось бы, однако, узнать возраст еще более древних вещей. Это можно сделать, измерив содержание других радиоактивных элементов с большими периодами полураспада. Уран, например, имеет изотоп с периодом полураспада около 109 лет, так что если какой-то материал при своем образовании 109 лет назад содержал уран, то сегодня от него осталась только половина первоначального количества. При своем распаде уран превращается в свинец. Как определить возраст горной породы, которая образовалась много-много лет назад в результате какого-то химического процесса? Свинец по своим химическим свойствам отличается от урана, поэтому они первоначально входили в разные виды горных пород. Если взять такой вид породы, который вначале должен был содержать только уран, то мы обнаружим в нем некоторое количество свинца. Сравнивая доли свинца и урана, можно определить ту часть урана, которая в результате распада превратилась в свинец. Этим методом было установлено, что возраст некоторых горных пород составляет несколько миллиардов лет. Применяя шире этот метод путем сравнения содержания урана и свинца не только в некоторых горных породах, но и в воде океанов, а затем усредняя различные данные по всему земному шару, установили, что нашей планете исполнилось примерно 5,5 миллиарда лет.

Вход
Поиск по сайту
Ищем:
Календарь