Книга Первые три минуты, страница 41 – Стивен Вайнберг

Авторы: А Б В Г Д Е Ж З И Й К Л М Н О П Р С Т У Ф Х Ч Ш Ы Э Ю Я
Книги: А Б В Г Д Е Ж З И Й К Л М Н О П Р С Т У Ф Х Ц Ч Ш Щ Ы Э Ю Я
Бесплатная онлайн библиотека LoveRead.ec

Онлайн книга «Первые три минуты»

📃 Cтраница 41
Иллюстрация к книге — Первые три минуты [i_051.jpg]

Мы показали, что промежуток времени, за которой плотность падает от экстремальных значений, имевших место в ранней Вселенной, до ρ пропорционален, а сама плотность ρ пропорциональна 1/Rn. Время, следовательно, пропорционально Rn/2, или, что то же самое:

Иллюстрация к книге — Первые три минуты [i_052.jpg]

Эта формула остается в силе до тех пор, пока кинетическая и потенциальная энергии не упадут настолько, что достигнут одного порядка с их суммой – полной энергией.

Как было отмечено в главе 2, в любой момент времени t на расстоянии ct существует горизонт, отсекающий сигналы, которые еще не успели до нас дойти. Теперь мы увидели, что R(t) при t → 0 уменьшается медленнее, чем расстояние до горизонта. То есть в прошлом был момент, когда все «типичные» частицы находились за горизонтом.

Заметка 4. Излучение абсолютно черного тела

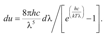
Согласно планковскому распределению энергия du чернотельного излучения в единице объема и в узком интервале длин волн от λ до λ + dλ равна:

Иллюстрация к книге — Первые три минуты [i_053.jpg]

Здесь T – температура, k – постоянная Больцмана (1,38 × 10¯16 эрг/K), c – скорость света (299 729 км/с), e – число, равное 2,718…, и h – постоянная Планка (6,625 × 10¯27 эрг с), которую в эту формулу ввел Макс Планк.

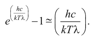
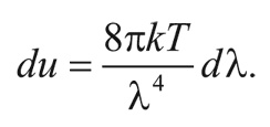
В случае длинных волн для знаменателя в формуле Планка верно приближенное равенство:

Иллюстрация к книге — Первые три минуты [i_054.jpg]

Таким образом, в данном диапазоне длин волн планковское распределение сводится к виду:

Иллюстрация к книге — Первые три минуты [i_055.jpg]

Эта формула выражает закон Рэлея – Джинса. Если бы он соблюдался для сколь угодно коротких волн, производная du/dλ стремилась бы к бесконечности при λ→0 и полная плотность энергии чернотельного излучения была бы бесконечной.

К счастью, планковское распределение достигает максимума при длине волны:

λ = 2014052 hc/kT,

а затем на коротких волнах следует крутой спад. Полная плотность энергии излучения абсолютно черного тела выражается через интеграл:

Иллюстрация к книге — Первые три минуты [i_056.jpg]

Интегралы такого вида легко найти в стандартных таблицах определенных интегралов. После интегрирования получаем:

Иллюстрация к книге — Первые три минуты [i_057.jpg]

Эта формула выражает закон Стефана – Больцмана.

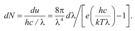
Распределение Планка легко переписать в терминах квантов света – фотонов. Энергия фотона вычисляется по формуле

E = hc / λ.

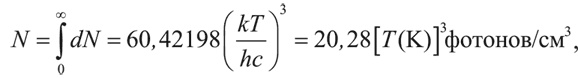
Следовательно, число фотонов чернотельного излучения dN в единице объема и в узком интервале длин волн от λ до λ + dλ равно:

Иллюстрация к книге — Первые три минуты [i_058.jpg]

Тогда полное число фотонов в единице объема:

Иллюстрация к книге — Первые три минуты [i_059.jpg]

а средняя энергия фотона:

Еср. = и / N = 3,73 ×10¯16 [T (K)] эрг.

Теперь рассмотрим, что происходит с чернотельным излучением в расширяющейся Вселенной. Допустим, размер последней увеличился в f раз. Например, если Вселенная расширилась в два раза, то f = 2. Как мы знаем из главы 2, все длины волн пропорционально возрастут до значения:

λ' = f λ.

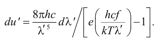
В конечном состоянии плотность энергии du' в новом интервале длин волн от λ' до λ' + dλ' меньше по сравнению с первоначальной плотностью энергии du в старом диапазоне длин волн от λ до λ + по двум причинам:

1. Поскольку объем Вселенной вырос в f 3 раз, а фотоны никуда не исчезают и ниоткуда не появляются, то их число в единице объема упало в 1/f 3 раз.

2. Энергия одного фотона обратно пропорциональна длине волны, и, значит, она уменьшилась в 1/f раз. Следовательно, полная плотность энергии уменьшилась в 1/f 4 раз (1/f 3 умножить на 1/f):

Иллюстрация к книге — Первые три минуты [i_060.jpg]

Переписывая эту формулу через новую длину волны λ', получим:

Иллюстрация к книге — Первые три минуты [i_061.jpg]

Но это опять та же самая формула для du в зависимости от λ и dλ, только вместо температуры Τ стоит новая температура:

Τ' = Τ / f.

Таким образом, приходим к заключению: свободно расширяющееся чернотельное излучение в любой момент времени описывается формулой Планка с температурой, обратно пропорциональной коэффициенту расширения.

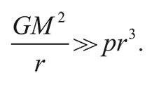
Заметка 5. Масса Джинса

Чтобы из сгустка вещества образовалась гравитационно связанная система, его гравитационная потенциальная энергия должна превосходить энергию теплового движения. Гравитационная потенциальная энергия сгустка радиуса r и массы M по порядку величины равна:

Иллюстрация к книге — Первые три минуты [i_062.jpg]

Внутренняя энергия в единице объема пропорциональна давлению р, поэтому полную внутреннюю энергию можно оценить как:

Иллюстрация к книге — Первые три минуты [i_063.jpg]

Гравитационные силы будут преобладать над силами давления, если

Иллюстрация к книге — Первые три минуты [i_064.jpg]
Вход
Поиск по сайту
Ищем:
Календарь