Онлайн книга «Малая энциклопедия трейдера»
|
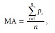
Существуют три основных метода усреднения: простые скользящие средние; взвешенные скользящие средние; экспоненциальные скользящие средние. Простая скользящая средняя (Moving Average — MA) рассчитывается по формуле простой арифметической средней: ![]() где
n — период времени, он же порядок средней. Это самая простая формула средней, с которой вы наверняка не только знакомы, но и которую применяете в повседневной жизни. Здесь все значения цен равны и оказывают одинаковое влияние на полученное среднее значение. Взвешенная скользящая средняя (Weighted Moving Average — WMA). В этом случае каждой из цен анализируемого промежутка времени придается вес в соответствии с объемами сделок, совершенных в данный промежуток времени. Формула для расчета будет выглядеть так: ![]() где
![]() Придание большего веса котировкам, по которым совершались бÓльшие объемы сделок, говорит о рынке больше, чем простая средняя. Но, к сожалению, у нас далеко не всегда есть возможность применить этот вид средней на практике. Экспоненциальная средняя (Exponentially Moving Average — EMA). И в этом случае производится присвоение весов различным ценам: наибольший вес присваивается последним значениям цены, а наименьший — первым. Формула расчета экспоненциальной средней будет выглядеть так:
где n — период времени; индекс n означает сегодняшний день, а n – 1 — вчерашний; ![]() Price n — текущая цена. Считается, что придание более поздним значениям цен большего веса дает лучшую, чем у простой средней, информативность для выводов. Простая MA реагирует на одно изменение курса два раза. Говорят, что простая средняя «лает», как собака, — первый раз при получении нового значения и второй раз при выбытии этого значения из расчета средней. По сравнению с простой средней EMA реагирует на изменение одного значения курса один раз — при его получении. Поэтому EMA считается более предпочтительной для применения. И действительно, обычно для нас важнее то, что происходит сегодня, а не то, что было вчера. Выбор конкретной средней производится в зависимости от ваших возможностей для построения различных средних. Но EMA на сильных ценовых движениях дает больше возможностей для открытия позиции вовремя, без опоздания, так как она сильнее реагирует именно на последние котировки. Можно по этому поводу заметить, что для длительных промежутков времени (день и неделя) для анализа рекомендуется применять простую среднюю МА. При анализе коротких промежутков времени (менее часа) полезно применение взвешенных средних ЕМА или WMA. На средних промежутках времени (час и три часа) рекомендуется применение как MA, так и EMA и WMA. Что касается конкретных предложений по построению средних, то могу порекомендовать вам для начала использовать следующие порядки средних при анализе: 1-месячного графика цен — 21-, 55- и 89-й порядки средних; 1-недельного графика цен — 21-, 55-, 89- и 144-й порядки средних; 1-дневного графика цен — 21-, 55-, 89-, 144- и 233-й порядки средних; 1-часового графика цен — 21-, 55-, 89-, 144- и 233-й порядки средних. Естественно, что постоянных средних, которых можно было бы применять независимо от рынка и периода времени, нет. Главное помнить, что средняя всегда является уровнем — сопротивления и/или поддержки. А отсюда и возникают правила подбора ее разрядности, т.е. периода, за который следует усреднять цену, а также определения, какой тип усреднения применять. 2.5.2. Правила анализа средних К общим правилам анализа средних можно отнести следующие: направление — следите за общим направлением движения средней и торгуйте в этом направлении. Это самый важный сигнал, так как он показывает направление тренда; пересечение — находите моменты пересечения средней и графика цены, которые являются аналогом прохода уровня сопротивления или поддержки. И торгуйте на проход этих уровней; экстремум — наблюдайте за максимумами или минимумами средних. Они могут быть разворотными моментами тенденций; расхождение — находите наибольшее расхождение средней и цены. Это очень похоже на осцилляторы, речь о которых пойдет дальше. Эти правила можно выгодно применять только на точно подобранных порядках средних. Правильность выбора порядка средней проверяется на просмотре исторических данных — насколько статистически обоснованна была данная средняя на предыдущем периоде времени, не очень далеко отстающем от текущего момента. А еще лучше предсказательную способность средней проверить на практике — так быстро выявится ошибочность или верность стратегического использования сигналов, подаваемых взаимодействием средних и цен. Метод анализа средних, по-моему, не менее значим, нежели анализ трендовых линий и моделей. Средние удачно дополняют классический трендовый анализ в части определения направления тренда, его силы и амплитуды, а также ЖЦТ. Анализ средних имеет еще одно преимущество перед анализом трендовых моделей. И заключается оно в том, что построение средних в меньшей степени зависит от «экспертного» мнения человека, по сути субъективного. А субъективность процесса установления разрядности средних можно минимизировать через компьютерную оптимизацию и подбор наилучшего параметра при помощи простого правила. При построении средней необходимо минимизировать количество баров, которые находятся одновременно выше средней, построенной по максимальным ценам, и ниже средней, построенной по минимальным ценам. |
![Иллюстрация к книге — Малая энциклопедия трейдера [img_150.jpg] Иллюстрация к книге — Малая энциклопедия трейдера [img_150.jpg]](img/book_covers/086/86554/img_150.jpg)
![Иллюстрация к книге — Малая энциклопедия трейдера [img_151.jpg] Иллюстрация к книге — Малая энциклопедия трейдера [img_151.jpg]](img/book_covers/086/86554/img_151.jpg)
![Иллюстрация к книге — Малая энциклопедия трейдера [img_152.jpg] Иллюстрация к книге — Малая энциклопедия трейдера [img_152.jpg]](img/book_covers/086/86554/img_152.jpg)
![Иллюстрация к книге — Малая энциклопедия трейдера [img_153.jpg] Иллюстрация к книге — Малая энциклопедия трейдера [img_153.jpg]](img/book_covers/086/86554/img_153.jpg)
![Иллюстрация к книге — Малая энциклопедия трейдера [img_154.jpg] Иллюстрация к книге — Малая энциклопедия трейдера [img_154.jpg]](img/book_covers/086/86554/img_154.jpg)
![Иллюстрация к книге — Малая энциклопедия трейдера [img_155.jpg] Иллюстрация к книге — Малая энциклопедия трейдера [img_155.jpg]](img/book_covers/086/86554/img_155.jpg)
![Иллюстрация к книге — Малая энциклопедия трейдера [img_156.jpg] Иллюстрация к книге — Малая энциклопедия трейдера [img_156.jpg]](img/book_covers/086/86554/img_156.jpg)